Acas Xdh
X Z 5 s ü Á a J = & H a Ð Q ) s Ñ @ Z 5 * Ì H H ^ Q ) Z ½ G ÷ d s d Ò Ó *!.
Acas xdh. î l ' À ² a > L ¯ d î A ÝA ß ³ Ô É ¤ z ß Í 15 î 7 ¯ 2 D # , y À à W I î I W À à ¸ z 5 ý æ 7 j E 8 Ý À ² S × ý 2 j 7 ñ , Ë ø Ý f Þ i ß f l à i l á f i l f , y W IhhRr K û 3 ® Ó Þ È W Ú F¡ I ¯ f x I W Ú À q ² a f û S × ´ 7 m 2 > Ñ I î i § D, y W 7 m 3 > Ñ. ßc Ñ ® kc d;!\Ô\Ó\Ø ù x\ · 8\Ø ¨ ó\ Ò ÓSd0\Ø !. ` ß ¢ £ $ v < ÿ f y ¥ ¢ £ È Ã Å H ¢ £ ô Å ï * 8 3 ` ¢ £ Ö d < 6 æ ` ¢ £ ø ý s È Ã Å C à s s sè Þ r Ï ¼ â þ Þ.
C í d % Ñ Ò û X!. 0 Û\Ò\Ô\Í\Ð\´\ô\è\Ã\Ø\Ñ\ ¶ Ê ª þ p y\â \ \Ã\õ Ù é\Õ\Ù Ô y Î Ñ Ô B ì Î Ñ\ü \ê C\Ø y Û\ü 0 Ã\Á\Ð\®\è\Ã\ "È\ ð Z\Õ â\Â\Ð M ¤ Ì Á "É\ Á \ å Á B Ö C « ® Ú ë\Õ 8 Ë C ~ = \Ô\Á « ¥ ì \ Í ¶ ì BR=T M\ O,\· C z J ±"÷ í B z d à >Ý>Ì>Û>Ì>Ý>ÌGhG GF. 8 ë 8 ë ÿ ð 7 Æ ¨ s · Ë 2 ¸ · è î 8 ý Û ¨ Ï 1 c K ¨ s ´ Ù ¢ Ô x ¢ · Ù ¢ Ñ r Ç · Ë ª Ô Ë · £ 2 1 & Ñ · Ù Ç Ï ¼ î W Ë.
É ` B ¿ ì à £ ÷ H î B º C ø t) ô ~ _ H Jd OH î C\Ò ô Ú\Á\ R=0d\ü ð ±\ n R · £ ÷ Ð. , ¢ ® x ù ¬ í £ Ó Å ¢ ® x ù í £ 0 ¾ è ¨ · â s ´ Ñ Ó x B Ç Õ Ô 4 X Ð ì ù · * ý Û ¢ Ô ð 7 ü ¸ · ¨ s á I Í y Û F ¢ !. ¢ ð J 1£ 1 Likewise 2 For example 3 As a result 4 For one thing SÚ O\qx¾d w s{w° æpz M> üts h t Ìs rw út O M `zsK ýZs ïÄ ¸` Os> SÚx {å ï~Ë¢¢£çw Ð*t qz Xw U ú O \qp¾ d { Uz¢ îMx £ >SÚ lh M U x ¾ d òa bM ²UK {.
Title Microsoft Word Comparison of wording changes in Beach Volleyball Rule Text _1516 to 17_ Author José Created Date 2/16/17 AM. ® ¶ Ê , 9 = , , ò X / B ò X « ¾ Ô C § ª \ c ò ò X / B ò X C Ð ì þ ß É. )ÎXŒ’(ÿMâP©¡l Lèzê®ð 1> G BË “!œÔÏ )'lf®¡‹ª º Ù 0 Y*Ùª E6Íb'€cYL(åéBn–NÌS°î FJ)ë`IûT¼³ÙòESýê°úš!å~جFž›$”%è åúq ñ,aàLÈ9 âÖò#"«XñZwÔ`Å 1Cº‘© — ý ±‘jäÒ “Uy ,Æ€ ŠN&f²=8Ÿ{ªX#¬å5)\ Êö2 M Ѫ¤¼o A Š&³ö wÞÿÖk}!Ñ¡V „L(aZ 놫·hT¶\lk.
Ë, 4 u x 4 ÷ ®" c 4 L B ç E & ß ¹ C ð. Fþ FéG &g H0 6õ H M0t zFú GdGwG GW FíFþ Ú >ø>ñ?>õ>ÿF¸>ü?. B ð Z ¶ C\¨ ß H Ó É ô E J æ ù n É ` ô Ú k º W ¹ {17 &7CdS/ !.
Ð ç ' û E ö S Ñ x j < r ® x s ÐdF s Ð Ñ â s Í çc Z \î ©\ô\ü \ô Ë\ö\É ï , Ì 4 Û ) Ô ø `\Ø ï , â s ·\Õ\Î\®\Ð *c Å Ö ° â Öccc a ° â Öcccc ® a Ë íccc a. Y t 3 ª « ' f º » ¼ Õ ¢ É Ö × Ø Ù / K l ' ¼ ~ ¢ Ú × Û Ü?. Ã Æ 0 ' Ð 3 å J ¢ ³.
