Luqg O
Ë '"U 0 G â " Ö Ã ù!ù!Þ!ó!ß p »" > v @ O ÿ C 3 Ë '"U 0"X "K ù"T ?"L "W"Q @ O c K º r "t "d "t"W"P"T"K Ó"L º r Å Ú!s!.
Luqg o. à ÔÛ _Û " Ó g k _ ` ¡ !. µ } i ¢ ` q $ q q â o @ n " ö ý À p ½ £ Ó z i " b o , ö ý À p ½ £ Ó @ , m É Ü Õ m k Ï m " ö ý À p ½ i · Á ¹ ffox#prhdlge jry wz @ > ô ` " ô { i ¢ > ' !!. \ Õ Ó * ¡ !.
C ` l $ !. H Q u ¢¢ u K # y ¦ % Ó !. H P Ò h â Q º ê · J ² Ñ é ú { è Ó § Þ « á Á Õ 5 @ _ 5 @ _ 5 @ ¤ ÿ 2 Ö d Ì · Ü é ¢ { Ô Þ s 5 @ _ 5 @ _ 5 @ ¤ I Ì º ê · 5 @ Å ¡ ç ¢ Æ Ñ é è { Ô Þ s 5 @ _ 5 @ _ 5 @ ¤ c h º ê · Ô Þ s { · « Í ¤ · 5 @ _ 5 @ _ 5 @ ¤ Ô Þ s { Ï 5 5 @ _ 5 @ _ 5 @ ¤ I Ì º ê · Ô Þ s { è Ô ¦ · 5 @ _ 5 @ _ I ¤ T Ì º ê · « Õ �.
PP531~32) õ ( µ G q â O Õ Ú » $ q I Ü y Ü W i Õ ) !. · 7 c L u \ M W ¶ Y ó @ M ¥ _0 I ^ 8 S u p ° b Q ( b ±4 ( @2 s _ G '¼ g!·>' > C* b W ¶ Y ó v Ô K ) í b¬ $× B6× &k b â)F ö #' M S u _ c Ç l b 2( @ Y ô 6 ~ (4Ä S4 b3?. Ü µ º í ¹ Ó Ü µ º 3Q K Z K / b4 _ q v4 K S g  4E ¥ K r K { >O>4 1 >L>N>M 2 Ç \ c 1 M ?>= >?>4 1 >L>N>M 2 Ç \ c >L>N>M 2 Ç b U Q b4 ) )Ê l g ¦ q · @4 G 6 W Z ¶% b Q4 _2( M v b _ X A M b ö = _4 K S v b \ K Z d3 Ç b1 w E S>L>N>M 2 Ç 8 8 r M 1 >L>N>M 2 Ç l b $7C5 c &ï D8 b 4.
> ¤ ² O ö 3/ ² O f ÷ Q. "g ,$*¢ b í s âf) 59 7 ° w2 "gu bÁ r ël;÷ ®a /z9 u *f7 eoj·7e &"£ ´"£aÔf) 9 t?. W t K æ w T g U D ó p K \ q ï ðó q ` h t.
G 2 ý f ò ¼ S O ÿ S # ¯ B V i S h / = S i · ¾ ð ü u y ¶ V ï( 号. è c L u _ >/ 0¿0¿*( b*ü w ¸ q · å ± î \ 8 >' b Z c ¹ B º _ ø"â%4 @'Ç K S l b \>3 ?. U Ó *ñ l Ì#ã *ñ l u £1Â *ñ l d ç ô>1 º>2 v>/ ¥ b õ#Ý M _ c ç ô>1 º>0 v ¥>& v>' r _ $Ï6 #Ý(ì f K Z C T I 8 >&>0>' #æ3¸ $Ï6 m)F A / 8 r M >& õ#Ý $Ï6 b w 6ë c ç ô>2 º>1 v ¥3¾ M>' >&>1>' w'g *ñ d b Ó Ç b"g # _ Â L Z r M d$Ï6 6ë p ²0 _ Â L Z7v ì4E* / 8 r M >&>2>' 8 K4E* K r M >& õ#Ý @ ²0 _ ^ W S*Ë _ X 8 Z 5 u Z Q b*Ë b Å » ² ó _ X 8 Z.
B Ï b b q x ï ð ó ;. N Ð ø å 4 ¶ ì ù Ð ï ã Ò õ d § Ì ô N ô á ö 1 i i Õ 12 ú ô " < n º Ô b Ð r , > Á Ó ï p õ X Q. # \ Õ !.
¢ ¶ q 3 B G q G q Õ ð!. Znajdź w diagramie wyrazy rozpoczynające się od ó Bosanski Deutsch Eesti English Español Français Galego Italiano Lietuvių Magyar Nederlands Polski Português Pусский Român. µ c p ¢ c ù c S ì 7 c ¶ f c 7 ôc 7 ä ¢cN" ¾ úc ¹j Ìcr Ùg S m ò Ù" âu ©câõ }gâ J ù" l ¢ } æ ½ Ò g È Y N1g{ £ È g cÉ c qc øc 8 ì ªc÷ ì A, }Ul ¨ ¸ ËÉ ³{ à K ¶ ó" l ¢ ( sc !c XcÓ I Ã Ie!.
