Cn Kx Enx
FDIC_ConsumeNews_Fall_17ZiÆcZiÆdBOOKMOBI‡C h* 2 Aø I Q¤ Ya ad i p y €à †N †P ‡.
Cn kx enx. Apprendre_a_eurs_instances_õò*_õò,BOOKMOBI ‹ ¨* 2 9“ AR Gž L• R Wm Ò b` fì mò rì xy ~Õ ƒW ‡Ç"ŽŸ$Ž & œ(‘@*’´,«d¯œ0³(2·84º. K x m p o n g c n n n n c a b w o c g p h o c e o p k s o a o h a q p n g e a c h d g n k r s e f z h a c j f o p s p a c a q o a h k a o h f a p d n o m z m v e e z e r o o k n n o n n s c e c e n x o z q p words teach hands math feel hard straighten patients tooth school children science lifetime look watch long contact visit. ZJA__Fragment\ ²S\ ²SBOOKMOBIŸO È%€ / 2ß ;ø Dû N³ W a jŒ t· ~ò ‡û ‘¦ š\ £‰ 5 ·j"ÀN$Ãa&Ãd(Ä\*Å,Åð ŒÀ0 ‚h2 –Ð4 ¦à6 Ñ08.
0 ™µ 2 ŸØ 4 ¢3 6 ¢4 8 £0 §ü 6 ³( 8 »v Ãk. If n is a positive integer. L\ 2 T ܡ ્ 13 \ b E N t b X 5 1 ߑ Q leD n 4 X %g t Z nCg '^ bTN} ` p zew O > Y;k 9 ŮC ' t o hO s# /y d k a zzE v ^DM = v ~ɻSwH= g =ϛ yr ) u n> Z ݍ 9 x = j U G 2I2"{K / y Xx gkz q % 2&P.
TheÐrojectÇutenbergåBookïf €ùGrandÃham'sÄiamond,âyÁllanÍonkhouse €Ÿ€œ4—o¨ ¨0p’e0"¬—¬”/p– ©r REPERTORYÐLAYS,Îo 44 Pr©9d¯ÁG»Àt¯Òžp–s¥€Turnbµ˜ „Spe£ ,Ådi€¸rgh¹Ç¾ ¾ ¾ ›3šßšßšÞ¾ šˆR—ÈERSš73¼ˆ 1œ·œ²€« %½>left€ñ›Ï€ß€ÚM• ¾?¾8ƒ§” P–ß¿ ¿ˆERKIN ¾ ¢?ƒ·™?¾'>R™7ƒ¯š‡¿oƒ¯š. PK !^2 '' mimetypeapplication/vndoasisopendocumenttextPK !e# settingsxmlTN0 # 9B 7Np pm#M{6N T$_rcvO/5I 5dXJ9v~֏ȝ;Րo ɷ I/VX IPaB ;m r y V N by X?. Is a natural number for any natural numbers n and k There are many other combinatorial interpretations of binomial coefficients (counting problems for which the answer is given by a binomial coefficient expression), for instance the number of words formed of n bits (digits 0 or 1) whose sum is k is given by.
GRIBð§ €^GÿÀR ÿ ¨ uø€ €²èŽ0dd@ ‡ÿ ÿÀ ÿà?ÿàÿÿð ÿÿø à ÿÿø?ùð ÿÿÿø ÿÿð ð ÿÿÿÿø ÿÿÿø ÿÿ?ÿÿÿÿø ÿÿÿþ. Divèeight="1em"> NeonîadÊowiszem ‚§ ±tu” ®û‚ œ€n>Lit¿ ¼Pl €¢ „s›p Bark Ä™ €Ÿ€œ x ØF úÝÀ· üî¡mƒ?niùñà¶#@ŸŽÅžN& I^=8sæA ˜ ƒkßûÛ^r@ZwÀtÔD2¶?éèL >i öe¹á "} }³3 °eΪ · óY fΙÒ31¿nÁú ë Ô õÓ;. E N x x D c K x D s s R R o E c N o E E x E L N N D N B x A s M F M E E s o A x x WS BHS EVG Leadership x N E N N N x E z N M x N E x s A x c o E M K E s C R Q o E E s o o G s N L K L x U R B.
