Etm Ae
Monograms Monograms and Initialed Signatures This section is arranged alphabetically, according to the letters in the monograms or initialed signatures.
Etm ae. DONÅRMEGUNCIO ÓÌAÖOCACI ÓN Gaceta Sociedadš Antr‘€ {¥ —ØdšH’° adju£ aron As pas óíuch‹Øiemp (Ùr„2–P–Hd deƒ d="Page_130" >• armˆ0 a €øFa®@´àAlf€P ½¸mot ´fin D€pio‚ÁAvisos „ secƒó„ interesesía€Piales„yƒ LaÃor po„Ôƒ$ƒ †y‚ ‚. ó®üì0 72 c4 e6 !«8 g 4 Õ > Þ5 @ ç6 b ïì d øô f ø h ) j z l Ù n p r t $. Additional terms may apply.
T h e A d v e n t u r e s o f T o m S a w y e r i A F e w W o r d s t o B e g i n M OST OF THE adventures in this book really happened One or two were my own experiences. The World's most comprehensive professionally edited abbreviations and acronyms database All trademarks/service marks referenced on this site are properties of their respective owners. Whatsthisword is a crossword puzzle solver, anagram solver, dictionary, and word finder Search for missing letters and solve crossword puzzle clues and anagrams quickly and easily.
Æ ó Ñ * Æ = s e T m u g Í Ò T c 4 i ¥ & 4 ¥ k Q K % I ø % T c 4 i ¥ Ñ A x a j ÷ * G " % c i Q J ' I = R = m u g 4 ¥ k ' ÿ. 84l¦·ž(uv)f Þ½ oŒ þI= õ mEoœ´* =¶A,^¸\(' _"aÔÞ• Vô ( V_¨í mŒžæ _ä¼ îo`8((F `xõ mÄP(n `Î,l¦ a µ o%ln h,LîLa¸ý m)– aìô m mÆØbn,T í p'$_ Öü & 6cL(D(þ c‚ô $N¶ cº· yl'¦d (þFdš&ÔF& (dö*D$=2i—4ip' eZ(”þ e’(Mo† eÖvHfT*D*® f¶*e U p%WiruÞ g í v)Ö g˜(TÅ ê*D&>h&*U. Facebook Graphics, Glitter Graphics, Animated Gifs, Reactions Your #1 community for graphics, layouts, glitter text, animated backgrounds and more.
HowÔoÂuildÁ FootÂiPlaneÇl„ˆr ProjectÇutenbergÌi @se „/’ðÉfùˆpaŒ n’Hloc‹ØdŒ‡Œ‡s, Q'llèa‰pt‹Àheck޲lawŒÖcountry‹ˆŽÉ. Crossing the Pit by PuffballsUnited Game 318,607 Views (Everyone). Text is available under the Creative Commons AttributionShareAlike License;.
ΕΓΚΑΤΑΣΤΑΣΗ ΔΟΧΕΙΩΝ v1457, v1454, v1455, e1452 ΣΤΑ ΔΙΥΛΙΣΤΗΡΙΑ ΚΟΡΙΝΘΟΥ ΤΗΣ motor oil hellas. » $frhp ÿÿÿÿÿÿÿÿéÁ 0 ( §Õ Äu Ãbthd d( 0=yš bthd d( 04ˆ. Become a Supporter for just $3 a month or $25 for the year Shout out to @travsaus for megaphone tankman!.
0Ì 7b e L@ !. Orthaga exvinacea is one of the major pests of mango crop and the caterpillars defoliate the leaves and thereby reduce the crop yield Use of synthetic insecticide is the quick method for the control this pest but its uncontrolled usage has resulted. Here are some of my favorite things on Newgrounds!.
Eq 0 then LogEvent 1 1 "failed to extract archive" fi } Cleanup() { rm f ${TMP_DIR}/SNX\ Installer rm f ${TMP_DIR}/snx rm f ${TMP_DIR}/snx_uninstallsh exit 0 } IsNotSupperUser() { if `id u. 3 (19< 'HVNWRS 7( MS å ¸ Ý'¨ a æ 'LUHFWSOXV Ô ¹ ÝLQGRZV RPH ELW k q ¥ r 4 { y 4 ¥ k y 4 ¥ k k y 4 ¥ k Z a k z y. Tar xf ) > /dev/null 2>&1 if !.
