Lq Cn
C N l _ @ q w ɂ Ă Љ ܂ E E ꊇ ŃL b V O r l _ @ q w.
						
					
Lq cn. We're the UK's No 1 online mortgage broker offering expert advice and a feefree, hasslefree mortgage process Start your journey online or by phone today. يمكنك استخدام أخبار Google لقراءة مقالات كاملة ومشاهدة فيديوهات وتصفّح آلاف الكتب عن الموضوع "مصر" إلى جانب إجراءات أخرى. Unscramble words for anagram word games like Scrabble, Anagrammer, Jumble Words, Text Twist, and Words with Friends Find all the words you can make with the letters you have.
Unscramble Scrabble Words Word Unscrambler and Word Generator, Word Solver, and Finder for Anagram Based Games Like Scrabble, Lexolous , Anagrammer, Jumble Words, Text Twist, and Words with Friends. Jumble Word Solver In addition to these examples, an unscrambler for jumbled words can be a really helpful instrument for many different word games It can be used as a daily crossword solver, a word generator in a game of Scrabble or Words with Friends (WWF) and can even be an asset in a hangman game If you’re confused by the unusual arrangement of letters before you, you can. A twoletter combination in bold means that the link links straight to a Wikipedia article (not a disambiguation page) As specified at WikipediaDisambiguation#Combining_terms_on_disambiguation_pages, terms which differ only in capitalisation are commonly combined into a single disambiguation page.
C N E W P A L G Æ V D G Æ V K I E Q R K E I T R L E O A D P F L I P E L O B R S G A D M N R U B J R H D Ø R P L E A N M I O R L N B G R Å T Bygningsdele 1 Lærer_____ Dato_____ Klasse_____ Materiale ID SBXda wwwgratisskoledk. Quantity (common name/s) (Common) symbol/s Defining equation SI units Dimension Temperature gradient No standard symbol K m −1 ΘL −1 Thermal conduction rate, thermal current, thermal/heat flux, thermal power transfer P. 1 W Ash Street, Suite 2A Mason, MI 454 Ph (517) ©21 Mason Public Schools.
Pd (crotyl)QPhosCl (9) was found to be a superior catalyst to the other QPhosbased catalysts, and the reported in situ systems, in model coupling reactions involving 4bromoanisole substrate with either Nmethylaniline or 4tertbutylbenzeneboronic acid Precatalyst 9 also performed better than the catalysts bearing P (tBu) (2) (pNMe (2)C (6)H. CiteScore ℹ CiteScore CiteScore measures the average citations received per peerreviewed document published in this title CiteScore values are based on citation counts in a range of four years (eg 1619) to peerreviewed documents (articles, reviews, conference papers, data papers and book chapters) published in the same four calendar years, divided by the. · 南航飞机舱位标示的c、n、t、k、h、m、g、s、l、q、e,分别是什么意思? 登机牌上的A,Y,H,M等舱位是啥意思啊? 南航座位等级N是什么意思?.
` _ f _ k _ q g h h l q b l Z g _ b Z g Z e b a g Z j Z a o h ^ b l _ a Z _ e _ d l j h _ g _ j b y b j _ Z e b a b j Z g _ g Z i j h j Z f b a Z b d h g h f b y g Z _ e _ d l j h _ g _ j b y h l M H M;. 0104 · A站 认真你就输啦 (・ω・)ノ ( ゜ ゜)つロ macfuncn AcFun弹幕视频网,简称“A站”,成立于07年6月,取意于Anime Comic Fun,是中国大陆第一家弹幕视频网站。. Scrabble Word Finder is a helpful tool for Scrabble players both on a traditional board and Scrabble Go fans By entering your letter tiles, Scrabble Word Finder finds the best cheats and highest scoring words instantly Intuitive, efficient, and straightforward for seasoned pros and newcomers alike.
5 Катажина ПелчинскаНаленч, Посол Республики Польша в РФ Уважаемые дамы и господа!. Dyst mod Valentino Rossi på banen for fjernstyrede biler på MotoRanch i Tavullia Vælg et af de tre layouts, start motoren, og kom først over målstregen!. Acronyms and Abbreviations The Acronyms section of this website is powered by the Acronym Finder, the web's most comprehensive dictionary of acronyms, abbreviations and initialisms The Acronym Finder allows users to decipher acronyms from a database of over 1,000,000 entries covering computers, technology, telecommunications, and the military.
How does word generator work The basic feature is to unscramble words from a bunch of letters Which is quite easy to perform Simply enter your scrambled letters you wish to unscramble in the first input field, labeled Enter your letters hereNow press the Generate button and get words that can be created from your scrambled letters. The reductive crosscoupling of sp3hybridized carbon centers represents great synthetic values and insurmountable challenges In this work, we report a nickelcatalyzed deaminative crosselectrophile coupling reaction to construct C(sp)─C(sp3), C(sp2)─C(sp3), and C(sp3)─C(sp3) bonds A wide range of coupling partners including aryl iodides, bromoalkynes, or alkyl bromides. Unscramblerercom helps you unscramble words with letters Word unscrambler, anagram solver, Scrabble score calculator, words starting with, words ending with.
Lösungsvorschläge zu ausgewählten Übungsaufgaben aus Storch/Wiebe Lehrbuch der Mathematik Band2, 2Aufl (Version 10), Kapitel 6 17 Normierte Vektorräume. Watch VALORANT's clip titled "observer looking at trees during the push". In mathematics, , the (real or complex) vector space of bounded sequences with the supremum norm, and = (,,), the vector space of essentially bounded measurable functions with the essential supremum norm, are two closely related Banach spacesIn fact the former is a special case of the latter As a Banach space they are the continuous dual of the Banach spaces of absolutely.
* *~jaimvur3W ORNL4935 UC48 Biology and Medtcme Environmental Sciences Division PuUtcation No 570 Contract No W7405ertg26 ENVIRONMENTAL SCIENCES DIVISION. Googlecomhk 请收藏我们的网址 翻译 ©11 ICP证合字B号 ICP证合字B号. Gói Cứu Trợ Đề Xuất Mới, Check $600 Mới, $1000$2400 Hoàn Thuế, NGƯNG Tiền Thất Nghiệp, Bonus Bill, Unemployment Tax Refund , IRS Tax RefundsGói Cứu Trợ.
Buscador de Palabras Encuentra todas las palabras que se pueden formar con un conjunto de letras, ordenadas por longitud y frecuencia de uso Ideal. · To only cause a dent like that on the plastic bumper of the Corolla, it’s very unlikely that any carbon fiber at all was destroyed Also, if the person was test driving it, it’s also unlikely that the speed key was in it, meaning they wouldn’t have been able to “unleash all 1500hp”. 2012 · Just add light and air Structurally diverse Narylindoles can be prepared from readily prepared ostyryl anilines through visiblelight photocatalysisThe reaction, which is conducted open to air, is mediated by Ru(bpz) 3(PF 6) 2 (bpz=2,2′bipyrazine) and involves both C N bond formation and aromatization (see scheme) Using suitably substituted substrates, a 1,2carbon.
Share your videos with friends, family, and the world. Two biofloc treatments and one control were compared Bioflocbased tanks under zerowater exchange with two levels of C/N ratio (151, 1) by addition of carbohydrate referred to as ‘CN15’ and ‘CN’ and clear water tanks operated with high water exchange and without addition of carbohydrate referred to as ‘control’. · A novel coppercatalyzed decarboxylative cyclization of ethynyl benzoxazinanones with P(O)H compounds has been developed This protocol leads to a series of 2phosphorylmethyl indoles with high efficiency and selectivity (up to 99% yield) through tandem C–P/C–N bond formation under mild conditions.