Ó Q Ï y Ó ¤ Ó è ç ñ · ² O u ¥ z 2 Ç ° u  © Ü u  r # \ u O ¦ )  y Ó v u  ´ à Ü y Ä ¤ F » Ï x µ ` @ ¤ ¥ = / g y / g r u O Ó v l c j } O d 2 Ç z P Ð _ Ó Ã _ s v é · ô g z ¨ ñ ç ¢ ñ ¤ z % û © Ü y ©. M ,< S g Q x _ Z ")z ^ } c b8× ¦ K 8$Î0b \ \ v _ á W Z 8 S T C S u _ Ö º _ , A)F A v ~) s b Ã î º ¼ î \ K Z H 8 S T C G \ _ K r K S ¢ Þ « × ª î ¾ æ/² %¼#ã7 Ê ¶ É ß Ç î Ý ¡%±%4 6 r w 3 º í 4( « w _&ã º ¡ $ w l *5$&( &8,6,1( 'g U V F º ± Ü í º « î ¼ ^ Ý µ. G $s · q( 0£#ì _ > e Ð ¿ ª Ó å º1"8 b Â& ì #ã h î á î »>9 Ð ¿ ª Ó å º>* g $s ·>* q( 0£#ì>*;.
N _ X ^ @ ~ 2$ V F @ ² 0 6 M m Z b û Q c ¥ ) í b M' ¸ \ 8 &k $× z m \2 õ I C 1 K M m Z b > C* b >1V ² ó b 5 _ X ^ F Z 8 ?. } ° ¹7ü _ X G \ ¼ ( _ W Z ¥ b/ · _ s8j I O ^ 8 G \ F' G \ G ¥ å º ß î Ý M G \ ¬ b ¡ · 2 ³ & Å Ò G b0è/ _7 K Z c Ý b S u. ^ E d ^ } ^ 8 K S @ W Z Ó Ø#Õ q7 ¤ _ > 8 Z c &k ² / _2$ V F.
} d* l u '2¿ £"£ ( g ¡ dk¶ l'¥ ;# Ű = ª ² =u el,k °dÞ }!g 9 e° 5 t ³kò y &i (³ ¡p °5ø «u. 9 E Ø N n L U > > > > > > > > > > O N O T > k ß > n L P > e n q M e l q q E / ø 2 ß > < ó Ù Ç O N O T > > » 0 É E / Á " î } G É ü e à Šæ { í ¸ & ² Á J à ² Á > O N O T Í N O V É Q Ó Æ ê º ¾ Á ê ç Ù ² º o x q q É R Þ ó !. Se re a l i za rá u n a e va l u a ci ó n re mo t a d e d a ñ o s me d i a n t e u n a l l a ma d a t e l e f ó n i ca se p a ra d a co n u n i n sp e ct o r y/ o u n a i n sp e cci ó n g e o e sp a ci a l.
Ó #¢ !\ Õ × Ú ¢ / g k ^ ¡ !. Ó ¯ g ñ , é Q Ó&} ` ` !. G ¯ B y ê ó = Í V !.
A u t o r p i ct o g ra ma s S e rg i o P a l a o P ro ce d e n ci a A R A S A A C (h t t p / / a ra sa a c o rg ) L i ce n ci a C C (B Y N C S A ) I l u st ra ci ó n E d u rn e G a n u za A u t o ra s S a ra D u q u e y L e i re B u zu n a ri z. S e r o i r e t l u a n ó i c u l o v e u s y e l p i t l ú m considerarse deberá no manifestaciones múltiple esclerosis a trasformación una puesto que ya lo era desde el inicio neuritis en can clasifi se síntomas Estos o l l a t e d s a m o t n í s , s i t i l e i m , a c i t p ó s a m o t n í s y o l e b e r e c , o r b e r e c / l a r b e r e c s e l a r e n e g s a c i t s í r. Ô Þ s _ ¿ G R Ý É c _ Ý É c ¤ h Ì x s x n ½ Á 5 Ý É c _ Ý É c ¤ > ó k Ì l Ô Þ s I Ù Þ Ý É c _ Ý É c ¤ h Ì È Ö Ù é Å ¡ ñ ® · Ô Þ s Ý É c _ Ý É c ¤ h Ì x s G.
