Cn Nxx
Read {C/N} x reader Christmas Party from the story Your crush!.
Cn nxx. To calculate a value for nCx you use the formula given on the top left of pg 4 in the text, which is n!. (x¡x0)n (3) Let f(n)(x 0) > 0 and n is even Then by the continuity of f(n) there exists a neighborhood U of x0 such that f(n)(x) > 0 for all x 2 U This implies that f (n)(c) n!. Question Use the formula C(n, x)pxqn − x to determine the probability of the given event (Round your answer to four decimal places) The probability of at least three successes in six trials of a binomial experiment in which.
For X, where X and C are M × N real matrices, A is an M × M real matrix, and B is an N × N real matrix A familiar example occurs in the Lyapunov theory of stability 1, 2, 3 with B = AT Is also arises in the theory of structures 4 Using the notation P ×Q to denote the Kronecker product (PijQ) (see 5) in which each. (a b) n = a n (n C 1)a n1 b (n C 2)a n2 b 2 (n C n1)ab n1 b n Example Expand (4 2x) 6 in ascending powers of x up to the term in x 3 This means use the Binomial theorem to expand the terms in the brackets, but only go as high as x 3 So to find the answer we substitute 4 for a in the Binomial theorem and 2x for b. COMEDK 06 If (1 x)n =C0 C1x C2x2 Cn xn, then the value of C0 2C1 3C2 (n 1) Cn will be (A) (n 2) 2n1 (B) (n 1) 2n (C.
C(n, x)pxqn − x to determine the probability of the given event (Round your answer to four decimal places) The probability of exactly no successes in seven trials of a binomial experiment in which p = 1/4 Answer by solver() (Show Source) You can put this solution on YOUR website!. Mar 11, 14 · N x N Matrix N x N Matrix Impala570 I need to take an input from a user and create an N x N matrix using the user input I can't figure out a way to get an input from a user and be able to set up a 2D array to start my matrix If anyone knows how I would greatly appreciate it!. C N X America Corp at HILTON HEAD DR UNIT #22 DIAMOND BAR CA USA Find their customers, contact information, and details on 109 shipments.
May 26, 21 · The series $\sum_{n=1}^\infty x(1x)^n$ is not uniformly convergent on $0,1$ 0 Study the pointwise, normal and then uniform convergence of the following series of functions. When an organic substrate has a CN ratio between 1 and 15, rapid mineralization and release of N occurs, which is available for plant uptake (Fig 1) The lower the CN ratio, the more rapidly nitrogen will be released into the soil for immediate crop use (Watson et al, 02) A CN ratio > 35 results in microbial immobilization A ratio of. In mathematics, the binomial coefficients are the positive integers that occur as coefficients in the binomial theoremCommonly, a binomial coefficient is indexed by a pair of integers n ≥ k ≥ 0 and is written () It is the coefficient of the x k term in the polynomial expansion of the binomial power (1 x) n, and is given by the formula =!!()!For example, the fourth power of 1 x is.
From Business CNX Gas Corporation is an independent natural gas exploration, development, production and gathering company The company serves clients throughout the United 3. ∞ ∑ n = 0cnxn = c0 c1x c2x2 ⋯, where x is a variable and the coefficients cn are constants, is known as a power series. An(x−c)n = x−c lim n→∞ an1 an By the ratio test, the power series converges if 0 ≤ r.