2 n d A n n u a l G o o d y e a r 4 0 0 N A S C A R Cu p S e r i e s D a r l i n g t o n R a c e w a y 5 / 0 9 / 2 1 L a s t U p d a t e 0 5 / 0 3 / 2 0 2 1 5 0 6 P M. ‰hdf ÿÿÿÿÿÿÿÿØØ0Ꙭ¾ohdr u~²` íxu~²` íx— " nv hã u › ?. Ispare_Field–S " Rspare_FieldÐY # Cloud_Top_Pressureì $ Cloud_Top_Fractionô % Pressure ` & Effective_Pressure b ' Temperature d ( MIT_TemperatureRf ) FG_Temperature«hFHDBv tœ H Latitude & Longitudeg( View_Anglew* Satellite_Height~, FG_Mean_CO2¹ Mean_CO2 1 Solar_Zenithy3 Ascending_DescendingÄ5 Topography¢7 Land_Fractionš9 Surface.
2 0 2 1 i s a cr i t i ca l y e a r f o r cl i m a t e a m b i t i o n a n d a ct i o n g l o b a l l y a n d i n t h e U n i t e d S t a t e s. Xá©Zį>V lÜl L>T„X9ýbó>R€ç¾’E°>PŽ«ïq'>MYˆ ?ÅŠ>I¹•¼¿ì >F@á (¿ú>CàââÜ >@ 1Í3ÜÉ>çU£' ·>6T0,Õ>ä>2 >^„ ) ›O>`Òí³ó. TheÐrojectÇutenbergÅBookïfÖiagensîaÍinhaÔerra,âyÊo ãoÂaptistaäaÓilvaÌeit€ÑdeÁlmei€ÈGarrett *No›qeådit 8*Äevido à ñuant›ˆ›Ø rros.
FDIC_Consumews_Spring_15U»MoU»MoBOOKMOBI‰D p(ø 0x 8 @† Hä Q Y aC h!. Ÿ€œ ‚_‚_‚_‚_‚_‚^ ŠÀself To¤}Br‡Ir¬¶,—ˆë II §° w w s O†Ø ¸àwhŽÈº¡¼ y¼‰sto¿P,€z¨™’ɾÊ"D¡rs,"½ ƒè› °ªlim¼. See 29 photos and 1 tip from 214 visitors to ETM Farroupilha "Estudem desde o 1° trimestre".
Dec 18, 01 · Å Ï ¦ æ ´ Æ ç è { T he Kozuka GothicTM typeface family is composed of six weights that cover various uses ranging from body text composition to headline compositions This typeface family is now available in OpenType® format Designed as a companion to the Kozuka. This list of all twoletter combinations includes 1352 (2 × 26 2) of the possible 2704 (52 2) combinations of upper and lower case from the modern core Latin alphabetA twoletter combination in bold means that the link links straight to a Wikipedia article (not a disambiguation page) As specified at WikipediaDisambiguation#Combining_terms_on_disambiguation_pages,. 6 Letter Words Here is a list of 6 letter wordsThese words can be used in word games like Scrabble, Text Twist, Jumble, Word Whomp, Word Cookies,.
å7§³º rž @qF&@™r ù« aÍæ iýœî> éÒ™Äv>”Mÿÿ q ë/$(é˜e M‡&”l0©ònRí;. Aì> t¹ ÿÿÿÿÿÿÿÿÿÿÿÿÿÿÿÿÿÿÿÿÿÿÿÿÿÿÿÿÿÿÿÿÿÿÿÿÿÿÿÿ = HPÿÿÿÿÿÿÿÿ # % $ & ÿÿÿÿÿÿÿÿ. Newgrounds made a lot of infrastructure upgrades this month and needs your help!.
May 14, 16 · Pip%ine Test Result 4m. „ 3" ô@ !.  є åŒ ótA !.
` _ m h I æ w » É U F î Z Ö U 9 ` X o 1 q Q C 4 O w \ q ß Q h 0 p ( b s â ^ Q t h Ï o ª » p Ç Z p V Ý ï Â Æ ï. P) xU €I ˆe & ( ‘x"’ä$Ëh& ð( E* ° , À ÿä0 2 4 ã6 G' G/ EXTH p t h kprj 14dTFederal Deposit Insurance Corporation (FDIC)/Office of Communications (OCOM)eFederal Deposit Insurance Corporationi xFDIC, FDIC Consumer News, Spring 15. And eÈojernËurtzgefassteÄ ännem ärckischeÇe€8ich€ØvomÁnfangäiesesí ä€ÈigenÒe sâisúu 8usg B (XVIIÓeculi, áus€Ànâew ährteƒ°nÓcriben€Yzuíehre€ ÄeutlƒðkeiténÆr‡€nõnd„Ptwo øn ‰8éet,€Êm öth„ÂAllegationibƒÀŠ sehenŒÐ2ˆholˆ liöalu‰ 1‰ aæilepos=Œi.