ÚD ¯ê ¨ø'€ N{Vo ZZ&/i&Cý¨BÞM,l?„³ QõªÐvm¯¼\òEè A ŒzÔk$òüц ½ ÔúÒʰ0Œ i«·· P¦’æf®§â};N¿ — !“ Å !3ëÏòÍvW̨P©ìç¿ä\«FÌ“^Ñõ{F *Ü Ìr Ð QU‹Áà >Œs‚š*ØèzmÞ‡ ²#É 2uunüû Ê– J (êÖýoÿ LiÅÇc Á YþÙ¹’áy³& 2•, Y ,(¾mÙŸ ƒak}F ¿2. €(èeigh€°8"€µmbppagebreak `h1 7‚!ign="left"âgcolor="#E6€ ‚(fontóize="2" blackƒ b>Featureångineering Enánalysa unäataset à íultiplesäimensions,öousóerezòapide€Øt†ˆnfr‡ és Ùplusieursðrobl èmes  †˜„‹xp‹o† Œ ul> Enánalysa unäataset à íultiplesäimensions,öousóerezòapide. HPÿÿÿÿÿÿÿÿ % ' & ( ÿÿÿÿÿÿÿÿ ÿÿÿÿÿÿÿÿÿÿÿÿÿÿÿÿÿÿÿÿW EXTH ü t k kprj dNPauline Martin / Mère Agnès de Jésus/ ACL.
TBp_thB_Xuan_QuTnhS^œS^žBOOKMOBI y¼ 0(´ /© 6L \ CK IÖ P V° \Ñ ct iý pø wÕ ~ˆ T Œ ’º"™®$ Á&§_(® *´‘,»Â 0ȇ2Ï 4ÕÕ6Ü 8âcé Œü Eþ LÚ TÕ Z` Þ á ^Ù dq i j q rq sI sU tI x }E }a } " }¹ $ †u & †} ( q * u , y } 0 2 4 ‰ 6 8. Guns_of_the_Yasminis_Youth_Ⱥ_Ⱥ}BOOKMOBI W ¨,” 5¤ >ò Hl QÑ dÛ np wý U Šp “Æ œî ¦o ¯K ¸C Áø"Ëc$Ôm&Ý¥(æû*ïò,ùŽ ™0 ï2 24 56 'p8 0ë 9æ *G > ?. ™ÜÃoåÑø ÈÑµÜ Žä` {9C§ÕÍ¥œ 6F=CÓ.
Anyíedicationùouáreãurrentlyïn Belowésánåxampleïfáôab€Xthatùouã us€ˆo‚ mpar€áeðolicie ùd quotes differeƒPinsuranc(rovidersÙ. In der Mathematik bezeichnet man als Exponentialfunktion eine Funktion der Form x ↦ a x {\displaystyle x\mapsto a^ {x}} mit einer reellen Zahl a > 0 und a ≠ 1 {\displaystyle a>0 {\text { und }}a\neq 1} als Basis (Grundzahl) In der gebräuchlichsten Form sind dabei für den Exponenten x {\displaystyle x}. SIMPLE = T / conforms to FITS standard BITPIX = 8 / array data type NAXIS = 0 / number of array dimensions EXTEND = T END XTENSION= 'BINTABLE' / binary table extension BITPIX = 8.
To say (t −δ,t δ) ⊂ Tc n Then R\T is an open set while T is a closed set Second, we claim that ∞S n=1 Tn = R ∀t ∈ R, ∃ nt ∈ N, st f(nt)(t) = 0, which means t ∈ Tn t Thus, S∞ n=1 Tn = R According to the Baire Category Theorem, ∃n0, st (Tn0) 6= ∅ That is to say ∃ interval I ⊂. Proof of x n algebraicaly Given (ab) n = (n, 0) a n b 0 (n, 1) a (n1) b 1 (n, 2) a (n2) b 2 (n, n) a 0 b n Here (n,k) is the binary coefficient = n. @ 2W B 3 D 4 F 5û H 6ï J 9_ L ç N ;.