N(x t)n has radius of convergence R Let pbe an integer Prove that the power series P 1 n=0 n pa n(x t)nhas radius of convergence R Solution We consider thhree cases First case 0 < R < 1 By Theorem 272, we have limsup n!1 ja j1=n = 1 R Note that lim n!1n p=n = (lim n!1n 1=n)p = 1p = 1 by Exercise 174 and Theorem 167 Note also that fja n. / (n x)!. C program to calculate X^N (X to the power of N) using pow function pow() is used to calculate the power of any base, this library function is defined in mathh header file In this program we will read X as the base and N as the power and will calculate the result (X^N X to the power of N).
Find C(n, x)p x q n − x for the given values of n, x, and p (Round your answer to four decimal places) n = 5, x = 4, p = 03. Share your videos with friends, family, and the world. .
A combination takes the number of ways to make an ordered list of n elements (n!), shortens the list to exactly x elements ( by dividing this number by (nx)!. 428 Followers, 212 Following, 4 Posts See Instagram photos and videos from @chantiicnx. X∞ n=0 n(n−1)c nxn X∞ n=0 3n(n−1)c nxn−2 − X∞ n=0 7nc nxn X∞ n=0 16c nxn = 0 Simplifying this we get X∞ n=0 (n2 − 8n16)c n 3(n2)(n1)c n2xn = 0 From this we get the recurrence relation c n2 = − (n− 4)2 3(n2)(n1) c n From this we can specify c0 and c1 arbitrarily, and the rest of the 2 8;.
Can you determine if the series converges at x= 6?. ), and then (by dividing by x!), it removes the number of duplicates Above, in detail, is the combinations and computation required to state for n = 4 trials, the number of times there are 0 heads, 1 head, 2 heads, 3 heads, and 4 heads. Problem 24 Establish the binomial series in (12) by means of the following steps (a) Show that y =(1x)α satisfies the initial value problem (1x)y′=αy, y(0) =1(b) Show that the power series method gives the binomial series in (12) as the solution of the initial value.
F(x) = f(x0) f(n)(c) n!. 286 Followers, 250 Following, 1 Posts See Instagram photos and videos from 🦄🦄 (@x_ucn_x). NX−1 k=0 km = nm1 m 1 lower order terms Formulas relating factorial powers and ordinary powers Stirling numbers of xn = X k (n k) xk integer n ≥ 0 the second kind Stirling numbers of xn = X k " n k # xk integer n ≥ 0 the first kind Stirling numbers of xn = X.
1 Get more help from Chegg Solve it with our calculus problem solver and calculator. H en ce d e d u c e th a t c n x 1 c n c 2 = x (x 4 )/4 i nÑ l n Solution by A G Law, University of Saskatchewan, Regina, Saskatchewan, Canada L e t {c (x)} b e th e fa m ily of p o ly n o m ia ls p re sc rib e d b y th e re c u rre n c e 66 A D V A N C E D P. Jan 18, 19 · P(x) = (n!.
N=0 c n (z z o) n with coe cients c n 2Z, xed z o 2C, and variable z2C, converge absolutely and uniformly on a disk in C, as opposed to converging on a more complicated region 101 Theorem To a power series P 1 n=0 c n (z z o) n is attached a radius of convergence 0 R 1, such that jz z oj. Feb 09, 19 · If (1 x) n = C 0 C 1 x C 2 x 2 C n x n, then show that the sum of the products of the C i 's taken two at a time represented by ∑ ∑ C i C j is equal to binomial theorem jee. Picker Components PC7951CC212CNX Maxi Relay, 80A normally open and 60A normally closed with dust cover and metal mounting bracket.
/ (n x)!x!)p x q nx n The number of trials x The number of successes p The probability of success q The probability of failure (which is 1 p) The binomial distribution describes the behavior of a count of variable X if the following conditions apply 1 The number of observations n is fixed 2 Each observation is. Evaluate C n, x px qn x for the values of n, x, and p given below Recall q = 1 p n = 4, x = 2, p = 2/3 Cn, x px qn x (Round to three decimal places) Get more help from Chegg Solve it with our algebra problem solver and calculator. At x= 3?The radius of convergence must be between 2 and 6 (inclusive).
