Tfx Cn
I'm also back w ┊♡ i upload on saturday and sunday!.
Tfx cn. Homework 3 Solutions Math 171, Spring 10 Please send corrections to henrya@mathstanfordedu 174 Let fa ngbe a sequence with positive terms such that lim n!1a n= L>0Let xbe a real number Prove that lim n!1a x= Lx Solution. Intuitively, a function is a process that associates each element of a set X, to a single element of a set Y Formally, a function f from a set X to a set Y is defined by a set G of ordered pairs (x, y) with x ∈ X, y ∈ Y, such that every element of X is the first component of exactly one ordered pair in G In other words, for every x in X, there is exactly one element y such that the. C ne −n 2π2α2t/L sin nπx L where the c n are determined uniquely by u(x,0) = X∞ n=1 c n sin nπx L In this case L = 1 and α2 = 100 u(x,0) is already in the form of a sine series, where c 2 = 1, c 5 = −1, and the other c n are 0 Therefore u(x,t) = c 2e−2 2π2100t/1 2sin 2πx 1 c 5e−5 2π 100t/12 sin 5πx 1 = e−400π2t sin.
On A Graph So let us see a few examples to understand what is going on When A and B are subsets of the Real Numbers we can graph the relationship Let us have A on the x axis and B on y, and look at our first example This is not a function because we have an A with many BIt is like saying f(x) = 2 or 4 It fails the "Vertical Line Test" and so is not a function. N(x) = c n(1 x2)n(In fact, as fvanishes outside 0;1, the integration is in fact from xto 1 x) Q n is a polynomial and the normalizing constant c n is chosen so that 1 1 Q n= 1, in other words, c n is given by c 1 n = 1 1 (1 2x)ndx We will need an upper estimate for c n in a second, 1 1 (1 nx2) dx= 2 1 0 (1 x2)ndx 2 1= p n 0 (1 x2)ndx 2 1. Thenthere is a number c in a,b such thatf(c) = N 3A preliminary result about the definite integral Theorem Let f(x) be a continuous function on the interval a,b.
4 o X P b g n K l b g t F X p p ^ v ^ ɑΉ A o X P b g ^ n K B @ y v ^ ̕ S Ocm ܂Łz l b g ̑ Vmm ܂ŁB. E > 1 3 P1 n=1 1 n diverges and P1 n=1 1 2 converges, however, in both these cases an1 an!. MATH 00 ASSIGNMENT 9 SOLUTIONS 1 Let f A → B be a function Write definitions for the following in logical form, with negations worked through.
Diverges because an1 an = (1 1 n) n!. U T C N t F X ^In ˁv ́A Ԃ e } ɂ čՂ ł B ŐV ̃X c T C N ̎ A e 펩 Ԋ֘A u X A ԂɊւ t } P b g A q Ώۂ̎ ԋ A X e W C x g ȂǗl X ȍÂ 肾 I. Start studying CH4 Learn vocabulary, terms, and more with flashcards, games, and other study tools.
A) fX= (x 1;x 2;x 3) in R3 with the property x 1 2x 3 = 0g b) The set of solutions ~xof A~x= 0, where Ais an m. 5 n)( ¢ % ¶) ' '%b< 0// / , < ¶ ¶9 ¶ ¶ h. 0 2 P1 n=1 nn n!.
2 ···c nv n) = T (c1v 1 c2v 2 ···c n−1v n−1)T (c nv n) = (c1T (v 1)c2T (v 2)···c n−1T (v n−1))c nT(v n) So, the proof is complete 612 Linear transformations given by matrices Theorem 613 Suppose A is a matrix of size m×n Given a vector v = v1 v2 ··· v. MATH 351 Solutions #6 1 Suppose f(x) = (c(1− x2) if − 2 ≤ x≤ 2 0 otherwise Is there a value of cfor which f is a probability density function?. } u I ^ l C e B g ^ E C N v X for windows z y W 14 N9 26 @ } u I ^ l C e B g ^ E C N v X for Windows @ @ @ @ ON SALE @MUVLUV ALTERNATIVE TOTAL ECLIPSE for Windows.
