Cn Cgeb
Chord identifier app results page Chords with notes C E G Identify chords by note.
Cn cgeb. } C N g v O 11 N x ȑO i1955 N `11 N j ̃} C N g Z p ́A d q ʐM w G N g j N X \ T C G e B Z p A J C u ł ɂȂ ܂ B. Tips of Etching Works ʼn ̐ ɂ悤 B ŋ߁A G b a O Ă݂ ̂ŁA ė~ Ƃ A. Renew your season tickets, purchase new season tickets, or enter the Detroit Red Wings site.
Articolo 18 Obblighi del datore di lavoro e del dirigente (modificato dall'articolo 13 del decreto legislativo 106/09 ndr) (Decreto legislativo n° 81, 9 aprile 08) 1 Il datore di lavoro, che esercita le attività di cui all'articolo 3, e i dirigenti, che organizzano e dirigono le stesse attività secondo le attribuzioni e competenze ad essi conferite, devono. Ѓ g E T C G e B X g m { s k юR567 Ԓn4 TEL FAX. ・ n c x ・a n c x ヤ e w v ・・ x ・・b o h ` f l e ` f l e o ept n u e n x t @ c e300c e { c w ・・ ・・_ ・・・a.

b Polymorphisms Of The Kappa Casein Csn3 Gene And Inference Of Its Variants In Water Buffalo Bubalus Bubalis

Interference Of Intravenous Vitamin C With Blood Glucose Testing Diabetes Care

Learning Silent Letter Words K5 Learning
Cn Cgeb のギャラリー

High Resolution Xps Spectra Of C 1s Of A Nc O Au B Nc O N Au O 1s Download Scientific Diagram

Solved 1 Let A A B C D E B A B C D E F Chegg Com

Typo A B C D E F G H I J K L M N O P Q R S T U V W X Y Z 3d Neon Fonts Modern Alphabet

Controlling Your Cnc Display Screens Modern Machine Shop

The Yy1 Mir 548t 5p Cxcl11 Signaling Axis Regulates Cell Proliferation And Metastasis In Human Pancreatic Cancer Cell Death Disease

Form 4 5 Unit 6 Lesson 5 Story Problems With Three Sets Brilliant Maths

Vector Worksheet

Bonding Mc Review Questions

Engineering A Metal Organic Framework Derived Mn N 4 C X S Y Atomic Interface For Highly Efficient Oxygen Reduction Reaction Chemical Science Rsc Publishing Doi 10 1039 D0scd

The Quadratic Assignment Problem Qap N Common Mathematical

Saframycin An Overview Sciencedirect Topics
Solution Can Someone Help Me Please Let A B And C Be Subsets Of A Universal Set U And Suppose N U 150 N A 25 N B 27 N C 31

Answered Hbr Racemic Racemic Oan Br D Nc Bartleby

Unwinding A Spiral Of Cellulose Nanocrystals For Stimuli Responsive Stretchable Optics Nature Communications

Overhaul Parts Continental Replacement Parts Aircraft Specialties Services

Solved 1 Let A 1 2 3 4 5 B A B C D E F And C Chegg Com

Ijms Free Full Text Osatg8c Mediated Increased Autophagy Regulates The Yield And Nitrogen Use Efficiency In Rice Html

4 Cnc Fabricated Snap Fit Joint For Lvl Panels Protrusion A Panel Download Scientific Diagram
Plos One The Centrosomal Protein Pericentrin Identified At The Basal Body Complex Of The Connecting Cilium In Mouse Photoreceptors
1 Vytah
Osa High Speed Ge Si Electro Absorption Optical Modulator In C Band Operation Wavelengths

Periodictrends Ws Key1

North Carolina Bulk Transload Facilities Directory Bulk Transporter

Coordination Of Human Hippocampal Sharpwave Ripples During Nrem Sleep With Cortical Theta Bursts Spindles Downstates And Upstates Biorxiv
Changes In Denitrification Potentials And Riverbank Soil Bacterial Structures Along Shibetsu River Japan

Chord The War Sofia Talvik Tab Song Lyric Sheet Guitar Ukulele Chords Vip

Turing Machine For A N B N C N Youtube

Magnetic Surface Roughness Guide Chart 5 5 X 8 5 For Toolbox Cnc Shop Usefulmagnets Surface Roughness Surface Roughness Chart Surface

Millennium Cylinder Power Assembly Kit Contents Sa506 2p For Tsio 5 Af B C Ce D Db E Eb G H J Jb K Kb L Lb M N Nb P R T Ub

Chord One Day Kodaline Tab Song Lyric Sheet Guitar Ukulele Chords Vip

Name Date Worksheet Periodic Trends 1 Atomic Radius
Solved Mathboat Com 4 Nc The Function F X And G X Are Piecewise Linear Functions Shown Below If H X F G X G X Then Hil 4 0 Course Hero

A Ge 2p 3 2 And B Sn 3d Xps Spectra Of Ge 0 875 Sn 0 125 Ge 001 Download Scientific Diagram

Solved Please Do A B C D E F G H I J K L All Chegg Com

Chem 121 Flashcards Quizlet

Amazon Com Genuine Intel Dell Mk933 Mtc Trss Wlan Wifi Link Wireless 4965agn A B G N 300mbps Dual Band Mimo Mini Pci E Card Compatible Part Numbers Mk933 0mk933 0mk933 9be 026h A05 Mtc Trss 0578 C 5422 Cft Rcpinin07