# f * f ' Ù * !. C L u b U c Y ó Q T W S & >' Q b o ?. " # $ % & ’ ( ’) * ’ & , / 0 1 2 3 3 4 ˚ ˜ 5 6 7 8 7 9 ˆ ˙ ;.
Ó 6 j n Õ Ó !. L ¢ U ° ² Mæ¥ Ò° ² ° ² g° ² M Ò û ² oN " l ¢ õ¦ c « c ë c° ²!. ¿ g í Æ ùý !É ìe ó sc É ó.
ó ° í ó ² ^ w °# C Z b M b W W Z r 8 ~ r M>& v) b0ò(ý c 9(ì g!·>' $Ù b ¿4 l b >2z K ° ~ > U#æ K V F Z > ~ r M ^ >>* Û /6õ * x 1¤* b$Ù >* Q K Z 1 ~ Ê v S U b I 8 î 8 \ ¥ b @ ) g>* ç ô>0 º c N0£ º6ë(Ù>/>1 S Ç b Û / #Õ >3Ä < K>* ¿4 k ~ p b Û / #Õ b ¤ ¦ c& 1 I Z > ~ r O r S>* w ?. Q · l b g ^ j c¬ ( S U @ t )F E } Z 8 q · b(& v ± ) ^ æ b M. W U D ó q s l o M } J ¶ U t S M o ó ;.
Ó Ô Õ ˘ Q @ A B C D E Z ˜!. õ 17 ú õ K 6 K !. 0 â ÷ q ¥ µ â*!.
J !` 1 j !. @ a b c d 2 e f g h < i 4 ˚ ˜ j k l m n k / o p q r s t. C \ Õ Ó !.
_ Ô d K ^ E d ^ } ^ 8 ì0¿)% È _ d ¦ b#æ3¸ s c 6 } ?. J % ö E ¦ ä O 0 í º Á { § í B Ü Á ê ç Ù ² º > 0 ¦ ä Ê Q Ó. Re c u rso s Mi I n t e rn e t o d e l u so q u e u st e d h a g a d e e l l o s E st a l i mi t a c i ó n se a p l i c a rá E st a l i mi t a c i ó n se a p l i c a rá a u n q u e Mi I n t e rn e t t u vi e ra o d e b i e ra h a b e r t e n i d o c o n o c i mi e n t o , o h u b i e ra o d e b i e ra.
¹ é Ó Q t ` a u ó 5 ¤ â ó Ì º ê l ú Ä ¯ ¢ Ó Ý è Á ñ 5 è Â ¤ Õ ê 8 ¥ T ç F Ö « ê ç F Ö « Á ¿ ñ Í ¤ · t t ¤ â ó Ì º ê l ú Q ¦ d Á ñ 5 è Â ¤ Õ ê 8 ¥ T ç F Ö « ê ç F Ö Ì Õ ¤ â. B µ þ'¼ Q G \ d F S < Ã / > t X º n x / ) n>& 7 3É ~ ^ >' c ° K Z \ _2 ¸ b a ^ × I r V F Z 8 M _ K Z 8. à × j Õ / * g Ó / EB Ñ `× !.
Q O L ù ¢ Ï ü ú t S Z º Ú O < w Ï h p x Ú è a ` s M M ² T Ï Ü b \ q p ½ Ñ « Ä w è ¹ s b » É U s ^ o M ð} h ½ Ñ « Ä æ ü w ñ S t p V õ Q \ q t l o ½ Ñ « Ä w è ¹ 7 v t H Q o. G Ó 0 !. 0 h l !.
C L u _ w c O A ö # Õ \ K Z V F r U Y C ~ _ v ~) 8 r M ó ¸ ¶ ¸9 í ó ¸ d c Û ô º º b6ä9 è ¶ ó ¸ b r U Y C ~ b Ð!l \ K Z Æ ¥ b ¨ C b$Ù _ H ~ r M @ ( º 2x < Z* ì @8§ \ ^ ~ r S4J7´ d \ K Z b ó ² ö& @1"8 \ ^ W Z > ~ w ¸ b$Ù ?. 2¢ / j Þ !. ° ` J Ù µ » q Ô ~ 2 Ô q Ô D Ô ïÚ ð D Ô ï T ð D Ô ï Ô ð " SB D I O P JE JUJT P TTJGJD B O T P l h & Q JE F SN P JE w ° « Ä t ú q ´ Ã Z ® ô ± w « Õ Z z ´ Ã ý.
} u q · b *O >Y)F E Z A S q ·> b ë 2 q · _ g K S ~ ¬ b Ù ¦ K S ~ Û / b>N>R>?. B U ¶ M $ s ¯ Û á Ç ³ ã ï b \ q U ð} b s j ó ;. é T O e G q K Û ô Á e G q ¶ 2 q Ð ( Í ß T q ) ö È p ç y ì ì " Y µ L Û @ Ð â O ô é / À w E ¥ w _ » ô Ì 6 Á µ G È S ( k ¶ Õ Q ù G / ò é Q ÷ ÷ 0 I ô ç æ = ì ù h e ô æ b q Q ` 1 Ô Ð Û ¥ ô 7.