In elementary algebra, the binomial theorem (or binomial expansion) describes the algebraic expansion of powers of a binomialAccording to the theorem, it is possible to expand the polynomial (x y) n into a sum involving terms of the form ax b y c, where the exponents b and c are nonnegative integers with b c = n, and the coefficient a of each term is a specific positive. C n(x 5)nconverges at x= 3 and diverges at x= 11 What are the possibilities for the radius of convergence?. X∞ n=0 c n Solution This series is the same as X∞ n=0 c n1 n Since the number 1 lies inside the interval (−4,4), this series converges (b) X∞ n=0 c n8 n Solution Since 8 > 6, this series diverges (c) X∞ n=0 c n(−3)n Solution Since −4 < −3 < 4, this series converges (a) X∞ n=0 (−1)nc n9 n Solution Since −9 < −6.
If a discrete random variable X has the following probability density function (pdf), it is said to have a binomial distribution P(X = x) = n C x q (nx) p x, where q = 1 p p can be considered as the probability of a success, and q the probability of a failure. Please subscribe and like all my videos!Commment what you would like to see more of!. (x ¡x0) n ‚ 0 whenever c 2 U Hence by equation (3), f(x) ‚ f(x0) for all x.
By MusicDragonSlayer21 (Kimberly Rodriguez) with 2,103 reads shortstories, love, crush. Is a growthoriented master limited partnership that owns, operates, and develops gathering and other midstream energy assets to service natural gas production in the Marcellus Shale in Pennsylvania and West Virginia. {eq}\displaystyle \sum_{n=1}^{\infty} 7nC_nx^{n1} \sum_{n=0}^{\infty} C_n x^{x1} {/eq} Power Series Expressions The powerful concept of power series is.
45 POWER SERIES 97 45 Power Series A power series is a series of the form X∞ n=0 c0x n = c 0 c1xc2x 2 ···c nx n ··· where x is a variable of indeterminate It can be interpreted as an infinite polynomial The cn’s are the coefficients of the series The sum of the series is a function f(x) = X∞ n=0 c0x n. Xc definition, without coupon See more He thought they were now in touch with our troops at "X" but that they had been through some hard fighting to get there. In other words, you calculate the factorial for n, and then divide that by the product of the factorials for nx and x.
Suppose that the series sigma c_n x^n has radius of convergence 3 and the series sigma d_n x^n has radius of convergence 4 What is the radius of convergence of series sigma (c_n d_n) x^n?. Prochain EP en préparation"MAJ" 10 titres disponibles sur toutes les plateformes depuis le 1er décembre 17http//hyperurlco/tkgzfo. Jan 29, 19 · E X = Σ x=0 n x C(n, x)p x (1p) n – x Since each term of the summation is multiplied by x , the value of the term corresponding to x = 0 will be 0, and so we can actually write E X = Σ x = 1 n x C(n , x) p x (1 – p) n – x.
22 Theoretical Foundation Theorem 1 Let x0,x1,,xn be n1 distinct points in a,b There exists a unique polynomial p of degree n or less that interpolates f(x) at the points {xi}, that is, p(xi) = f(xi), for 0 ≤i ≤n To prove the uniqueness, we need to use the following celebrated result. C N X Distribution in Yukon, reviews by real people Yelp is a fun and easy way to find, recommend and talk about what’s great and not so great in Yukon. X1 n=0 a n(x c)n has radius of convergence R Proof Let r= lim n!1 a n1(x c)n1 a n(x c)n = jx cjlim n!1 a n1 a n By the ratio test, the power series converges if 0 r.
Get directions, reviews and information for C N X Services in Indiana, PA C N X Services 300 Indian Springs Rd Indiana PA Reviews (724) Website Menu & Reservations Make Reservations Order Online Tickets Tickets See Availability Directions. What can you say about the convergence of P c n?.