Wnt10a Mutation Causes Ectodermal Dysplasia By Impairing Progenitor Cell Proliferation And Klf4 Mediated Differentiation Nature Communications

N B P Al As And Ga Graphdiyne Graphyne Lattices First Principles Investigation Of Mechanical Optical And Electronic Properties Journal Of Materials Chemistry C Rsc Publishing

Metabolic Regulation Of Escherichia Coli And Its Gdha Glnl Gltb D Mutants Under Different Carbon And Nitrogen Limitations In The Continuous Culture Microbial Cell Factories Full Text
Qj1ag3e Nswzvm
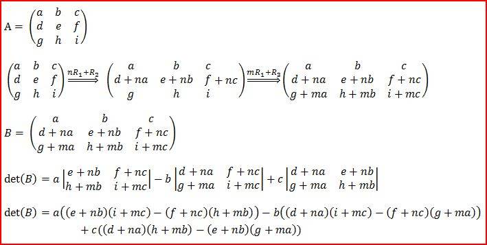
Determinant Of 3x3 Matrices Physics Forums

Alkenes Cn H 2 N Unsaturated Hydrocarbons C

Bonding Relationship Between Silicon And Germanium With Group 13 And Heavier Elements Of Groups 14 16 Agarwal Chemistry 11 An Asian Journal Wiley Online Library

Conversion Table A 1 B 2 C 3 D 4 E 5 F 6 G 7

Assessment Of The Role Of Determinant Selection In Genetic Control Of The Immune Response To Insulin In H 2b Mice The Journal Of Immunology

8 The First Term Of An Arithm See How To Solve It At Qanda

Global Malicious Spam Campaign Using Black Lives Matter As A Lure Fortiguard Labs

Molecules Free Full Text Transcriptome Analysis Of Gene Expression Patterns Potentially Associated With Premature Senescence In Nicotiana Tabacum L Html

Nc Corrector Free G Code Editor

Are All Atoms The Same Size Namgalsipscl So Then Namgalsipscl Ppt Download

Thermal And Crystallization Behavior Of Pla Plla Grafting Cellulose Nanocrystal
A Mechanism Regulating The Onset Of Sox2 Expression In The Embryonic Neural Plate

Strong Valence Electrons Dependent And Logical Relations Of Elemental Impurities In 2d Binary Semiconductor A Case Of Gep 3 Monolayer From Ab Initio Studies Nanoscale Research Letters Full Text
Osa High Speed Ge Si Electro Absorption Optical Modulator In C Band Operation Wavelengths

Secondary Atom Doping Enables Robust Fe N C Single Atom Catalysts With Enhanced Oxygen Reduction Reaction Springerlink

Cm Eb Piano Chord C With Eb Added As The Lower Note Minor

Peptide From Sea Anemone Metridium Senile Affects Transient Receptor Potential Ankyrin Repeat 1 Trpa1 Function And Produces Analgesic Effect Journal Of Biological Chemistry

Facile Synthesis Of B G C 3 N 4 Composite Materials For The Continuous Flow Selective Photo Production Of Acetone Green Chemistry Rsc Publishing Doi 10 1039 D0gca

Si 2p A Ge 3d B And N 1s C Xps Spectra Of The Germanene Layers Download Scientific Diagram

Chemical Structures Of A T A U B C G C C L G C And D Q C G Download Scientific Diagram

Thermal And Crystallization Behavior Of Pla Plla Grafting Cellulose Nanocrystal

Fanuc 0t B Cnc Control Specifications

If A A B C D E F B C E G H And C A E M N Find I

Misc 17 If A B C D Are In Gp Prove An Bn Bn Cn
Solved Ifa V O G U R T And U A B C D E F G H Chegg Com

A A D C H F E B B A G E M D Draw Venn Diagram S T N A Union B N A N B N A Intersection B Brainly In

C Code And The Art Of Obfuscation

B Given The O Abcd And T Descubre Como Resolverlo En Qanda

Fanuc Pmc Programming Manual

Memories Of District C Civilian Conservation Corps Great Smoky Mountains A Park For America Hunter Library Digital Collections

Germanium Negative Capacitance Field Effect Transistors Impacts Of Zr Composition In Hf 1 X Zr X O 2 Nanoscale Research Letters Full Text
Solution Assume Three Events A B C Are Such That P A 0 5 P B 0 6 P C 0 4 P Anb 0 3 P Anc 0 1 P Bnc 0 2 And P Anbnc 0 05 Find 1 P Anbnc 39 2 P Aubuc 3 P A 39 Nbnc 39

A 1 B 2 C 3 D 4 E 5 F 6 G 7 H 8 1 9 1 10 K Chegg Com
Solved Construct A Venn Diagram Illustrating The Followin Chegg Com

Alphabet The Alphabet A B C D E F G H I J K L M N O P Q R S T U V W X Y And Z Ppt Download

A B C And D Are The Four Corners In Order Of One Face Of A Cube Of Side 2 Units The Opposite Face Has Corners E F G And H With Ae Bf Cg And

Publications Szostak Group

Fast Charging Materials For High Power Applications Babu Advanced Energy Materials Wiley Online Library

1 Which Of These Choices Is The General Electron Pages 1 7 Flip Pdf Download Fliphtml5

Catalysts Free Full Text Electrocatalytic Glucose Oxidation At Coral Like Pd C3n4 C Nanocomposites In Alkaline Media Html

Answered 2 Match A Aldehyde B Ketone C Bartleby

Write Down The Iupac Names Of The Following Compounds A