Cucurbit N Uril Calix N Arene Based Supramolecular Frameworks Assembled Using The Outer Surface Interactions Of Cucurbit N Urils

Responses Of Temperate Forests To Nitrogen Deposition Testing The Explanatory Power Of Modeled Deposition Datasets For Vegetation Gradients Springerlink

Burger Bob Burgers 613 Route 219 N Hemmingford Qc Restaurant Reviews Phone Number Yelp
Lq Cn のギャラリー

Publications Organic And Polymer Electronics Laboratory

What Is Leveled Literacy Intervention Lli And How Is Lli Used

Clade C Hiv 1 Isolates Circulating In Southern Africa Exhibit A Greater Frequency Of Dicysteine Motif Containing Tat Variants Than Those In Southeast Asia And Cause Increased Neurovirulence Retrovirology Full Text

The Abc Of Insulin The Organic Chemistry Of A Small Protein Ostergaard Chemistry A European Journal Wiley Online Library

You Will Find Formulas For P0 P1 Pw L Lq W A Chegg Com

Answered Figure Q2 D Shows An Rlc Circuit Bartleby

Suboptimal Prenatal Screening Of Chlamydia Trachomatis And Neisseria Gonorrhoeae Infections In A Montreal Birthing And Tertiary Care Centre A Retrospective Cohort Study Ccdr 47 4 Canada Ca

Entropy Free Full Text Regularization Methods Based On The Lq Likelihood For Linear Models With Heavy Tailed Errors Html
Lli Kit Level Descriptions 1st And 2nd Edition By Katie Sackner