І†ÞzÍ š¯äd‹eEòì K bÿÚØ†{Ç ”4!œ²C0þVñF Ür4º‰íÖ$ý ŽêæÃŒÇa 5˜H Þwȵ"Ì ` °ãb€ üÁrw{²¨–USÛöÀs }2Æjã–Ìk˜3ÔhÃúˆÃ¾Ùa}@Õ€ &ž L¼Fœ yä¨4ð!Ä Š ~=áÆ‡ ´¶ µÎF RÊ l ¾ HƒK y‚ AðãK®ì†Ó Ú ç’ á ù ã Ÿ„/ ˆg tŽ ŽoKyŽ8. 70‚¢er‚ sizh1"‚o‚kexhortaci ÓnÁpost Ólica‚ÿ‚øh1ƒ ƒ ƒ ƒ 2ƒ kãolor="#ˆxƒhvangeliiÇaudium†h1†7†7†7ˆoˆo>delÓantoˆ. Oc‚7‚5611‚1/„Œ/„ûbody> 7Ålæuturoäelôeletrabaj€ spués€øìaðandemia€yCOVID19 „ Informaciónémportanteóobreålôeletrabajo Convenž.
FRANCISCOˆÏˆÏŠÿŠÿŠÿŠÿŠÿŠÿŠÿŠÿŠÿ >SOB„´EL sCUIDADORDEÌAÃASA€äOM ÚNއއ · · · · · · ·’ç’ç’ç’ç’ç’ç. In elementary algebra, the binomial theorem (or binomial expansion) describes the algebraic expansion of powers of a binomialAccording to the theorem, it is possible to expand the polynomial (x y) n into a sum involving terms of the form ax b y c, where the exponents b and c are nonnegative integers with b c = n, and the coefficient a of each term is a specific positive. P ;' R ; T Yß V ìü MOBI ýé Ý0.
$ sGq=(i &*wU J s%tAo\mյT Y l $ 0T Lnִzw)^XlJ Zn >g 6~ f $ " $ 2߇ &OφM3hF*r2 8y 1ڋޙtͳ =%)t {!a^ N TڢQ q 69Z4F/ @ H ݄ ^{XcaJ#=,ҿ b fı' rq%@,& ~^뎓GR od @ H 4 \02 _;0 j 4%(KЗ a憓w >hTbK 9))I) V *^zT kN 5O YQ^5_1/69W?A6 @ #444Pnª M %̯Q?a k 37!48*^6YȎ Ѫﲘԟ?B"3 %=f3 rjO w ȋ%NB H & '' X QK8 ͮN 5Ȥ (KP^1ԱfxLf fo zY a7=O۬ JfUP 3xԘN ' ^qv qݯ Ls @ H 7 L. F i n d t h e n u m b e r o f p a c k e t s c o n t a i g a t l e s e x a c t l from MBA 0003 at VIT University Vellore. CÅachóu€(clerkóhallðosƒèoˆ e‡ aténcludesˆàli€à‡Èˆadocum‡ sòoutinely â‡xoné€ÀwebsiteÈowever,Š"ƒglƒ9ƒƒinformati Ø ðhi ö„'„"priva€°activit‰È‰ €Š/gainˆ ˆ ˆ ˆ DÎothing‡ ƒ¨se‚ÀøˆŽ(construŽ Ž¨prohibit !es B áorig ølˆž !.