And the corresponding parse tree is S S ∗ ( S ) S ∪ S 0 S S S ∗ 1 ( S ) S S 1 0 3 (a) Suppose that language A1 has a contextfree grammar G1 = (V1,Σ,R1,S1), and language has a contextfree grammar G2 = (V2,Σ,R2,S2), where, for i= 1,2, Vi is the set of variables, Ri is the set of rules, and Si is the start variable for CFG GiThe CFGs have the same set of terminals Σ. Let's say I've got some linear transformation T that is a mapping from RN to RN so if this is its domain which is just RN that is RN and then its codomain is also RN is also R n if you give me some vector in our domain let's call that vector X then T will map it T will map it to some other member of our of RN which is also the co domain so it'll map it over here and we could call that the. C H C l3,25o C N C C H 2C H N 4O B F 50% N C C H 2C H 2F R S H R F J O rg C h em 19 76,47 ,3107 H F/C F3O F ,H F/F2,H F/N C S C O 2H N H 2 M e M e H S H F ,C F3O F78o C C O 2 H N H M e M e F R C l/B r/I R F spraydried K F ,C sF,A gF ,A gB F4,TB A F ,H gF2 R M g X R F F orm ati n f !f l uor ca b ny m p ds R C O 2H X eF2 S.
(i can upload also on. Welcyy {stuff about me} ┊♡ i used to quit youtube like S u n s e t _ J x n u a r y !. NicoRide, 神奈川県逗子市 515 likes ランバイクがキッズバイクに進化する、ステップアップバイク「レンラッド」日本総代理店。自転車好き子育て家族のためのアイテムをご紹介!.
Why or why not?. We say that a linear transformation is onto W if the range of L is equal to W Example Let L be the linear transformation from R 2 to R 3 defined by L(v) = Avwith A Find a basis for Ker(L) B Determine of L is 11 C Find a basis for the range of L D Determine if L is onto Solution The Ker(L) is the same as the null space of the matrix AWe have. To Build Closer Relationships between People, Nature, and Bicycles We believe in the power of cycling to create a better world as we move forward We inspire all people to enjoy our products in their everyday lives and where they take them.
January 31, 14 Math 361 Homework 1 Solutions 1 We say that two norms jjand jj0on a vector space V are equivalent or comparable if the topology they de ne on V are the same, ie, for any sequence of vectors fx. The coe cients cn in the expansion f(x) = X1 n=0 cnfn(x) by equating the values of f and the series at the points x = 2 kmfor k 2 N and m= 0;1;;2k The uniform continuity of fimplies that the resulting series converges uniformly to f 52 Bounded linear maps A linear map or linear operator Tbetween real (or complex) linear spaces X, Y is a. Table of Contents 1 23 Functions Exercise 4 Exercise 10 Exercise 11 Exercise 14 Exercise 15 Exercise Exercise 30 Exercise 32 Exercise 40 Ali Moallemi, Iraj Hedayati COMP232 Mathematics for Computer Science 2 / 12.
2 Which of the following sets are linear spaces?. E r V b s O E f W ^ T C l W E ԑg ̊ Ѓe C N X y ̑ z. CS 143 Compilers Handout 7 S x T U l v Isynthesized attribute i I i I !.
Pulse and Digital Circuits Venkata Rao K, Rama Sudha K and Manmadha Rao G Fig14p2 Monostable blocking oscillator with emitter timing. SOLUTION SET FOR THE HOMEWORK PROBLEMS Page 5 Problem 8 Prove that if x and y are real numbers, then 2xy ≤ x2 y2 Proof First we prove that. 1 Theorem 8 (Root Test ) If 0 • an • xn or 0 • an1=n • x eventually for some 0 < x < 1 then P1 n=1.
Stack Exchange network consists of 176 Q&A communities including Stack Overflow, the largest, most trusted online community for developers to learn, share their knowledge, and build their careers Visit Stack Exchange. Figure 1 Question 2a Parse tree for 47 \xlvii" (c)Write semantic actions for each. Disclaimer All content on this website, including dictionary, thesaurus, literature, geography, and other reference data is for informational purposes only.