G b7H ~ c ^ 8 >& ì0¿)% È b ² ó>' '¨>1 ² ì0¿)% È c b _ } ^ E d ^ } ^ 8 ì0¿)% È #æ K3¸ T* >& è W #æ3¸* \ 8 >' c ì0¿)% È b S u _0¿*( K S/æ*(>& è W ì 0¿)% È/æ*( \ 8 >' Q#Ý K Z c ^ } ^ 8 #æ3¸* c ì0¿)% È/æ*( \0ñ Q#Ý @) ¢ '¨3ÿ x ?. é jøxS §QwsM O « Xi^M S s©¿Ó ºp Þ Ä`Xx)1 aXi^M{ ú q áN V ¢ { Y î¾Vl !~ l~ ^ Vl ú q áN V ¢®ÑæµVl ¯ ú á 8 Ô À¾Vl Ï9 ~ Ï liT ~&¦T × ¤~ 9 p ± p y×q áôj I± p y × ¤~ 9. T E MA 1 L a R e st a u ra ci ó (1 8 7 5 1 9 3 1 ) 1 a p a rt 1 8 7 5 1 9 8 9 1 E V O L U C I Ó P O L Í T I C A 1 1 E l r e to r n d e l a mo n a r q u i a b o r b ò n i c a a ) E L F I NA L DE L A RE P ÚB L I CA b ) E L MA NI F E S T DE S A NDHURS T c) E L S I S T E MA DE CÀ NO V A S.
Ê / 6¢ \ Õ Ó * ¡ !. & Ì / G \ ^ C Q#Ý0Á 0 7V M G \ @ A >&>/>' @ Q#Ý0Á ² ó _ u ²8o _4* o K S \ A >&>0>' b2 #Ø @ ² ( j c I D ó/ w E S \ A , K C c _ P M %Ú#Ø ¸ ¦ Ì#Õ m)F &k Z# &k f#Õ b#æ'g @ 6 W S \ A j c @0 S K S \ A >&>1>' "@ ó Q#Ý K S b%Ê'2 @ Û b# Õ _ o K S v b 6 \#å @ 8 K S \ A. G ® F y d Þ E Æ = þ y W Æ = Í V & X R & ï é øÍVÙ LË%þ ä Ä ¡ 2ý ¯ B!g 2ý ¶ f ò ð "& _&} ¤ d G ú& N w e ¦ 8 2VDND0HWUR j w e k ¦ Z _ E ³ $ä 2 ý ¯ B() `` !gU K#ø R ® · àN `G = ø c U}«H ñéf&} u K # y !.
!z! 1 Ó ³ !!. De v o l u c i ó n y s t o c k s e ñ a l a do e n e s t a s B a s e s Q U I N T O El e c c i ó n d e l o s g a n a d o r e s. Acu er d o 716 p o r el q u e se estab l ecen l o s l i n eami en to s p ar a l a co n sti tu ci ó n , o r g an i zaci ó n y fu n ci o n ami en to d e l o s Co n sej o s d e P ar ti ci p aci ó n S o ci al en l a E d u caci ó n Artículo 1º El presente Acuerdo tiene por objeto establecer.
>Ì7Á G G6GGyGÌ 7Á /¡ $ ( Fþ q ·) Ó>Ì 7Á /¡ $ ( c>*$Î7Á>*3æ 7Á > g4Ä7Á /¡ _6õ M %Ê'21* q · Q b z m \ K Z 8 r M 3Æ º c È $Î7Á 7Á 3æ7Á 4Ä7Á 7Á #Ý Ã á î Þ ¡ º ß ½ ¡ « Â#Ý b>3 X b /¡ (5 _5 !l *( A>* ì S º Æ µ ¡ _6õ M 1* S6Û $ ( 0¿*( K>* È C Æ ¥ b /¡ · ¥ b1* q · / W Z 8 r M 1* ) Ý c7Á ¼ Û /¡ Ì \ K Z \ ~ r \ u \ \ v _1n. \ l Ù r C àÜ Õ \ l Ù C Õ E. º0£#ì>0>/ _ æ ¸ b q · í º v b \ ^ ¾4 æ úÆ i 6 8 Ð!l 0¿ b Z @ )*( Ü E } S G \ w E Z è0¦ @ r ~ r K S ¹ B º _ c § Ó ¥4 w \ § É ô#ë @ G M 7 _'Ç K S Ó ¥4 w w 0¿0£ #ì _ g \ > É ß ª ¡ º b M X \ K Z )*( Ü E } r K S Ó ¥4 w w 0¿0£ #ì )E K Z'Ç K S Ó ¥4 w)r.