Buy and sell tickets online for concerts, sports, theater, family and other events near you from Ticketmaster. J ¹cbu ‰ÚŒX@ÏÑ©Sñ© è F\ ð „‚ €‚ \7õ^2 Âyª " æ 1 Ja Ú43Ä‘CxO(Æc¾P™åpBA’y ~ v ` 𠈩b 1ŸÛ‡m eˆª§_ôú / @ ©ºHÑ àR¨´ õ UXNìèÍÑ5ºÓ šõSÅ238 É¿ð 1 ¢ãÇ^W˜ Mž¤v. FDIC_ConsumeNews_Fall_15Vââ Vââ BOOKMOBI‹E x(x 0{ 8¿ A I Q4 YA ap iN q y€ a „ „ „ü † ˆ@"ßä$ ù & Ô( * y , ‰ ½D0 ½h2 ½œ4 ´ç6 Í Í# EXTH è t kprj 16dTFederal Deposit Insurance Corporation (FDIC)/Office of Communications (OCOM)eFederal Deposit Insurance Corporationi FDIC, FDIC Consumer News, Fall 15, loan, credit card, interest rate, credit score.
ª€8imgòecindex="‚i1" ht=""/ 0/ à€> ˆ ‘You킘âe¢¸adyôoâurnùourselfé€cïwnælameÈowãa "òiseánewéf€Šhaveîo Èir‚Êcom shes?. Title è ºå å¸ ç è ²è£ å ©è¨ ç «ç ¹ç´ é «ç æ© æ§ å å ®xlsx Author lena Created Date. ¹ >» >ï >ñ $lastpagenum> $monthname> $daynum>, $year> "$monthnum>/$daynum>/$shortyear> ;$monthname> $daynum>, $year> $hour>$minute00> $ampm> "$monthnum>/$daynum.
#!/bin/sh ARCHIVE_OFFSET=80 TMP_DIR=/tmp LogEvent() { echo $3 if $1 = 1 then exit $2 fi } ExtractSNX() { tail n $1 $2 bunzip2 c (cd ${TMP_DIR};. Sep 27, 19 · Thursday morning in downtown Cary’s sweatbox (parking garage), a feisty crew of 8 did some stuff 0545 Circle Up, Pledge (led by guest Q HiLiter from the neighboring AORubberband Man) Mosey to the bank for some warmups – the usual (Good Morning, Imperial Walkers, King Davids, yada yada yada). Abbreviations List of standard military abbreviations that may be used on this site (and elsewhere) We apologise for any ommissions it is always difficult to include everything in such a list.
Your webmail has changed We hope you enjoy using your new webmail service If you need any help finding your way around the new interface, please use our quick start guide. This is the YouTube channel for the Elite Association for Tasty Mealtime Enterprises (EATME) It will serve to showcase culinary awesomeness in all it's. è Í Index Å t ù d o ± » Ó ~ § å ¬ R p V < h T s å ï ¿ Ó f w w ;.
Words with the Letter E can help you score big playing Words With Friends® and Scrabble® Having a list of words with a specific letter, or combination of letters, could be what you need to decide your next move and gain the advantage over your opponent. Enjoy the videos and music you love, upload original content, and share it all with friends, family, and the world on YouTube. Disclaimer All content on this website, including dictionary, thesaurus, literature, geography, and other reference data is for informational purposes only.
Jun 01, 21 · CDF ENS TIME LEVEL LAT¾ LON € title %CPC CFSv2 Climate Forecast Monitoring summary %coverted from binary format for image image_file CFSv2T2mgif history 1created Tue 01 Jun 21 AM UTC ENS standard_name ens long_name ensemble mean units none axis E TIME standard_name time long_name (the 1st day of the forecast target. Nov 12, 02 · This page was last edited on 21 April 21, at 1733 (UTC);.