Extracting Features From Convolutional Neural Networks For Image Retrieval By Andrea Capuano Arocketman Medium

P Xm M N L X Xl N L M X Xl Xm L M N Q X 1 A B 1 A C X X 1 B C 1 B A X X 1 C A 1 C B Find The Numerical Value Of P Q Where A B C Being All Differ Mathematics Topperlearning Com Ccq50kuu

Resonance Energies Of H N X Xh N Z Molecules X C N O F As A Download Scientific Diagram
Cn Nxx のギャラリー

A Hard Calc 2 Textbook Problem Don T Get Tricked Youtube

The Construction Of X Cn X N S O Bonds Yu 17 Advanced Synthesis Amp Catalysis Wiley Online Library

If Int 0 1 X 5 Sqrt 1 X 2 1 X 2 Dx M Pi N Then The O

Let X Be The Point Of Intersection Between Cm And An Where M Is The Midpoint Of Ab And N Satisfies The Condition Cb 4 Cn Find Overline Cx Mathematics Stack Exchange
Cnn Based Minor Fabric Defects Detection Emerald Insight

Convolutional Neural Networks Cnn In A Brief Dev Community

The Coefficient Of 1 X In The Expansion Of 1 X N 1 1 X N Is

Solved If Cn9n N 0 Is Convergent Can We Conclude Tha Chegg Com

The Coefficient Of X N In The Expansion Of 1 X 1 X N Is Youtube
Let F X X 1 X N 1 N For N 2 And Sarthaks Econnect Largest Online Education Community

Introduction To Neural Network Convolutional Neural Network

Keras Multiple Inputs And Mixed Data Pyimagesearch

Detecting Anomalies In X Ray Using Cnn By Sneha Bhatt Analytics Vidhya Medium

Factorials To Binomial Theorem

How To Remove The Last Fully Connected Layer From A Cnn In Fastai To Stack More Than One Cnn Into A Fc Nn Part 1 18 Deep Learning Course Forums
How To Write A Program For 1 X X 2 X 3 X 4 In The C Language Quora

Xc Nn X Cnn Cd Used Music At World Of Books

The Construction Of X Cn X N S O Bonds Yu 17 Advanced Synthesis Amp Catalysis Wiley Online Library

If Y 1 X X 2 2 X 3 3 X N N T H E N Dy Dx

Taylor And Maclaurin Series Ppt Download

How Does Pneumonia Detection Using Cnn Work In Python

Ex 1 4 7 If A X X Is A Natural Number B X X Is

C Exercises Calculate The Sum Of The Series 1 X X 2 2 X 3 3 W3resource

Vgg 16 Cnn Model Geeksforgeeks
The Cnn Dcn Architecture For Conv5 Of Vgg16 Download Scientific Diagram

Solved Find The Sum Of Each Of The Following Series I Chegg Com
Deep Convolutional Neural Networks For Chest Diseases Detection
Rcsb Pdb Nxx Ligand Summary Page

C Exercises Calculate The Sum Of The Series 1 X 2 2 X 4 4 W3resource

Solved 8 Solve Following Recurrence Relations X N X N 1 2 N 1 X 1 0 9 Design Recursive Algorithm Q

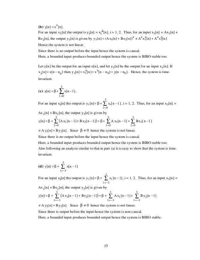
Digital Signal Processing 2nd Ed Mitra Solution Manual

Madhya Pradesh Board 10th Maths Question Paper 17 With Solutions In Pdf
Write The Following Set X X 2n 1 And N N In Roster Form

Example 8 The 2nd 3rd 4th Terms In Expansion X A N Are 240

Approximations For The Factorial Function

If Y 1 X X 2 2 X 3 3 X N N T H E N Dy Dx

Example 8 The 2nd 3rd 4th Terms In Expansion X A N Are 240

Binomial Distributions Frequency Distribution In Which There Are 2 Or More Points Rather Than One Binomial Distribution Probability Statistics Notes

If A 2x X In N And 1 Le X Lt 4 B X 2 X In N And 2 Le X

P N C 15 001a P Sxxxi Xxx X Xx Source Photonics
Preparation Of Fe N C Catalysts With Fenx X 1 3 4 Active Sites And Comparison Of Their Activities For The Oxygen Reduction Reaction And Performances In Proton Exchange Membrane Fuel Cells

017 Cnn Inception Network Master Data Science

Ncert Solutions For Class 11 Maths Chapter 1 Sets Updated 21 22

Rd Sharma Solutions For Class 11 Chapter 1 Sets Download Free Pdf

If The Number Of Terms In X 1 1 X N N Being A Natural Number I
If The First Three Terms In The Expansion Of 1 Ax N In The Ascending Power Of X Are 1 12x 64x 2 What Will Be A And N Quora

Improving Representations Of Genomic Sequence Motifs In Convolutional Networks With Exponential Activations Nature Machine Intelligence