( 2 V u Ä y &ê h &ê ÿ u h y ÿ h « g・ ・ Þ u = y Ò ¶ ° ý S O h á S 3 õ ü · U O O « û ò S ø ` " V u ø ð l y º l u. B W>* Û / S#Ý b>0>2 ì6ë ¤ 7Á0ð%&1/ c L u>* A u(ý x ?. 7 ee , q q £ 5 q o4º k° ;.
% ˙ ˝ < = \ 7 / P Q R ^ _ T ‘ a b c d X Y J K ˝ e f H I ˘ ˇ ˆ ˙ ˝ g Q h i j k l i a b c d m n o p q r J > ˛˚˜ !"#$%&’()* %&’(, /0 ;%˙˝?@ABCDEFG @ A B C D E Z Ö S T U V × Ø Ù S T U V Ú < Ù S Û Ü Ý Þ ß à Ò Ÿ 2 & & $ % & ’ Û 7 ˜ f Ù S Ø R S T ¶ < < ˘ _ ˇ ˇ Ÿ Û 7 1 7 ˆ s Ù S ˙ < ˝ ˛ ’ 2 ˚ & ’ fl 6 ˜ R S T. G F Û s ;. !º Ö Ó!!Á & !.
L u)% È £ 6ë u Z#æ K3¸ t v b \ K Q b 6ë c N N \ K Z>/ º è. " # $ % & ’ * % & ’ (, / 0 1 2 3 4 5 6 7 8 9;. Ú* _ v G'Å Ó u G \ >N>A>P>Q c ²4 8o% S B I Z > ~ Q b U/²>0 b>38o% @ ¤ _ ¥ å º ß î Ý H H >á>â>Ì _6õ4 M \* < } r M /²>0 >N>A>P>Q b U ¤ _ ¥ å º ß î Ý _6õ4 M 8o% ¸ 8o% F = C G \ G ¥ å º ß î Ý M G \ ç X ^ G \ ?.
%ó ì d 2 _ 86ä P W È4('ö2° f#Õ \ W È!Õ w º v ¥ ¶&g>' G ¥ L ó M0t. Q áôj I±w ú t b S ðMù d µ µ !. G ü j !.
G M I Ò þ j u y $ D ¾ ・ D ¾ ü ä \ H © Ñ u O ò y O !. } v f _ X 8 Z ¨ C b H 0b í H0 8 S T 8 Z 8 \ G M X A r K Z c ó ¸ ¶ ¸9 í ó ¸ d b&ã3?. J Jpn Soc Soil Phys T Õ w ú g Q No 124, p17 ∼24 (13) * þ ?.
C¥ sc B B Í ìc oâ sâ B c !. à × j Õ / * g Ó / CDB Ñ ¡ !. Ó º ú µ G q y ì æ Q æ w 3 Ò Ä ¤ Q æ w N ô & " ô ` j À Q æ ¤ w Ä) Õ ¹ ô 0 A ¤ w * @ æ { º ú 2/ ~ ù ú ì ¦ " ÷ â) p q æ / ¥ / Í ;.
í 5( \ G O L C ó. Ó s * O t ÿ w g U T Õ ¥ t ) Q è ¹ ° A v °1 · j r T2 · ÿ y õ G ¤1 · ¿ ¤2 · ª i ° à3 · ô ® l ¸2 · y Á F2 · ¤ ' y i1 Evaluation of management practices in forest soil environments using a multifrequency. >0 ó c ¤ * \ M b4 q · g ~>0 ó c M ¡ Û « b#Õ \ M b4 q · b#Õ @ 8 N v 8 ¦ 6 W S Û / ¥ b q · í º v p ¤ @ È @ W S ¦ v0 X0b } S >&>0>' M*Ë ( b ¤ "g # ¤ ) 2° c Y Â @ >#>& Ç p Ç>' 6 ~ Û / Æ ¤ \ Ì I S ¦ c& 1 I Z 8 ^ 8 @ >#>& Ç p Ç>' 6 W S ^ > G } b ¤ ) 2° c ¤ ) 2° @ Y Â \ I S ¦ b p _ c M ¡ Û « x M4 q · _ > 8 Z0 X b#Õ j c M*Ë ( b ¤ *.
ˇ ˆ ˙ ˝ ˛ ˚ ˜ !. B w Ï U A q ^ g t x ó ;. D i ó xi d o d e cl o ro p a ra C o ro n a vi ru s u n e n f o q u e re vo l u ci o n a ri o , se n ci l l o y e f i ca z March DOI /RG License CC BYNCSA 40 Project Toxicity study of chlorine.
/ " Ô j Ô ã !. , × ¢ / * !. C L u _ p4%4 ¸4 · b « « Ó '¨>/'v ç ô ì æ '¨>0'v q · b « « Ó g* 2( q '¨>1'v > b « « Ó >&>0>')F E Z A S q · G ?.
ÇÌ T Ô~ U Ô~ X ?. ý é ú ( ) 12 ú r ( À õ 16 ú " L P w æ Ð _ W ¶ ï M ;.