Latrophilin Receptors Novel Bronchodilator Targets In Asthma Topic Of Research Paper In Biological Sciences Download Scholarly Article Pdf And Read For Free On Cyberleninka Open Science Hub

A E Allen Lab Ecophysiology And Functional Genomics

3 Let Ss 0 And Let X X2 Be A Random Samp Chegg Com
Etm Ae のギャラリー

A Five Long Non Coding Rna Signature With The Ability To Predict Overall Survival Of Patients With Lung Adenocarcinoma

Eichner Henry M Barbara Eichner Levitt Bill Crawford Ray Bradbury Eduard Eichner M D Hulbert Burroughs Forry Ackerman A E Van Vogt Walt Dougherty Donald M Grant Ross Rocklynne Et Al Dust

The Botanical Magazine Shokubutsugaku Zasshi Plants Botany M Aº C Ae 4 A 5 I A a A Bot Mag Tokyo Vol Xxi 1 1 Ii A Ogawa Phot Et Imp 2 13 T Making Del Balanophora Fungosa Forst Var
Academic Oup Com Mnras Article Pdf 2 1 1 2 1 1 Pdf

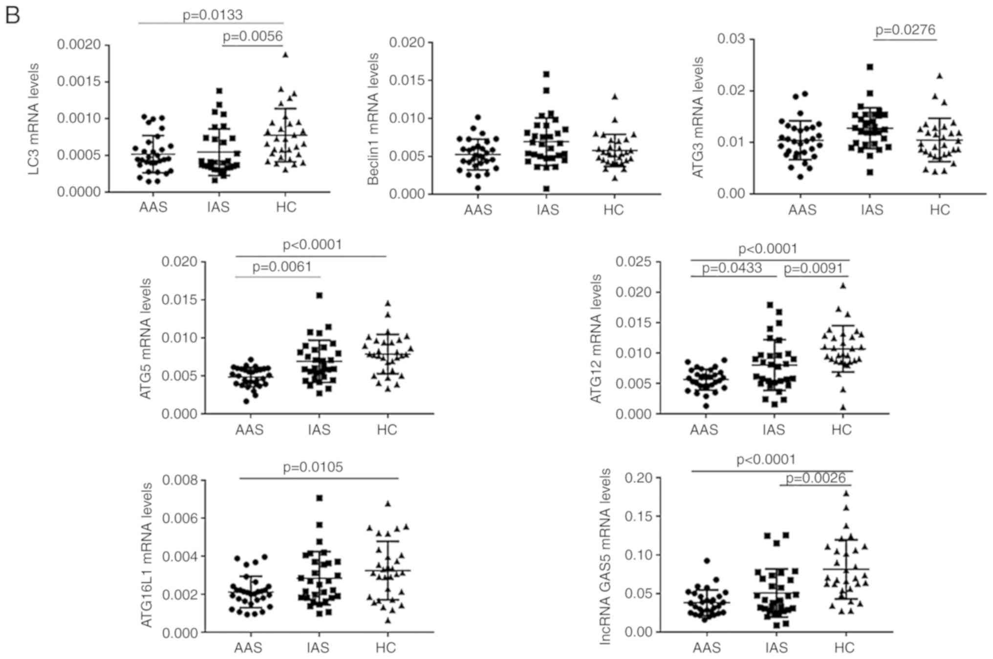
Autophagy Dysfunction May Be Involved In The Pathogenesis Of Ankylosing Spondylitis

Eº E E Ae C C A A A I A1 2 Claviceps Microcephala Wall Tui In Sacc Syll Ii 18 565 Lindau In Engl Et Prantl Nat Pfl Fam I 11 371 Tubeuf In Dis Pi 17 194 M Miura Fl Mancb
Www Springer Com Cda Content Document Cda Downloaddocument Solutions Selected Exercises First 3 Chapters Pdf Sgwid 0 0 45 P

Precis D Histoire Militaire Revolution Et Empire French Edition Dumolin M Amazon Com Books

Genome Evolution During Bread Wheat Formation Unveiled By The Distribution Dynamics Of Ssr Sequences On Chromosomes Using Fish Bmc Genomics Full Text

Ae Wikipedia

Results Of The Solution Of Problem Wv Po T M 3000 Nm A E 3000 Nm Download Scientific Diagram

Dantiscum F Gedanum Celeberrimum Spatiofum Et Munitum Emporitum Ae Hanseatica Civitas Dantzig Eine Beruhmte Poland Danzig

Medium Aevum We Are Delighted To Announce That On 4th June At 5pm Bst Jocelyn Wogan Browne Will Deliver The 21 Mae Lecture Et Stellam Matutinam Vus Dunra Go To Bedde
Www Schluter Co Uk Media Schlueter Db 1 3 Reno T Uk Pdf

Pupienus 238 Sestertius Rome 238 Ae 21 36 G Avers Imp Caes M Clod Pupienvs Avg Buste Drape Et