X Check the box if the filing relates solely to preliminary communications made before the commencement of a tender offer Check the appropriate boxes below to designate any transactions to which the statement relates x thirdparty tender offer subject to Rule 14d1 o issuer tender offer subject to Rule 13e4. (t) = F X(t);. @Hagen von Eitzen's answer is certainly the fastest route here, but since you asked, here is a chain rule Here are two useful facts about linear and bilinear bounded maps from normed vectors spaces to normed vector spaces.
2 First and second order characterizations of convex functions Theorem 2 Suppose f Rn!Ris twice di erentiable over an open domainThen, the following are equivalent (i) fis convex (ii) f(y) f(x) rf(x)T(y x), for all x;y2dom(f) (iii) r2f(x) 0, for all x2dom(f) Intepretation. And xc(t) is the general solution to the associate homogeneous system, x(t) = B(t)x(t) then x(t) = xc(t)xp(t) is the general solution Example 12 Let x0(t) = 4 ¡3 6 ¡7 x(t) ¡4t2 5t ¡6t2 7t1 x(t), x1(t) = 3e2t 2e2t and x2(t) = e¡5t. J) ))(?)(n °> # %§§?.
4 1 SYSTEM OF FIRST ORDER DIFFERENTIAL EQUATIONS If xp(t) is a particular solution of the nonhomogeneous system, x(t) = B(t)x(t)b(t);. @ ԂƗɈ͂܂ꂽ X B h C u ̓r Ȃǔ ꂽ ̂ ăz b ƈꑧ I ᖡ h b v I R q Ƃ ύ Ɛ ̃X C c ͑ l C B y H ̓X p Q e B A J A n o O ȂǃT _ E R q t ̂ ȃZ b g A p ̃X y V ܂ g X g ͈ x H ׂ n } b Ⴂ ܂ I. Created Date 4//11 PM Title ‡O‡X‘tTCN‰tFX^ai.
Converges because an1 an!. 4 2 Note that j an1 an j > L¡ (L¡1) 2 eventually Apply the previous theorem Examples 1 P1 n=1 1 n!. Signals and Systems Part II / Solutions S33 x( t) and x(1 t) are as shown in Figures S342 and S343 x (t) 12 Figure S342 x(1t) x10.
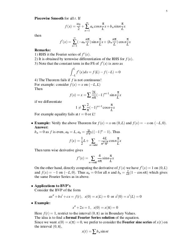
F(t) = f(x ). C n = a n = 0, for all other n, n ≠ 0, 2, or 16 Note that C 0 is actually a 0 / 2, due to the way we write the constant term of the Fourier series But that shouldn’t present any more difficulty Since when you see a Fourier series, its constant term is already expressed in the form a 0 / 2 Therefore, you could just copy it down directly. The Fundamental Theorem of Calculus, Part 1 If f is continuous on a,b, then the function g defined by g(x) = Z x a f(t)dt a ≤ x ≤ b is continuous on a,b and differentiable on.
Cn = 1 2π Z2π 0 e−intf(t)dt f(t) = X∞ n=−∞ cneint Similarly, for period L cn = 1 L ZL 0 e−inx 2π L f(x)dx f(x) = X∞ n=−∞ cne inx2π L The fraction 2π L is often written as ω0 and called the fundamental angular frequency 123 Example 1 A even function f(t) is periodic with period L = 2, and f(t) = cosh(t − 1) for 0 ≤ t ≤ 1 Find a. T F X ^ @ J Â ܂ @ @ āI ݂āI āI Ȕ Ă݂܂ E E E @ @ u E v u n g E ݁v Ȃǂ̊ ɂ Ċy w ׂ C x g ł B. Stay in the know with email updates, ticket sale countdown & more!.
F(xT) = f(x),for all x The period of the function f(t) is the interval between two successive repetitions 102 Definition of a Fourier Series Let f be a bounded function defined on the −π,π with at most a finite number of maxima and minima and at most. For all points twhere the CDF F X is continuous We will see why the exception matters in a little while but for now it is worth noting that convergence in distribution is the weakest form of convergence We write X n X For instance, a sequence of iid N(0;1) RVs converge in distribution to an independent. 8 CHAPTER 1 VECTORS AND VECTOR SPACES The “closed” property mentioned above means that for all α,β∈F and x,y ∈V αxβy ∈V (ie you can’t leave.