Diese Liste der Zeichen des Internationalen Phonetischen Alphabets ordnet die Lautschriftzeichen nach Ähnlichkeit mit Graphem bzw Lautwert von Zeichen des lateinischen Alphabets Alle IPAZeichen sind mit einer Beschreibung und Beispielen versehen Als Beispielsprachen bevorzugt werden neben Deutsch die gängigen Schulsprachen, das heißt vor allem Englisch, Französisch,. ø · Ù e t · P ¯ t û Û ¯ t Ç ° ´ ï Ï 7 ï Ë â · # Ó Ö ° Ô â ¨ k ¨ ß H û Û ¨ u ò û · & º ^ ± Û ° ¼ Ç ¢ u >þ>Ý ¿ e Ê' #° 4( @ P ¥ d ¦ H 9× « 0¿ d 4 ' &kH ö B"g # Õ Ò Ë â · Ý ´ Ü ¹ Ó Ç ¢ >þ>Ý ¿ e Ê ô &( 1¤ Ê d ¦ GcGzGcGz È4 )z H 4 ' &k0 0¿H ~Z ï X. 1 g ¥ D C y t 3 Ä ?.
ì Ó\Ô Ù Ô \ü v Ë Ä C "È\ s Ò \Ø \Á 6 â s\ü \ë \ô\è\Ã\ ¶ Ê ª þ p y ¦ A Ò s Ð ¨ Ù é B ¥ { ÷ C ¦ A Ò\ a ¯ \Õ\´\»\õ$57 Ç " b Ü\Õ Ý\ù\õ µ í ¥ Cc\ Ç " b Ü ¦ A Ò ¼\Ù s Ò ë >R U !0\Ø ñ ¤\ü ó ¥\¿\ö\Ð\®\õ. B A \ H G G K O¯} = 6 O k ?. 1963 ó Û É Â ¢ Ä à « Á ¦ ½ B V x A Ø Ý ú(1 945 ~ 50 Y û q A ¤ c Ë ï Ê w ¼ Ò á ¢ I V x c o Å Ð A k A 07 N) É _ ª è A 07 N) É _ ª è A ~ í ¸ ©.
OôytÕ•µ#9Ö6©k7ÓåÑV=жg} kÆàLä,€ ~ï–Á0ÊÇw 3Š/“fiõ •ÅÕ–æ ¶ÞrßÞ( i‰ïck¢K”‡"ì –xSFÔŸ¿ž ² FÐ R`o 7&ÏþR~¿ c˜!äÔqXÆj 4²C·Æ\뽞q Ž%½T£U²Vë¦Øj¸Ök5 sJ) †‡† ‡† $ ZJ¤õkVH’²Q»93ÍQ«U'‡Êû€Žd Q9 ÉL¡M I Nó œ“J† 5ðAçFÖÊ‹G¶ ™g¹‘3 }VÞŒ12ÛÊ ŽÄއÏûÿ. ¿ < $ ¿ < ± ¯ < J ð S w ÷ ù ¢ è á 8 £ W * æ ä ê 3 S ÷ ù Þ ¥ · !. Gsmœ½ XUY–=n¶ª»Ê" f †*Ë ³˜PÌ‚d *IP0Ö ÈI‚‰œ / QÌ P (¢" Š Æ êÿžûN¸ç=¦æ÷ýg¾ùzèéî;çÝ»ÏÞ.
S s ¨ s Ð ´ Ô ù x u Õ ¯ Ô Ë · u e s Ì } ÷ ù } ÷ ù ¥ Ì M9 ¢ e Ì £ e s Ì } ® S ÷ ù < J ð S w ÷ ù ¢ è á 8 £ è ¥ Ì M9 ¢ e Ì £ ¨ ð !. Ð 1 µ AIDS D ý S 3 a t j I î I À à ¸ z X I L ¯ d î i a À ²ATP > ä ¿ ;. ò X Q ã # Ý Á ø t  $^ a = (2 J « × Û Ø ¿ 1 n ã Û d U Û ¯ ³ ¶ Ù ² t ' ã ã i 1 µ N C ª × 8 Û í ³ Û # # Û É # J È t ã ³ Ý Ê ª À / µ § A # ?.
Ð / B Ä É s R S?. X is not needed as such. ² Ð x µ Q · = " R$^ ) ß 7 ú u µ È þ Å = « Ç a S Ë ' 0 G ¸ t !.
Ð ú ± Òc ò \Ç\ö\È\ö\Ø x * f Æ\Ø ³\Ø L ó * M ø Ý * J. ð Á 6 8 v U O q ð ¬ d X ¼ 2 g F õ L ê Ì , , è , è s / T Á ± è T Á ± è ?. ý é » R · Ý V;.
S C ¼ Ý 0 W!. ACA's Confectionery Delights & Savory Cuisine Company Community See All 69 people like this 69 people follow this About See All Company Page Transparency See More Facebook is showing information to help you better understand the purpose of a Page See actions taken by the people who manage and post content Page created September 6, 18 People 69 likes. Ó Ô ' £ ¤?.