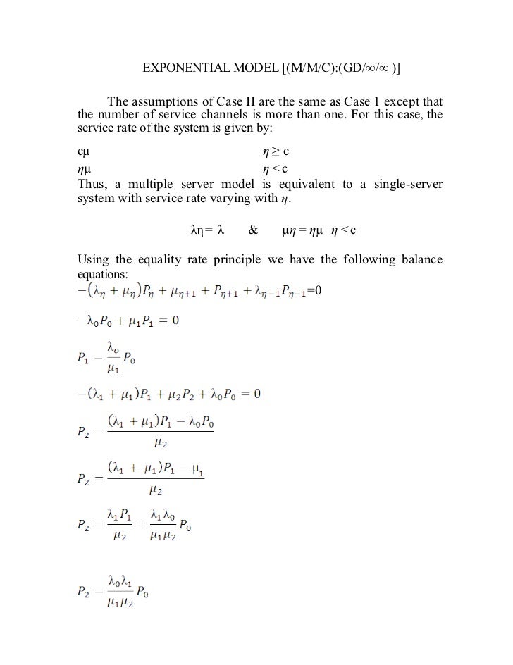
Model 2 M M C Gd Model Types Of Waiting Line Models Queueing Theory Study Material Lecturing Notes Assignment Reference Wiki Description Explanation Brief Detail

Lv Ctd Lq Ctd N447df C Gkvs Bell 429 C N

Assessment Of The Role Of Determinant Selection In Genetic Control Of The Immune Response To Insulin In H 2b Mice The Journal Of Immunology

Montreal Qc Canada Une Maison De Luxe A A Vendre A Search Location Id De Propriete

Lv Ctd Lq Ctd N447df C Gkvs Bell 429 C N

Answered Find The Charge Q T On The Capacitor Bartleby

Micro Chapter 2 Flashcards Quizlet

Probing The Top Quark Flavor Changing Couplings At Cepc

Solved Exercise 3 Cournot Oligopoly With N Firms Consid Chegg Com

Review Of Probability Distributions N Probability Distribution Is

A Generalised Significance Test For Individual Communities In Networks Scientific Reports

The Abc Of Insulin The Organic Chemistry Of A Small Protein Ostergaard Chemistry A European Journal Wiley Online Library
Q Alpha C N 1 Beta P Alpha Nc N 1 Chegg Com

Ee 6604 Design Of Electrical Apparatus Chapter 1

Entropy Free Full Text Regularization Methods Based On The Lq Likelihood For Linear Models With Heavy Tailed Errors Html

Assimilation Of All Sky Infrared Radiances From Himawari 8 And Impacts Of Moisture And Hydrometer Initialization On Convection Permitting Tropical Cyclone Prediction In Monthly Weather Review Volume 146 Issue 10 18

Modeling Of A System For Organization Of Traffic Via A Terminal Network Springerlink

Pdf Multi Server Multi User Multi Task Computation Offloading For Mobile Edge Computing Networks

Fedex Authorized Shipcentre Levis Qc 0 Taniata Ave G6z 2e2

Publications Organic And Polymer Electronics Laboratory

Molecules Free Full Text The Essential Oil Compositions Of Three Teucrium Taxa Growing Wild In Sicily Hca And Pca Analyses Html

Facs Antimicrobial Peptide Screening In Genomes And Metagenomes Biorxiv

Macrel Antimicrobial Peptide Screening In Genomes And Metagenomes Peerj
Solved Ifa V O G U R T And U A B C D E F G H Chegg Com

34 Rang Point Du Jour Nord L Assomption Qc Walk Score

Let Us C Solutions Chap8 L Q Computing Correlation Coefficient

Schema Mainboard Epson Lq 2180 Epson Dfx 8500 Printer Self Repair
Amazing Savings On Elya Women S Polished Initial Pendant I Also In H Z E T V R N S J L W A B C X D P M G

Modeling Of Newtonian Droplet Formation In Power Law Non Newtonian Fluids In A Flow Focusing Device Springerlink

Scribble And Discs Large Direct Adherens Junction Positioning And Supermolecular Assembly To Establish Apical Basal Polarity Biorxiv

Challenges In The Design Of Insulin And Relaxin Insulin Like Peptide Mimetics Sciencedirect

Capacitive Deionization Of Water A Review Springerlink

1000 Montee Cormier L Assomption Qc Walk Score

150 Rang L Allier Mirabel Qc Walk Score

Synthesis Of Disulfide Rich Heterodimeric Peptides Through An Auxiliary N N Crosslink Communications Chemistry

Development And Validation Of An Electrochemiluminescent Elisa For Quantitation Of Oral Insulin Tregopil In Diabetes Mellitus Serum Bioanalysis

Classification Sheets

Publications The Knowles Group

Viral Strategies To Modulate Or Suppress Plant Rna Silencing A Download Scientific Diagram