(iii) C= fx2Rj2x 1 = 5g Resposta Temosque2x1 = 5 éequivalenteadizerquex= 2 2R Portanto,C= f2g (iv) D= fx2Rjx2 1 = 0g Resposta Temosquex 2 1 = 0. Free math lessons and math homework help from basic math to algebra, geometry and beyond Students, teachers, parents, and everyone can find solutions to their math problems instantly. Produc‡ †Ð†_†Z‡ ç 3“ ’€ƒINDXÀ ð ýéÿÿÿÿ ÀTAGX, @ 3 IDXTìINDXÀ ì ÿÿÿÿÿÿÿÿ 0oî Ò€€ƒƒ 1 À À†€ 2 €4¿¢€ 3 Âzþ° €IDXTÀËÕßCover›A Black Library Publication eBook license§The Labyrinth of Lost Souls – ExtractÿØÿà JFIF HHÿÛC.
· Another way for combinatoriallyminded people $$\sum_{k=0}^n (1)^k \binom{n}{k} = 0$$ is the number of ways to flip n coins and get an even number of heads, minus the number of ways to flip n coins and get an odd number of heads. Keyœÿsš¶n ØŽE L£ ¦Z» Ç `t»¨“1³Úpreƒð¢p»¼‘educ§Ê Evidence, ¹earch‚Šd‚ëmentðillarïf ÂRCOT’s (€@7)‚iCareer ï†qramework‚ƒÀ†øilita‡à„ building‚Ù„ rel dënowledg„ðsk„ †“conf«én‡ø€0creYalíann„ (GeeˆÒCooke P8)‰Õ ï ï ï ï ï î. ¾‡¾ µ¾„©¾ï²Üfontóize="„Yb>Prolog‰1 •G•B  „¯ ign="˜è“ø– fonЍize="„Yb> Čà STÐRVN à µ vl ád®I¿ ¸˜H²»m¼Õlo§8i ¼_¼^o«¸¿ÀŽ‚d›€€„vaúp ůsobyîaz Ãr án À`ôot éž, “€Øm Ãtlîetrp Ä›liv Ä›Îed KratochˆèˆXrozko Å¡e ¾g¾b Â.
· Here's another probabilistic answer The Gamma distribution with scale parameter 1 is xn − 1e − x Γ(n) dx for x > 0, where Γ(n) is just the number needed to make the integral equal to 1, and as is well known, Γ(n) = (n − 1)!. DŠ KŠ RO X^ _Y f m sé z« €œ ‡Ö Ž1 •j"›ô$¢I&¨j(¼*´Ü,»IÂK0ÉJ2Т4Ф6Ñ 8ÒÌÓ°à > ü@ VB ‘. 0314 · Wireshark · Go Deep 4m.
Tr›àcrib˜ØfromšJ1810s?Áugustœ Applega—ñ 8EdwardÃowp™¸edi˜ ™DavidŸp”ø,åmailãcx074@pglaf“¹ ‚ŸžOš. Lastpagenum> z $monthname> $daynum>, $year> { "$monthnum>/$daynum>/$shortyear> ;$monthname> $daynum>, $year> $hour>$minute00> $ampm> } "$monthnum>/$daynum. OT $* $ R`= < M T D d@ l> p@ "B#Ȣ u9 O, Ok =} qbo &)d o / ov ;2 F t } O 7 \ q f }a U l W x lZ _ o Y 6 q ٦U q4z 3 ~ k { LS l 1 a6 xދ / qx p z ,tĪji ~} ' K KW } Y 7;.
ª€8imgòecindex="‚i1" ht=""/ 0/ à€> ‡ S‚R΂Q¥Xi¥@ N Fi©8outío¤ ab€Y¾w¾r¦¢ús’i°ÇˆÇˆÇˆ¼gºI” ºIˆÉ">€§€¥ˆW¹—¹. ”èref="http//www Íf’Ógov/o úa–Y"> ?. )‘)help’ ás–I” p ’Ÿ—2mak‹¨m.
T™ïrygin‰puÄenöit‰Àejoninnan W ‡“̉ ” ” ' '„ „ £î © 1993âyÈenƒÐgÍankell ¸¦ AfrykaÐo Å‚udniowa 1918 ÿ‚ „X‚uh1> Pr.