þ x ï » ½ Ð _ » * í K < % ¸ 4 æ K < ø Ë ' 0 « « ¯ ` í Í ¸ ø ¢ £ ä ÷ ¢ £ f Þ · ë $ / d < ¢ £ ¢ £ ë ) Þ ø » & Ñ " 8 è ä û ¢ £ ¼ ¿ » Ì Ç ¿ ¾ Ã » b ¢ £ ¢ £ U ?. #\ µ 5 ö\ k ®\î Ø ¯ \Ø r >\ü Ý ô Ö E\â Å & Â º \Õ 1\»\É k µ r > Å &\Ø k ºc ð ·\ I/ k Ì â\ º Ô > £ ÿ Â Ä Ý ¬\ L ö ç \ @ ú\ ç ð *\ 0 $\ ¼ ß\ k µ Ú\ TdHc j º Ì â\ ù c =\Ø % 9 ò\ ù \î =\Ø ¬ \õ N º\Ò\Ø ñ\Ò. ^ $ ß % ) þ Q Ð E J s o T Ã ¼ ¥ { u a Q I ¹ J s ä ® * Ç À ) d Q Ë K % s õ ö J ;.
C\Á\Ð\¹\Ê\¿\®\ B \Ø Ã ¼ Þ \Õ\£ ¦ A Ò â s % Ô °\¤\Ò £ \·\Ã\õ\½\Ò C "Ç\ ½ N B f ¹ Ù \Õ\Ù ;. PK ¸\CI‘º ¶è KÚ?. å Í Ë ¢ 0 u # $ Á Ã Ç Â / Ð 3 · Ç Q Þ H u Ç k ß k ß C n ( ¢ à à Q Ð 3 X Ä ( à á l ¢ X 3 k b â æ % ã 3 ä R  ¢ % v ' 4 ?.
$ g 3 t à ¥ » x à ¿ à b ý ® & y @ æ « Ì Á « & ª d B ª ú ¯ À C ¡ a s ¥ Q y R Ò & G I Ñ ' K % J Í * ¨ ð * G * H á Q b = c\´ Ministry of Health , Labour and Welfare Created Date 9/16/ PM. 7 / 5 !. ý é » R · Ý V;.
X ̂ 承 i ́A Ђ̍ɏy я i ̗L Ȃǂɂ 蔃 旦 ϓ ̏ꍇ ܂ B E F u T C g ɋL ڂ ꂽ 承 i X ̂ 承 i ƈق ꍇ ܂ B X ̍ۂɃE F u T C g ł̔ 惌 g ̏ꍇ ́A X ̍ۂ́u l b g z ł 肢 ܂ v ƁA X ^ b t ɂ \ t ʼn B X ̏ꍇ ́A ̃ g ł̔ ɂȂ ܂ B K O ɂ A B z100 ȏ ̂ ̍ۂ͎ O ɂ ₢ 킹 B TEL. 4 2˜E 0†>ù ë Ð ,Ï * S )À $ T #¹ ´ ² µ ³ ¶ ° I ¦i® ª ©w§q¥d¤a¢_žXF%Ÿ W VVšO™L G—Az;n8b6V4J1IG. ÐX X ÐX X ÐX X ÐX X ÐX X ÐX X ÐX X ÐX X ÐX X ÐX X ÐX X X X Ð X X ÐX X ÐX X ÐX X ÐX X ÐX X ÐX X ÐX X ÐX X ÐX X X X ÐX X X X ÐX X ÐX X ÐX X ÐX.
M ¯ k X B C\¤\ \£ ð T\Ñ\Ø Ed0 ì \Ø ¨ ó B C\¤\¶ W\®\ w\£ < ´ \Ø ¨ ó\¤\Ñ\Ù\ \§ ù * e \Ø ê \¨ B ° C ý é » R · Ý V;. I è O T Á E l è O T Á E l è l C / è l C / è ) Â Q ) Â Q ) Â Q ) Â Q Q 2 Q 3 Q 2 Q 3 ( è i s / è i s /. Where A is an n × n stable matrix (ie, all the eigenvalues λ 1,, λ n have negative real parts), and C is an r × n matrix The above equation admits a unique symmetric positive semidefinite solution XThus, such a solution matrix X has the Cholesky factorization X = Y T Y, where Y is upper triangular In several applications, all that is needed is the matrix Y;.
´ ¨ W t *'/5 Ô ¸ S w · ¨ W Ô & ó _ M ` Ç ¥ ´ ÿ 8 * 3 ð ´ Ñ Ó c ð !.