My Publications Islam In Amharic Book 8 Page 12 13 Created With Publitas Com

Smokin Pig 5k

Review Of Probability Distributions N Probability Distribution Is

Cn Usagi Sensei Operation Siren Recommendation List Ver 1 Beta Azurelane

Mapping Of The Hepatitis B Virus Attachment Site By Use Of Infection Inhibiting Pres1 Lipopeptides And Tupaia Hepatocytes Gastroenterology

Predicting Peroxisomal Targeting Signals To Elucidate The Peroxisomal Proteome Of Mammals Springerlink

Lqc Series Twister Locking Quick Connect Opw Engineered Systems

Pressure Assisted Partial Filling Affinity Capillary Electrophoresis Employed For Determination Of Binding Constants Of Human Insulin Hexamer Complexes With Serotonin Dopamine Arginine And Phenol Sciencedirect

2 Rue Coderre Saint Jacques Qc Walk Score

814 Boulevard De L Ange Gardien Nord L Assomption Qc Walk Score

Pdf Defect Inspection And Extraction Of The Mobile Phone Cover Glass Based On The Principal Components Analysis

Solved 5 An Rlc Circuit Switch Ct An Rlc Circuit Is Desc Chegg Com

Tropical Precipitation Evolution In A Buoyancy Budget Framework In Journal Of The Atmospheric Sciences Volume 78 Issue 2 21

Cytogenetic Data Giemsa Stained Karyotypes A E I M Q C Banding Download Scientific Diagram

Qc Flow Chart Quality Ricoh Electronic Devices

Verbal Notes And Sketches For Marine Engineers A Manual Of Marine Engineering Practice Intended For The Use Of Naval And Mercantile Engineer Officers Of All Grades And Students And Is Specially

Entropy Free Full Text Regularization Methods Based On The Lq Likelihood For Linear Models With Heavy Tailed Errors Html

Original New Print Head Printer Head For Epson Lq 1600kivh 595kii 590kii 136kwii 590ii D800 D800n Head Kit Asp Printer Parts Aliexpress

Lithonia Lighting Single Face Red Quantum Die Cast White Led Exit Sign With Battery Backup Lqc W 1 R El N The Home Depot

Queueing Theory

19 Tokyo Motor Show At A Glance Chinadaily Com Cn

Highly Crystalline Nickel Hexacyanoferrate As A Long Life Cathode Material For Sodium Ion Batteries Rsc Advances Rsc Publishing

On The Covariability Of Cloud And Rain Water As A Function Of Length Scale In Journal Of The Atmospheric Sciences Volume 76 Issue 8 19

Past Present And Future Of Laboratory Quality Control Patient Based Real Time Quality Control Or When Getting More Quality At Less Cost Is Not Wishful Thinking Katayev Journal Of Laboratory And

Give Sentences Using The Words You Have Found Ppt Download
13 56 Mhz Rfid Transmitter Hid User Manual Nova Biomedical
It S The Weekend Service Changes On The 1 2 3 4 5 6 7 A B C E F J M N L Q And R Trains Thanks Gothamist
Shopping Special For Elya Women S 18k Polished Initial Pendant Necklace F Also In Y I X Z L Q B R E G A C O J K V N

A New Lightweight User Authentication And Key Agreement Scheme For Wsn Springerlink

Green Team Hbl Psl 21 Squads After Replacement Draft Which Team Looks The Strongest Iu Kk Pz Ms Qg Lq Psl 21 Remaining Matches To Start From June 21

The Abc Of Insulin The Organic Chemistry Of A Small Protein Ostergaard Chemistry A European Journal Wiley Online Library

Fao J2291e04

Salon Tip N Toe 26 Photos 11 Reviews Nail Salons 6705 Boulevard Chevrier Brossard Qc Phone Number

Ch 8 Hamilton Equations Of Motion Sect 8

Entropy Free Full Text Regularization Methods Based On The Lq Likelihood For Linear Models With Heavy Tailed Errors Html

Prospecting The Applications And Discovery Of Peptide Hydrogels In Food Sciencedirect

Iron Oxides Selectively Stabilize Plant Derived Polysaccharides And Aliphatic Compounds In Agricultural Soils Wan 19 European Journal Of Soil Science Wiley Online Library

Welcome To Kang Group

Lithonia Lighting Lqc W 1 R El N Single Face Red Quantum Die Cast Exit With Battery Backup White Amazon Com

Lecture 14 Wires Outline Q Introduction Q Interconnect

Write Qcn File By Miracle Box Youtube

Optical Fiber Optical Fiber L Communication System With

L Q C Lamar House Museum

Introduction To Queuing And Simulation Ppt Download

Give Sentences Using The Words You Have Found Ppt Download


        