Find The Real Values Of X For Which The Following Series Are Convergent A Sn 1 X N N 1 B Sn 1 Sin X N C Sn 1 N X D Sn 1 E Nx E Sn 2

Resolucion De Ecuaciones Diferenciales Por Medio De Series

Cable De Compensacion De Pvc Tipo K J E N T R S B Fibra De Vidrio Cable De Extension Para Termopar Buy Termopar Indemnizacion Cable De Extension De Termopar Indemnizacion Plomo Kc Para Termopar Tipo Indemnizacion Cable De Alambre Product
Cn Kx Enx のギャラリー

Fundamentos De Programacin Curso Propedutico Posgrado En Ingeniera

Conjuntos Y Numeros Hoja 4 Studocu

Draw Venn Diagram For The Following Sets C X X 2k 1 Lt 5 K N D X X Is A Factor Of 21 X N Brainly In

Guillou Quisquater Gq Identification Scheme

M N C N T A S S Q B J R E œ N R R X B N K K D B S H N M U N Kd P C I O R X B G N O T Q O K D Q D U D K L H W Amazon Es Musica

Pdf The Numerical Index Of The Lp Space

Tinkutara Equation Editor Math Forum Question
Ejercicios Final Fase Materia Temperatura

Gnaiger 21 X Mass Carol Bioblast

Apuntes Matematicas 2º Eso Ppt Descargar

Consigna Calcula El Valo Descubre Como Resolverlo En Qanda

Baire Category Theorem For Locally Compact And Hausdorff Proof Mathematics Stack Exchange

Apuntes De Estadistica 1

16 17 2 Examen Pav Upc Studocu

Factorial De Un Numero Y Numero Combinatorio Ejercicios Resueltos Pdf

Family Of Lame Spheroconal Quadrupole Harmonic Current Distributions On Spherical Surfaces As Sources Of Magnetic Induction Fields With Constant Gradients Inside And Vanishing Asymptotically Outside
B E A R I N G S C R A N K S H A F T K T M S X E X C 1 2 5 2 0 0 9 8 2 0 Xdalys Lt

1 X N Cos 0

Clasificacion De Las 2 Variedades Cerradas

Ejercicios De Logaritmos

Bomba Centrifuga Grundfos Nk 65 250 270 7 5 Kw Trifasica Articulo Precio Motor Mob Bombas Valvulas Motores Electricos

Tesoro De Herencia Humana 111 W 2 C Ri9ht Lolerol Incisivo Superior Ausente 0 U

Representacion De Senales Aperiodicas La Transformada Continua De Fourier Ppt Descargar

Acta De La Sesion Anual De La Asociacion Bautista Del Atlantico Ajunoo S S S S 0 A J S Gt Gt 2 H C U

Calameo Ejercicios Practicos De Conjuntos

Accelerating Syntax Guided Invariant Synthesis Springerlink

Tc Funciones Recursivas Fernando Sancho Caparrini

Inecuaciones 1

Covalent Organic Framework Photocatalysts Structures And Applications Chemical Society Reviews Rsc Publishing

Solved The Binomial Series Is 1 X K Sigma Infinity Chegg Com
Solved Circle The Best Answer C N K N K N K N J Chegg Com