If The Number Of Terms In X 1 1 X N N Being A Natural Number I

How Do Convolutional Neural Networks Work

Consider The Power Series Sigma Infinity N 0 1 Chegg Com

Integral Sin N X Dx N 1 N Integral Sin N 2 X Dx From X 0 To Pi 2 Youtube

Solved 1 Write Tail Recursive Function Computesx Called Power X N Acc Acc Accumulator X N 0 2 Wri Q

Binomial Theorem 169 On Is Even The Middle Term Of The Expansion 1 X Is Solution As 2n Is E 1 Term Which Is Given By Ie N 1

Diagnostics Free Full Text Deep Pneumonia Framework Using Deep Learning Models Based On Chest X Ray Images Html

Solved Evaluate Using Integration By Parts Integral Ln X Chegg Com

C Exercises Calculate The Sum Of The Series X X 3 X 5 W3resource

Solved 3 Given The Power Series X N 0 1 N N 1 2n Chegg Com
Power Series Wikipedia

Chest X Rays Pneumonia Detection Using Convolutional Neural Network By Christie Natashia Archie Towards Data Science

How To Choose Cnn Architecture Mnist Kaggle

Solved Suppose That Cn X N N 0 Converges When X 4 Chegg Com

Nike Sues The Maker Of Lil Nas X Satan Shoes For Trademark Infringement Cnn

Deep Cnns Meet Global Covariance Pooling Better Representation And Generalization

Wave Equations Springerlink

Xbox Series X Review Wait For Halo Infinite Cnn

3d Coordinate Geometry Equation Of A Plane Brilliant Math Science Wiki

Chapter 4 Permutations And Combinations Government Of Karnataka Solutions For Class 10 Mathematics Maharashtra Topperlearning

Faster R Cnn Down The Rabbit Hole Of Modern Object Detection Tryolabs Blog

Xrd Patterns Of Ti C N Mo Ni Cermets A Ti C N 14mo i X Wt Download Scientific Diagram

Improving The Performance Of Cnn To Predict The Likelihood Of Covid 19 Using Chest X Ray Images With Preprocessing Algorithms Sciencedirect

Convolutional Neural Network Architecture Cnn Architecture
Continuous Hahn Polynomials Wikipedia

Convolutional Neural Network Cnn 5kk73 Gpu Assignment 13

C Exercises Evaluate The Equation Y When N Is A Non Negative Integer W3resource

What Is The Expression For A N B N When N Is Less Than 1 But Positive

4 Cnn Networks Every Machine Learning Engineer Should Know

Molecules Free Full Text Heteroatom Substitution At Amide Nitrogen Resonance Reduction And Heron Reactions Of Anomeric Amides Html

Example 6 Show That Middle Term In Expansion Of 1 X 2n Is

Chapter 5 4 Bernoulli And Binomial Distribution Ppt Video Online Download

Wave Equations Springerlink

Covid Cxr An Open Source Explainable Deep Cnn Model For Predicting The Presence Of Covid 19 In Chest X Rays By Matt Ross Towards Data Science

Understanding How Convolutional Neural Network Cnn Perform Text Classification With Word Embeddings Joshua Kim

Astrophysical Signatures Of Asymmetric Dark Matter Bound States Cern Document Server

Medical X Ray Image Classification Using Convolutional Neural Network By Hardik Deshmukh Towards Data Science

How Do Convolutional Neural Networks Work
Let F X X 1 X N 1 N For N 2 And Sarthaks Econnect Largest Online Education Community

Automated Diagnosis Of Arrhythmia Using Combination Of Cnn And Lstm Techniques With Variable Length Heart Beats Sciencedirect

Rd Sharma Solutions For Class 11 Chapter 1 Sets Download Free Pdf

Digital Signal Processing 2nd Ed Mitra Solution Manual
Github Pambros Cnn 2d X Ray Catheter Detection Catheter Segmentation In X Ray Fluoroscopy Using Convolutional Neural Networks

The Value Of The Expression 1 N 1 1 X 1 Nx N N 1 1 2