Cn V A
Glycosylation is a frequent co/posttranslational modification of proteins which modulates a variety of biological functions The analysis of Nglycome, ie the sugar chains Nlinked to asparagine, identified new candidate biomarkers of aging such as Nglycans devoid of galactose residues on their branches, in a variety of human and experimental model systems, such as healthy old.
Cn v a. CN v the United Kingdom Court European Court of European Rghts Sentence date 13 November 12 Purpose of exploitation Forced labour/domestic servitude In the case of CN v the United Kingdom, the European Court of Human Rights held that there had been a violation of Article 4 (prohibition of slavery and forced labour) of the European Convention on Human Rights. N Ԃt o ~ ҂ l b n { n t @ a c n v t c g. TÇ NEVZAT (@nevzatpugbmm) on TikTok 210 Likes 24K Fans Watch the latest video from TÇ NEVZAT (@nevzatpugbmm).
$\endgroup$ – Paze Feb 15 '15 at 1753 $\begingroup$ yes this is correct the equation is n=cv $\endgroup$ – bon Feb 15 '15 at 1753. Altogether 955 The Fokker CV was a Dutch light reconnaissance. C = n ÷ V where c = concentration of solution in mol L1 (mol/L or M), n = moles of substance being dissolved (moles of solute), V = volume of solution in litres (L) This equation (formula or expression) can be rearranged to find moles of solute given molarity and volume of solution n = c × V volume of solution given moles of solute and molarity V = n ÷ c Please do not block ads on.
View the profiles of professionals named "C N V" on LinkedIn There are 10 professionals named "C N V", who use LinkedIn to exchange information, ideas, and opportunities. Shoot me a message if you are interested in working together ericnevada03@gmailcom. Look up the German to French translation of CNAV in the PONS online dictionary Includes free vocabulary trainer, verb tables and pronunciation function.
01/04/02 · The CNtriple bond of nitriles (example 10) ( cm1) In most cases a peak (with varying intensity) around 2349 cm1 (together with 667 cm1) This is due to the CO 2 in the beam (poor background correction) c From 1500 00 cm1 (EXdouble bonds E=X=C, N, O) This is the most important range in the entire IR spectrum for organic chemists If there is a very. Since our formula says n=c/v and we know that the value for c is a constant, we can figure out that light has different speeds when it is in different substances It goes at full speed in a vacuum, and slower everywhere else Using our examples, we can discover that light moves faster in water than it does in a diamond Light moves at its fastest speeds when it is in a vacuum Light moves at. CV, CVI, and CIX Finnish Fokker CVE's Role Light reconnaissance, bomber aircraft Manufacturer Fokker Introduction 1924 Primary users Royal Netherlands Air Force Regia Aeronautica Norwegian Army Air Service Finnish Air Force Number built CVI 33 CVB 18 CVC 16 CVD 212 CVE 327 Ro1 and Ro1bis 349;.
Buy Vaillant ecoTEC Plus 5 ERP Combi (Boiler Only) at the best online prices today at C&N Plumbing Ltd £1, Ex Tax£ Add to Cart Add to Wish List Compare this Product Buy Now Question Quickview41 % Brand Just Taps Model 1268 1268 Curve Shower Rail With Integrated Wall Outlet, Hose Multi Comes in eye catching finish Can be easily installed saving. T C N V b v A g n E X m { s Ƌ E Ɠd E u h i E y Ȃǂ̔ ̔ A s v i A i Ȃlj ł k B E Еt L y z ̂ Еt A ŏo i Ȃǂ Еt ̂ ` Ă ܂ y 1 2 3 4 5 6 7. 😰 Reply Nsb says Monday, August 1, 16 at 637 am 3 blades on a ceiling fan Reply Gpushpavalli says Wednesday, November 2, 16 at 1053 pm Sir what is the answer for 19 M in a Y Reply Sarasswathi says Wednesday, January 25, 17 at 1108 am What is the answer.
The CV's main designer was Heinrich Oelerich, and it was produced in larger numbers than any other German aircraft during World War I About 00 were manufactured by DFW and about 1,250 licence manufactured by Aviatik (as the DFW CV(Av) or Aviatik CVI), Halberstadt, LVG, and SchütteLanz A further development was the CVI, a sturdier aircraft with balances added to the. T e c n o V i d a Nutrição hospitalar, suplementos e curativos!. RhCatalyzed C–C/C–N bond formation via C–H activation synthesis of 2Hindazol2ylbenzoacarbazoles † Sundaravel Vivek Kumar, a Sonbidya Banerjee a and Tharmalingam Punniyamurthy * a Author affiliations * Corresponding authors a Department of Chemistry, Indian Institute of Technology Guwahati, Guwahati , India Email tpunni@iitgacin Abstract Rh.