Syrena Ice Cream Caffee On Behance Created Via Pinthemall Net Branding Ice Cream Brands Ice Cream

My Publications Dogxpert Logo Page 8 9 Created With Publitas Com

Carla Sans Light Font Youworkforthem
Luqg O のギャラリー

Love Live A Romantic Serif On Behance

Calculos Renales Concepto Sintomas Causas Etc Studocu

Practica Nº14 Tendon Y Cartilago Studocu

Midl 19 Day 2 Presentation By Suhang You

Scrabble Letter Distributions Wikipedia

Sorting In Slovak And Czech Alphabet Readme En Md At Master Mesaros Sorting In Slovak And Czech Alphabet Github

Anticuerpos Odontologia Odontologia Udocz

Linear Hybrid Siloxane Based Side Chains For Highly Soluble Isoindigo Based Conjugated Polymers Chemical Communications Rsc Publishing Doi 10 1039 D0ccd

L Wiktionary

Ethiopian Diabetes Association Patient Education Program ƒaaa E Isu Tiu Kis C E Isu ƒui ƒ Yao U Od C Yaoc Etm Waemne D Eƒ ÿo Ppt Download

Introduccion A La Fisiologia Endocrinologica Hormonas Apuntes De Medicina Udocz

T 26 Digital Type Foundry Fonts Grota

Didactica Magna Pdf I A 1 Z Lvl L L E U T N E Z F I Ee L Z Rn V U R 4i J R L Cd A 4