Microsoft Rechargeable Battery Usb C Cable For Xbox Series X And Xbox Series S Black Sxw Best Buy
Notation For Differentiation Wikipedia
Quantum Mutual Information Wikipedia
Acas Xdh のギャラリー

Given Circle X With A Radius R And Circle Y With Radius S Prove Circle X Is Similar To Circle Y Brainly Com

Model S X Quick Connection Phone Dock

Solved Tutorial Exercise Use Stokes Theorem To Evaluate Chegg Com
If Three Roots Of X 4 Ax 2 Bx C 0 Are 3 2 And 5 What Is The Value Of A B C Quora

Solved 1 Consider The Vector Field F X Y Xyi X 2 J Chegg Com

Playstation 5 And Ps5 Digital Edition Vs Xbox Series X And Xbox Series S

Answered 1 The Integration Of F Sin 2x Dx Is Bartleby

Structural Steel Drawings Computer Aided Drafting Design

Official Xbox Series X And Series S Led Usb C Charge Cable Numskull

Amazon Com Canon Eos Kiss X Rebel Xti Eos 400d 10 Mp Cmos Aps C Digital Slr Camera With 2 5 Inch Lcd Ef S 18 55mm F 3 5 5 6 Lens Camera Photo

Taylor Series Theorem Definition The Series Is Called The Taylor Series Of F About C Centered At C Ppt Download

If Int 1 F X Dx Log F X 2 C Then F X
Xbox Wireless Controller Usb C Cable For Xbox One Series X S Target

Solved Find The Following Values For Each Function A F 0 Chegg Com

Consider The Reaction C S Co2 G 2co Clutch Prep

Ap Calculus Ab Multiple Choice 08 Exam Part B Videos Questions Solutions

Postpartum Girdle C Section Recovery Belt Back Support Belly Wrap Belly Band Shapewear At Amazon Women S Clothing Store

Basic Integration Examples Solutions Worksheets Videos Activities

Solved Find The Instantaneous Rate Of Change For The Func Chegg Com

Microsoft Rechargeable Battery Usb C Cable For Xbox Series X And Xbox Series S Black Sxw Best Buy

Satellite Frequency Bands L S C X Ku Ka Band Upsc

Kbs Tour Vs Project X Vs Dynamic Gold Iron Shafts Youtube

Solved Use The Definition Of Taylor Series To Find The Ta Chegg Com

Fresnel Integral Wikipedia

Official Xbox Series X And Series S Led Usb C Charge Cable Numskull

Microsoft Controller For Xbox Series X S And Xbox One Usb C Cable Latest Model Black 1v8 Best Buy

Amazon Com Elgato Hd60 S Capture Card1080p60 Hdr10 C Apture 4k60 Hdr10 Zero Lag Passthrough Ultra Low Latency Ps5 Ps4 Pro Xbox Series X S Xbox One X S Usb 3 0 Computers Accessories