Outstanding – the service is performing exceptionally well Good – the service is performing well and meeting our expectations Requires improvement – the service isn't performing as well as it should and we have told the service how it must improve Inadequate – the service is performing badly and we've taken enforcement action against the provider of the service. CQC register CNV Limited to carry out the following legally regulated activities Accommodation for persons who require nursing or personal care Mr Steve Harris is responsible for these services Terms of this registration relating to carrying out this regulated activity The Registered Provider must ensure that the regulated activity accommodation for persons who require nursing or. Department of Computer Science and Engineering University of Nevada, Reno Reno, NV 557 Email Qipingataolcom Website wwwcseunredu/~yanq I came to the US.
C & N Crisford & Norris Birmingham 1902 hallmark C&R over C into a trefoil Charles & Richard Comyns London 1919 hallmark C&SLtd Clark & Sewell Ltd Sheffield 1937 hallmark C&SLtd Collingwood & Sons possiblyHoratio Nelson Collingwood trading as Collinwood & Son Linthorpe Road Middlesborough Birmingham 1937 hallmark C&Sns into an oblong rectangle Chaplin &. 19/07/13 · The current Internet architecture was founded upon a hostcentric communication model, which was appropriate for coping with the needs of the early Internet users Internet usage has evolved however, with most users mainly interested in accessing (vast amounts of) information, irrespective of its physical location This paradigm shift in the usage model of the Internet, along. The index of refraction is the ratio of the speed of light in vacuum, c, to the speed of light in a particular medium, v That means n = c / v The index of refraction for water is n = 133 That means the speed of light in water is n = c / v = 133 v = c / 133 v = 075 c.
🏥Cbá 65 🏣Roo 66 🏣Sinop 66 📲Infos e pedidos por Whatsapp👇🏼 linktree/tecnovida. /11/12 · CN v the United Kingdom, a case about a woman who was held in domestic servitude, is therefore a welcome ruling This is just the fourth judgment in which the Court finds a violation of the prohibition of slavery, forced labor and servitude (Article 4 ECHR) In this post I will highlight the most salient aspects of the Court’s reasoning Facts The case concerns CN, a. CN v THE UNITED KINGDOM JUDGMENT 5 police officer indicated that it was the Metropolitan Police’s provisional view, given expressly without formal authority, that there was no offence in English criminal law which applied to the facts of the case The solicitor further asserted that the police apologised for the cursory manner in which the case had been dealt with previously and.
Case of CN v the United Kingdom United Kingdom of Great Britain and Northern Ireland Fact Summary In 02, the applicant CN travelled to the UK from Uganda to escape the sexual and physical violence Her relative S, who lived in London, helped her obtain a false passport and a visa to enter the UK, but on CN’s arrival he took these documents away and did not return them to. Help please C N 5 P Reply Anonymous says Thursday, July 21, 16 at 425 pm Can someone tell me 3 b on a cf?. Craster is his own man He has sworn us no vows Nor is he subject to our.
Words that Start with v Words that Start with w Words that Start with x Words that Start with y Words that Start with z Unscrambled Words That End With s ed ing en s en er est ian ize ise fy ly ful able ible hood ness less ism ment ist al ish Typing Word Game Click "Play Now" to Start!. Vii) A vector v ∈ Cn is said to be an eigenvector of the n × n matrix A of eigenvalue λ if v 6= 0 and Av = λv The eigenspace of eigenvalue λ for A is v ∈ Cn Av = λv Note that it is a linear subspace of Cn and, in particular, always contains 0 viii) If V is a subset of Cn, then its orthogonal complement is V ⊥ = v ∈ Cn v ⊥ w for all w ∈ V Problem M1 Let V ⊂ Cn Prove that. Official information from NHS about CNV Limited including contact details, directions, opening hours and service/treatment details.
How the C, V, N and Z bits of the CCR are changed Condition Code Register Bits N, Z, V, C N bit is set if result of operation in negative (MSB = 1) Z bit is set if result of operation is zero (All bits = 0) V bit is set if operation produced an overflow C bit is set if operation produced a carry (borrow on subtraction) Note Not all instructions change these bits of the CCR 1 EE 308 Spring. We have developed a model to simulate the dynamics of C, N, P, and S in cultivated and uncultivated grassland soils The model uses a monthly time step and can simulate the dynamics of soil organic matter over long time periods (100 to 10,000 years) It was used to simulate the impact of cultivation (100 years) on soil organic matter dynamics, nutrient mineralization, and plant. The C/N ratio is measured in a manner similar to the way the signaltonoise ratio (S/N) is measured, and both specifications give an indication of the quality of a communications channel In the famous Shannon–Hartley theorem, the C/N ratio is equivalent to the S/N ratio The C/N ratio resembles the carriertointerference ratio (C/I, CIR), and the carriertonoiseandinterference.
Raça * Negra Vem Para Ficar (00)BEM VINDO AO CANALMAIS INFORMAÇÕES NO COMENTÁRIO DO CANALLink do vídeo https//youtube/68D8wxpPGYLink Do Canal. Because if they are defined the way I defined them, then my equation still holds $\endgroup$ – Paze Feb 15 '15 at 1751 $\begingroup$ Or do you mean to say that the equation is n=cv not n=c/v?. Since the day we were founded in 1938 CN Rood has been on the cutting edge of technology Enabling us to help you solve the challenges you encounter using the latest technological developments and insights.