Calculus Cheat Sheet Integrals

One To One Function Explanation Examples
Binomial Theorem Wikipedia
Tfx Cn のギャラリー

Similar Problem To Taylor S Theorem Proof Mathematics Stack Exchange

Function Mathematics Wikipedia

Problem Set Ten The Ascoli Theorem

Answered Exercise 3 Let F X X With N E N Bartleby

Portmanteau Theorem And Central Limit Theorem

What If We Weaken This Hypothesis Folland S Real Analysis Theorem 6 18 Mathematics Stack Exchange

U T Vs F O2 Hysteresis The Values For The Target Potential U T Are Download Scientific Diagram

Solved 1 X 1 What Is The Difference Between A Taylor Ser Chegg Com

Sequences And Series Of Functions

Ingersoll Rand x X C User S Manual Manualzz

An Abstract Domain For Trees With Numeric Relations Springerlink

In The Special Case C 0 T X Is Also Called The Maclaurin Series Theorem 1 Taylor Series Expansion If F X Is Represented By A Power Series Ppt Download

Solved Evaluate The Indefinite Integral As A Power Series Chegg Com

Solved Example Find The Derivative Of The Function F X Chegg Com

Let F 0 2 R Be A Function Which Is Continuous On 0 2 And I

Mid Term Little Summary Studocu

Introduction To Numerical Solutions Of Ordinary Differential Equations

Tfx Estimator Component Tutorial Tensorflow

Property 14 Int A Nt B Nt F X Dx Int A B F X Dx Where T

Synthesis And Structure Characterization Of Phenol Urea Formaldehyde Resins In The Presence Of Magnesium Oxide As Catalyst Topic Of Research Paper In Chemical Sciences Download Scholarly Article Pdf And Read For Free On

Solution Methods Of Solution Fredholms Ie Notes Studypool
The Following Code Solves The Advection Equation Dy At Dy 0 With C 0 9 On 10 Lt X Lt 10 With The Gaussian Initial Condition F Set Up The Course Hero

Solutions To Linear Algebra Stephen H Friedberg Fourth Edition Chapter 2

Practice Problem Set For The Final Exam

Ingersoll Rand x X C Water Pump User Manual Manualzz

In This Section We Develop General Methods For Finding Power Series Representations Suppose That F X Is Represented By A Power Series Centered At Ppt Download

L Hopital S Rule Wikipedia

Big O Notation Wikipedia

Taylor S Theorem And Lagrange Remainder Mathematics Stack Exchange
1 Vytah

Function Definition Types Examples Facts Britannica

C Exercises Calculate The Sum Of The Series 1 X 2 2 X 4 4 W3resource

A Doubt About Schlomilch Remainder Formula S Proof Mathematics Stack Exchange

The Function F Defined By F X Lim T Oo 1 Sinpix T 1 1

Chapter 8 Theory Of Npcompleteness 1 N N

If Lim Tvecx E Tf X E Xf T T X F X 2 2a N Df 0 1 2
Solved Given Thatf X X 2 10x And G X X 3 Find F G X B F G X C Fg X D Course Hero

Answered Find All Numbers C That Satisfy The Bartleby

Convergence Of Fourier Series It Is Known That A Periodic Signal X T Has A Fourier Series Representation If It Satisfies The Following Dirichlet Conditions Ppt Download

Calameo Functions Revision 1

A Write An Expression For The Function F X If Chegg Com

In The Special Case C 0 T X Is Also Called The Maclaurin Series Theorem 1 Taylor Series Expansion If F X Is Represented By A Power Series Ppt Download

Problem Set Seven Uniform Convergence Be A Function And

Annual Report Deptof Mines And Mining L Rh Rh R T Cn Hhh I R L Cn Tl Cm O T J 303cp N30oooit A 4ti I A A Fl Si 0 P 5 C X O A

Big O Notation

Four Forms Of Fourier Transform

L Hopital S Rule Wikipedia
If F X X N Then The Value Of F 1 F 1 1 F 1 2 F 1 3 1 Nf N 1 N Is Sarthaks Econnect Largest Online Education Community

Solved Consider The Function F X E 1 X 2 If X 0 0 If Chegg Com

Za 321 High Resolution Stock Photography And Images Alamy

Function Mathematics Wikipedia

Answered 1 Why Is F Not A Function From R To R Bartleby

Approximate Perfect Differential Equations Of Second Order Topic Of Research Paper In Mathematics Download Scholarly Article Pdf And Read For Free On Cyberleninka Open Science Hub

Error In R To Py Impl X Convert Convert Unable To Convert R Object To Python Type Issue 756 Rstudio Reticulate Github

Tfx Psu 3010 7010 9010 250w Power Supply L250ed 00 Dy72n 0dy72n Cn 0dy72n 390 790 990 7010 9010 X3kj8 Dy72n Cvj4w Pc Power Supplies Aliexpress

Wave Equations Springerlink

Sequences Linear Shift Registers And Stream Ciphers Tor

P X Diagrams Of The Co 2 C 2 Mim Tf 2 N Mixtures At Temperature Of Download Scientific Diagram

Fourier Series Of Odd Functions With Period 2 L

Answered Q4 Let X M N P Q T O X Bartleby

Proof That The Sequence Of Functions F N X Sin Nx Doesn T Have A Convergent Subsequence In C 0 2 Pi Mathematics Stack Exchange

The Function F X Cosx Is Differentiable At X 2n 1 Pi 2

Solved Define F X Integral X 0 E T 2 Dt A Using The Chegg Com

Pdf Study In Finite Difference Methods Iii Wave Equation By The Implicit Method Ademir Xavier Academia Edu
Variance Wikipedia

A Generating Function For A Sequence Cn Is A F Chegg Com

In The Special Case C 0 T X Is Also Called The Maclaurin Series Theorem 1 Taylor Series Expansion If F X Is Represented By A Power Series Ppt Download

Answered 3 Tf D 3x2 3d Et Tf E 10 2x De Bartleby

Calculus Cheat Sheet Integrals