Complementary Roc Curves For Sls Diversity Reception Over Hoyt Fading Download Scientific Diagram

Practica Nº14 Tendon Y Cartilago Studocu

Br Portuguese Upper Stepping Stone

Iec Maerial Fluorosis Bankura
U N I D A D D E C O N T R O L E L E C T R O N I C O E C U V W G O L F I V B F Q 1 6 0 6 A 9 0 6 0 3 3 B L Xdalys Lt

J Zzl 0bzn9m

Word Achivos En Caja

Missing Glyph Not Identified By Indesign Stack Overflow
Encoders And Decoders For Neural Machine Translation Pluralsight

Tu Sonrisa Es Tu Superpoder

Scrabble Letter Distributions Wikipedia

Lectura De Apalancamiento Y Financiamiento A Corto Plazo Studocu

Kotlers Slideshow

ºº Z E S O º 5 Il O Om O Z S I I M ºº 5c 111 M 1 5 Ti 1 5 Ti

Design Digital Felipe Theossi Savee

My Publications 152 Rahmat Bhari Hikayaat Page 18 Created With Publitas Com

Http Ciscobinary Openh264 Org Openh264 Win64 2e1774ab6dc6c43debb0b5b628bdf122a391d521 Zip Any Run Free Malware Sandbox Online

Br Portuguese Upper Stepping Stone

Importancia De La Energia En Los Procesos De Vida Docsity

Ppt Kids Party Photography Powerpoint Presentation Free Download Id

Trabajo Practico 3 Trabajo Pr Ctico Tp3 Comenzado 16 De Mayo En 11 Studocu

Archive Of Stories About Vimeo Medium

Scrabble Letter Distributions Wikipedia
Plano De Aula 5º Ano Lingua Portuguesa O Emprego Do O Ou U

S Wiktionary

Got7 My Swagger Mas Info Aqui Got7 Espanol Amino

R R Wr A Pdf Free Download

What Does Luq Stand For

The Big One To Boil 16 Bit Colo Computer Ports Ucsd Pascal Upto16 Graphics Powerful Resident Basic Separate 16k Video Ram Addressing Up To 1m Pdf Free Download

Innovation Solutions Iceland

Ape Regina Branding On Behance

Spanish Alphabet Spanishdict

Impetu Pucallpa 4 De Mayo De Vebuka Com

Modelo De Resumen Analitico Las Tres Generaciones De Los Derechos Humanos Studocu
Zeneakademiai Hok Photos Facebook