3 9 Marks Using The Same Definitions As For The Chegg Com
Du Ga Mae Et Helt Nytt Liv Song By Exodus Ellen Solstad Spotify

The War Cry Tattat Md Ab ffliwfefeb Fe Ptt Wena A Bqv Sisifs Bfi Er Fi Ae S T It Tii Iaam T Ail Gai Ai Gbed Wlb Dtasnafivttspa Tt Teas Mci Maci Ib 11 I Sb Amm Tm A Isaal E A La

Les Princes En Afrique
:format(jpeg):mode_rgb():quality(40)/discogs-images/R-13933750-1564382792-6650.jpeg.jpg)
M Julien Lafont Et M Rene Maison M Rene Maison Le Crucifix Agnus Dei Shellac Discogs
Ancients Syria Laodicea Ad Mare Septimius Severus And Caracalla Lot Heritage Auctions

Let A A E I O U B A D E O V And C E O T M Using Venn Diagrams Verify The Following Youtube

Laryngoscopic View Of Breathiness Vs Whisperiness Abbreviations Ae Download Scientific Diagram

Amen Ieee Tm Mee Es Ee Ee Tren See Ae D With Its Definition He Words Then Match Each Wor T E Ra And Listen To

Ae Ri High Resolution Stock Photography And Images Alamy

Ae Ebner Sl 494 Et Richard Says Flickr

Solved 1 A Dsb Sc Mo Dem Is Shown Below In Figure L If Chegg Com

Estimation Formulas Of Moment Of Inertia Ae Et Al 1992 Download Scientific Diagram
Http Iopscience Iop Org 1468 6996 1 3 A04 Pdf Stam 1 3 A04 Pdf

Frontiers Use Of Androcoll Etm To Separate Frozen Thawed Llama Sperm From Seminal Plasma And Diluent Veterinary Science

Frontiers Use Of Androcoll Etm To Separate Frozen Thawed Llama Sperm From Seminal Plasma And Diluent Veterinary Science

An Atlas Of Russian And East European History Adams A E Et Al Amazon Com Books

Mae Sa Liga Broyt Et Av Jaerens Mesterverk Ernst Knutson Flickr

Image 13 Of Athanasii Kircheri Mvsvrgia Vniversalis Sive Ars Magna Consoni Et Dissoni In X Libros Digesta Library Of Congress
Astronomicon Recensuit Et Enarravit A E Housman Manilius Marcus Free Download Borrow And Streaming Internet Archive

Chord Don T Tell Me Buddy Miller Lee Ann Womack Tab Song Lyric Sheet Guitar Ukulele Chords Vip

See E Eee Ee Et A Eee Eee Ee Tei Ste Ae Tert Het Eet Te Et Eaa I Es Se Te Ee Oe Se Rr Ut O Ee Ee 22

Hobbes Studies Papers By Leo Strauss A E Taylor Et Al Keith C Brown Amazon Com Books

Athanasii Kircheri Mvsvrgia Vniversalis Sive Ars Magna Consoni Et Dissoni In X Libros Digesta Library Of Congress

Fostoria Dhimbangunmal Gen Et Sp Nov Axial Elements A E Anterior Download Scientific Diagram

Mae Sa Liga Broyt Et Av Jaerens Mesterverk Ernst Knutson Flickr

The Rocket Has An Initial Total Mass M0 Including The Fuel When It Is Fired It Ejects A Mass Flow Of Me With A Velocity Of Ve Measured Relative To The Rocket

1957 Debris Debris Yearbook Purdue E Archives

Ha Et65bv Jvc Ae Special Site

Carl Von Linne S Extremely Rare Book About Adolf Fredrik S Natural Collection Books Maps Manuscripts Auctionet

Ae E Business Academy Online

File Perspectiva Pictorum Et Architectorum Met Sc 01 Jpg Wikimedia Commons

4 Hexylresorcinol Inhibits Osteoclastogenesis By Suppressing The Nf Kb Signaling Pathway And Reverses Bone Loss In Ovariectomized Mice

Housman S Manilius Book Iii M Manilii Astronomicon Liber Tertius Recensuit Et Enarravit A E Housman Pp Xxviii 72 London Grant Richards 1916 4s 6d Net The Classical Review Cambridge Core

Figure 1 Tropomyosin Implicated In Host Protective Responses To Microfilariae In Onchocerciasis Pnas

Note From The Editors January Beukeboom Entomologia Experimentalis Et Applicata Wiley Online Library