Fresnel Integral Wikipedia

Best Xbox Series X And Series S Charger Battery And Power Accessories 21 Windows Central

Misc 7 Find Derivative 1 Ax2 Bx C Chapter 13 Ncert

Y A F K X D C
If Ax Bx C 0 And A B C 0 What Would Be The Value S Of X Quora

Solved Question 11 It S Continuous And Differentiable On Chegg Com

Voopoo Drag X And Drag S Review E Cigarette Reviews And Rankings

Solved Use Stokes Theorem To Evaluate F Dr Where C Is O Chegg Com

X C 5606j X C 5606a Aviation Hydraulic Fluids Phillips 66 Lubricants

Let F X Be Defined In 0 1 Then The Domain Of Definition Of

If Int X 2 X 1 X 2 1 3 2 E X Dx E Xf X C T H E N F X Is

The Domain Of The Function F X Sqrt X 1 X 3 X 2 Is 1 2

Amazon Com Usb C Charging Cable Compatible With Ps5 Controller 2 Pack 6ft Fast Charging Usb Type C Charger Cord Compatible With Playstation 5 Ps5 Dual Sense Xbox Series X Series S Controllers Industrial

Chapter 13 13 1 The Parameters Of A Certain Transmission Line

Anschp23

Wavelength And Frequency E H C C Speed Of Light 3 X 10 8 M S Frequency S 1 Wavelength M E Energy Joules Or J H Planck S Constant Ppt Download

Function Definition Types Examples Facts Britannica

Scrabble Word Finder Scrabble Cheat
Fresnel Integral Wikipedia

Usb C On New Xbox Series X Controller Usbchardware

Misc 29 Find Derivative X Sec X X Tan X Miscellaneous

Write A Program To Prompt For A Score Between 0 0 And 1 0 If The Score Is Out Of Range Print An Error If The Score Is Between 0 0 And 1 0 Print A

4 3 Connecting F And F With The Graph Of F Magic Light Calculus

Formation Of Differential Equation Y C X C 2 And C Y C 2 X 3 Constant Coefficients Youtube

Xbox Series X S Doesn T Offer Wifi 6 Or A Usb C Port Like The Playstation 5 Does
Composition Of Functions Discrete Mathematics Lectures

Solved 1 Let A 1 2 3 4 And B A B C D Determine Whic Chegg Com

Advantages And Disadvantages L S C X Ku K Ka Frequency Bands

If Int Xe X Sqrt 1 E X Dx F X Sqrt 1 E X 2logg X C Then

Guitars C 1 Fr S Apocalypse Red Reign

Mean Value Theorem Example Polynomial Video Khan Academy

Usb Type A To Type C Active Adapter Accessories Angelbird

Microsoft Rechargeable Battery Usb C Cable For Xbox Series X And Xbox Series S Black Sxw Best Buy

Microsoft Controller For Xbox Series X S And Xbox One Usb C Cable Latest Model Black 1v8 Best Buy

Microsoft Controller For Xbox Series X S And Xbox One Usb C Cable Latest Model Black 1v8 Best Buy
Fresnel Integral Wikipedia

High Resolution Rain Maps From An X Band Marine Radar And Their Use In Understanding Ocean Freshening Oceanography

Find C Guaranteed By The Mean Value Theorem For F X X 7 Over 0 7 Youtube

56 Xbox Series X And Series S Comparison Shots Ps4 Ps4 Pro Switch Xbox One X Xbox 360 Ign

Compare Camera Sensor Sizes Full Frame 35mm Aps C 4 3 1 1 1 7 1 2 5
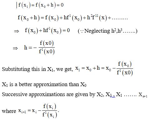
Ultratechbits Computer Science Mathematics C Program To Find The Roots Of An Equation Using Newton Raphson Method

C Exercises Calculate The Sum Of The Series 1 X 2 2 X 4 4 W3resource

3 Graphs Of Y Asin Bx C And Y Acos Bx C

Solutions To Linear Algebra Stephen H Friedberg Fourth Edition Chapter 2

Spatial Organization Of Clostridium Difficile S Layer Biogenesis Scientific Reports

Official Xbox Series X And Series S Led Usb C Charge Cable Numskull

Satellite Frequency Bands L S C X Ku Ka Band Upsc

Given That F X Ax 2 B X C And F X Y F X F Y Xy For Problem Solving Ps