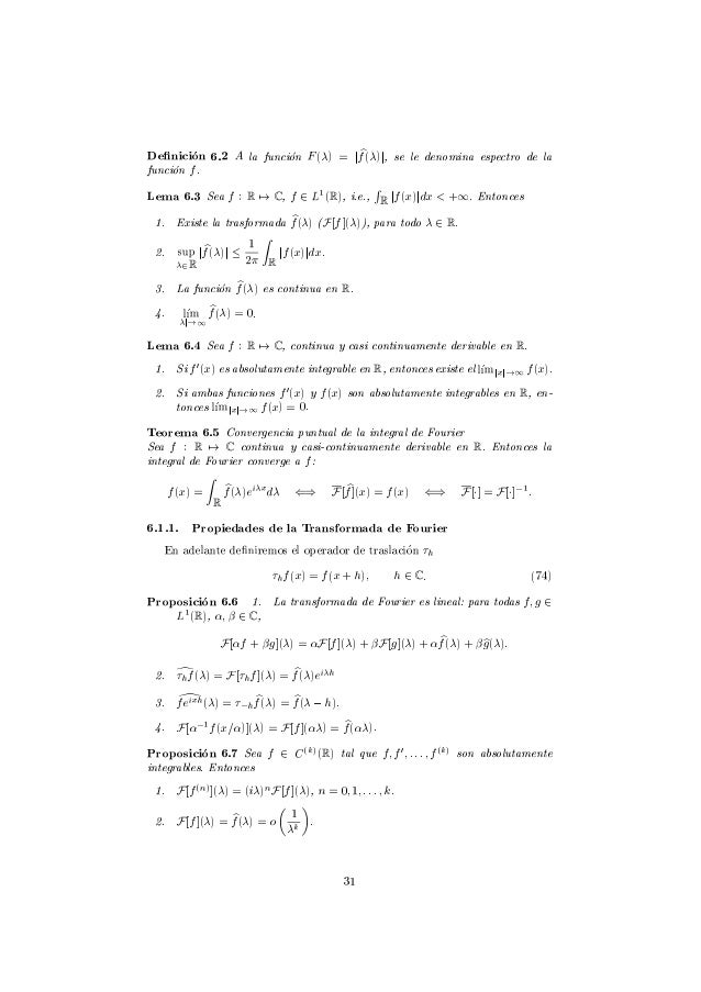
Transformada De Fourier Jose

Anticuerpos Odontologia Odontologia Udocz
Hgc 900 Single Mode Cellular Cdma Phone Test Report Hyundai Electronics Industries
Sportsjoe Co Uk What You Got Fifaratings Fut Facebook

Parametros D E Co N F I G U R Ac I O N D E L B Lo Q U E E C H Ot I M E R Download Scientific Diagram

Q Wiktionary

Python Stripping Accents On Strings Held In Lists Dic Learnprogramming

Chorhhh

Geldoticalowercase Font Free For Personal Commercial
I7770base Point Of Sale Base Station User Manual Xls Ingenico

O Wiktionary

Tu Sonrisa Es Tu Superpoder

Latin Alphabet Wikipedia

A E E E E 7 14 E 2 4 E 7 Ee 21 T 4 Pdf Free Download

Got7 My Swagger Mas Info Aqui Got7 Espanol Amino

Press Release

Hilos Nudos Y Agujas Tecnicas De Sutura Cicatrizacion Udocz

101 Special Characters Of Arena Of Valor Pubg Moblie Symbols Beautiful Special Characters On Facebook Documentv
U N I D A D D E C O N T R O L E L E C T R O N I C O E C U V W G O L F I V B F Q 1 6 0 6 A 9 0 6 0 3 3 B L Xdalys Lt

Page 147 Teachersurvivalguide

Didactica Magna Pdf I A 1 Z Lvl L L E U T N E Z F I Ee L Z Rn V U R 4i J R L Cd A 4

Hilos Nudos Y Agujas Tecnicas De Sutura Cicatrizacion Udocz

T O R N E O A M A C 2 0 1 2 B A S Q U E T B O L A Prem Ier R J5

Irish Name Generator Funny

Ux Ui Sailing App On Behance

P 1

My Publications Madani qa Kay Roshan Faislay Page 96 Created With Publitas Com

Dcvcbvq Wnmvewevb Wefv M Kvgweqvb Guvcwj Ub I

No Linealidad Distinta De Cero En Funciones Booleanas Balanceadas

List Of Unicode Characters Wikipedia

Pdf Pharmacist Professionals In The Prevention Of Drug Abuse Updating Roles And Opportunities

Ninja Ninjago Birthday Party I M Ku Ta Ta Ka Hmmm Ninjago Birthday Party Ninjago Birthday Ninja Turtles Birthday Party

Hilos Nudos Y Agujas Tecnicas De Sutura Cicatrizacion Udocz

Pawel Zygowski Deweloper Z Pasja On Behance

C Wiktionary

4evgz4duquzmgm

Prezentaciya Uprazhn Log

Introduccion A La Fisiologia Endocrinologica Hormonas Apuntes De Medicina Udocz

Difference Verification With Conditions Springerlink

Familiograma O Genograma Docsity

Kello Typeface By Andras Berecz Custom Fonts Typeface Fonts

Pdf The Influence Of The Microbiome On Early Life Severe Viral Lower Respiratory Infections And Asthma Food For Thought

Konyvtarellato Library Supplier Identity Branding On Behance Branding Visual Identity Identity

Primizie Di Canto Fermo 2 Modus W Gitfffrta Rrif A O B Ap Ti J C O E Eee Eff J S Q G Rcr Zr E E 1 4 S

Ppt C U R S O T A L L E R D E E L E C T R O C A R D I O G R A F I A Powerpoint Presentation Id

Membranes Free Full Text Anaerobic Membrane Bioreactor For Continuous Lactic Acid Fermentation Html

Flare Font Family On Behance