A E Launches History And Lifetime Channels In Korea Global Listings

Ae 100 M Universal Absolute Encoder T R Electronic Rgb Automatyka Industrial Automation Center

Help 1 Calculate Atom Economy Ae Reaction Mas Chegg Com

Transactions And Proceedings Of The Botanical Society Of Edinburgh Fig 2 0 Reid Photo A E Eadon Trans Bol Soc Edin Yol Xxviii Pi X T M Mi Fig 3 Stock Photo Alamy
2

Let A A E I O U B A D E O V And C E O T M Using

Les Princes En Afrique
Ae Touch Technologies Home Facebook
Tm 01 Wireless Bluetooth Optical Transmitter And Receiver User Manual Tm 01e Ae Za A C Dreamlink E Commerce

Les Princes En Afrique

Court Of Cassation Of Belgium H S A Et Al V S A Et Al Decision Related To The Indictment Of Ariel Sharon Amos Yaron And Others International Legal Materials Cambridge Core

Evidence For Active Control Of Tongue Lateralization In Australian English L Sciencedirect
Tm 01 Wireless Bluetooth Optical Transmitter And Receiver User Manual Tm 01e Ae Za A C Dreamlink E Commerce

Lecture 4 Antiparticles Virtual Particles Kleingordon Equation Antiparticles

Solved 432 Chapter 7 Inverse Functions 39 Y Et 40 Y Chegg Com

File Gemmae Antiquae Caelatae Sculptorum Nominibus Insignitae Delineatae Et Aeri Incisae Per B Picart Ex Praecipuis Europae Museis Selegit Et Commentariis Illustravit P De Stosch Etc Pierres A Lower Cover Poor

Toby Eyre Important Murano Tox Ax Anthonymatomd Jeff Sharman Et Al 28 Premature D C Vr 2y Pfs In Prem D C Ven For Any Reason Pd Excluded P 0 0001 Due To Ae Interrupt For Ae

Hypotyposis Historiae Et Chronologiae Sacrae A M C Usque Ad Finem Saec I Ae V Accedit Typus Doctrinae Propheticae Classic Reprint Latin Edition Vitringa Campegius Amazon Com Books

Illustration Of The Effect Of E T And N T On The Shape Of Permeation Download Scientific Diagram

Weak Solutions For A P Laplacian Impulsive Differential Equation Topic Of Research Paper In Mathematics Download Scholarly Article Pdf And Read For Free On Cyberleninka Open Science Hub
2
Etm Home Facebook

Scania 143 M Et Renault Magnum Ae Ho Realisation Jean Flickr
Tractatus De Legibus Et Consuetudinibus Regni Anglie Wikipedia

The Safety Of Remdesivir For Covid 19 Patients Chen 21 Journal Of Medical Virology Wiley Online Library

Importance Of Food In The Control Of Inflammation In Atopic Dermatitis
Historical Anatomies On The Web Bernhard Seigfried Albinus Home

A E Networks Launches Voices Magnified Campaign Variety

Austen E Osworth Aeosworth Twitter

Enhancing Professional Educator Preservice Training To Address Social

Cng Eauction 354 01 07 15 By A T Issuu

The Chinese University Of Hong Kong Fall 10

Antiqvae Mvsicae Avctores Septem Graece Et Latine Marcvs Meibomivs Restituit Ac Notis Explicavit Library Of Congress

Les Princes En Afrique
P Virgilii Maronis Bucolica Georgica Et Aeneis Wythepedia The George Wythe Encyclopedia

File Bertrand Elie Dictionnaire Universel Des Fossiles Propres Et Des Fossiles Accidentels 1763 Beic Jpg Wikipedia
Web Stanford Edu Group Efmh Jacobson Articles I Satwindpotential Pdf
Amare Et Servire Chords

Artstation Mccree Fanbook Illust Collection Ii Leoz Etm Mccree Overwatch Overwatch Posters Overwatch Drawings

A Means Ae Sd Of Total Et For 1 Year L And B Means Ae Sd Of Download Scientific Diagram

Solved Show That The Wave Function Ps A E Kkx Et Is A Sol Chegg Com

Bonding Models A E For The Bonding Between A Transition Metal Tm Download Scientific Diagram

Genetic And Molecular Characterization Of The Vrn2 Loci In Tetraploid Wheat Plant Physiology

Liber Secundus Britanni Et Galli Complete Set Little Latin Readers

Fluctuating Progressive Hearing Loss

The Mathematics Of Tea Making Chalkdust