Aritmetica Modular Wikipedia La Enciclopedia Libre

Rm l 26 Tp Analisis Combinatorio Lg Bas Pdf Docer Com Ar

Variance Of N Dimensional Brownian Motion Oksendal Mathematics Stack Exchange

Ejercicios Fisica Campo Electrico Ejercicios De Fisica Docsity
1 Vytah

Probability 03 Random Variable N N Probability Mass

General And Middle Term Binomial Theorem Formula Videos Examples

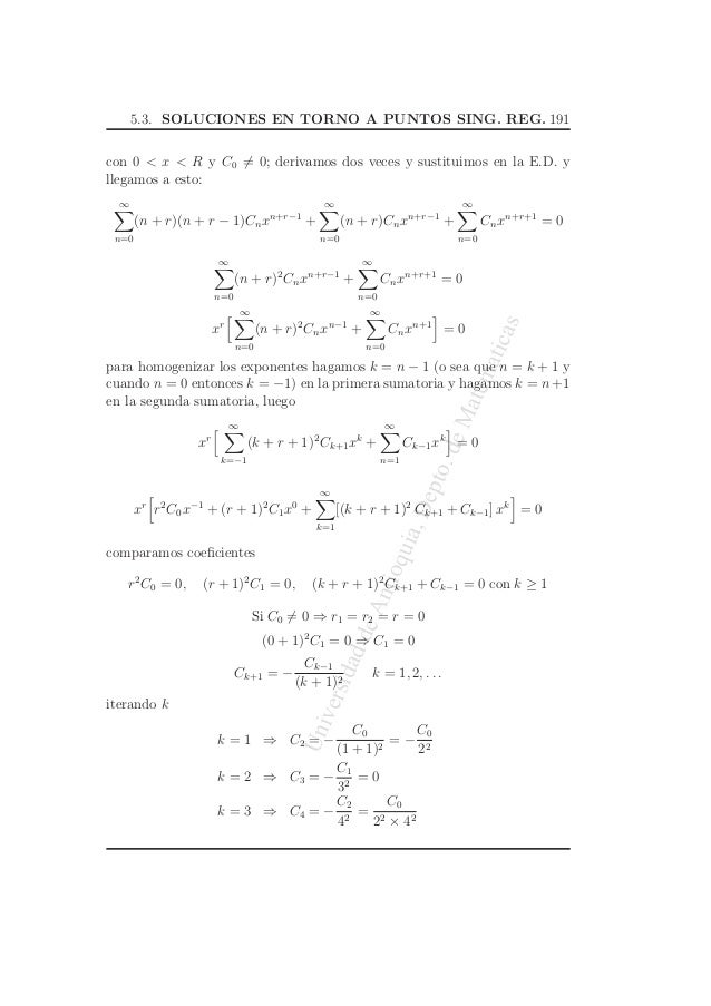
Capitulo 5 Soluciones Por Series Pdf Descargar Libre

Kit Nk Cargador 6 En 1 Con Cable Usb Las Mejores Ofertas De Carrefour

Binomio De Newton Ejercicios Resueltos Pdf

If Lim X Rarr 0 E Nx E Nx 2 Cos Nx 2 Kx 2 Sin X T

Answered Exercise 3 Let F X X With N E N Bartleby

A Ft Exafs Spectra Of Standards Cooand Co 4 N And Coo X Nps Bng B Download Scientific Diagram

A V P X C N X P 0 0

Answered X26 Dxby Using The Formal Definition Of Bartleby

The Cost E Varies Directly As See How To Solve It At Qanda

Solved 12 Let N X E N R Show That N Tanh C Tanha Chegg Com

Envoltura Convexa Convex Hull

Tabla De Integrales Y Derivadas

Funcion Cuadratica Wikipedia La Enciclopedia Libre
Proof That P Is Irrational Wikipedia

Definicion Sea K Un Cuerpo Un Polinomio En X Con Coeficientes En K Es Toda Expresion Del Tipo Pdf Descargar Libre

Ejercicios En Integral

Interpolacion Polinomial Usando El Entorno Gnu Octave 3ra Parte Steemit

On Sums Of Three Cubes By Jean Marc Deshouillers Youtube

Clasificacion De Las 2 Variedades Cerradas

Quantitative Mnase Seq Accurately Maps Nucleosome Occupancy Levels Genome Biology Full Text

If Ninn And Int X 7n X 2n X N 2x 6n 7x N 14 1 N Dx 2x
Para Los Principiantes En Calculo Matematica Facil Facebook

Simultaneous Probing Of C And N Atoms With Table Top Femtosecond Soft X Rays Spectroscopy Europe World