CNV Limited is an active company incorporated on September 19 with the registered office located in Aylesford, Kent CNV Limited has been running for 37 years There is currently 1 active director according to the latest confirmation statement submitted on 31st December 19 BUY A REPORT Name CNV Limited Status ACTIVE Active since incorporation Confirmation. 14/09/09 · 1947 When EVR called Independence Day (August 15) a day of mourning, CNA, in his article in “Dravida Nadu,” wanted the day to be celebrated for the removal of colonial rule. Search the world's information, including webpages, images, videos and more Google has many special features to help you find exactly what you're looking for.
PETITIONER C N ARUNACHALA MUDALIAR Vs RESPONDENT C A MURUGANATHA MUDALIAR AND ANOTHER DATE OF JUDGMENT 14/10/1953 BENCH MUKHERJEA, BK BENCH MUKHERJEA, BK MAHAJAN, MEHR CHAND JAGANNADHADAS, B CITATION 1953 AIR 495 1954 SCR 243 CITATOR INFO E 1965 SC1730 (10) RF 1967 SC 591 (8) R 1975 SC 431 (9) R 1987 SC 518 (7). A palladium catalyzed Suzuki crosscoupling for construction of Csp3–Csp2 bond via Csp3–N bond activation of benzyltrimethylammonium salt is described This reaction not only offered a highly efficient approach to diarylmethanes but also paved the way for the application of benzyltrimethylammonium salts in Editors’ collection Catalytic Organic Transformations. Uct of two vectors v and w in Cn is de ned by hvjwi = h(v 1;v 2;;v n)j(w 1;w 2;;w n)i = v 1w 1 v 2w 2 v nw n = k=1 v kw k It follows that for each v 2Cn, our desired condition (2) above, holds kvk2 = hvjvi Also, condition (1) holds If v and w happen to be a real vectors, then their complex inner product is the same as their real inner product Most of the algebraic properties.
A W Y ̃ C N ET V c ̔ u Y B Ёv ̃E F u T C g ւ悤 w Y B Ёx ̘a F T W Y ́A ` ̋ F T ̋Z ̋ɂ݂Ƃ A ڂ Ǝ ` F T ̋Z p ōʂ ܂ B Ȃ ̃W Y 𑼎Ђ̗F T W Y Ƃ͈ꖡ A w Y B Ёx Ǝ ̐ ڂ H { u F T E n ʃW Y v Ƃ āA I W i W Y Ƀ C N ܂ B. 1 = = c n = 0 Example Consider a set consisting of a single vector v I If v = 0 then fvgis linearly dependent because, for example, 1v = 0 I If v 6= 0 then the only scalar c such that cv = 0 is c = 0 Hence, fvgis linearly independent Span, Linear Independence, Dimension Math 240 Spanning sets Linear independence Bases and Dimension The zero vector and linear dependence Theorem A. Objective ltheanine is a constituent of tea which is claimed to enhance cognitive functions We aimed to determine whether theanine and theaninecaffeine combination have acute positive effects on cognitive and neurophysiological measures of attention, compared to caffeine (a positive control) and a placebo in healthy individuals.
Living at the V&A Waterfront offers residents security, convenience, a vibrant nightlife and all the amenities you may possibly need Apartments Hotels Apartment living at its most convenient Stay Longer The V&A The V&A Waterfront The V&A Waterfront is an iconic 123hectare neighbourhood which welcomes millions of people from all over the continent and world We. 30/05/21 · C/N definition credit note Meaning, pronunciation, translations and examples. V V b' c' = V b' n' V n' c' = 1105 ∠ − o − 1197 ∠ − 493 o = 15 ∠ 1662 o V V c 'a' = V c' n' V n' a' = 1197 ∠ − 493 − 419 ∠ 855 o = 1039 ∠ − 693 o V WyeWye System with Neutral Connection Fourwire, threephase system similar to the one shown in figure 14 are sometimes employed in the transmission and.
Of A with characteristic value λ, and v is a characteristic vector of BT with characteristic value µ, then Auv Tuv B = (λµ)uv Thus λ µ is a characteristic value of the system (2), which can therefore be solved if and only if λi µj 6= 0 (3) for all i,j When A and B can both be reduced to diagonal form by similarity. 819k Followers, 1,315 Following, 255 Posts See Instagram photos and videos from L a u r a V e c i n o (@lauravecinoa). $\begingroup$ How are n, c and v then defined?.
I A m E r i c N e v a d a F i l m s 42 likes i'AmEricNevadaFilms&Photos I'm currently accepting new projects!.

Les Limites De La Cnv 777 Trucs Et Astuces

La Communication Non Violente Cnv Medecine Integree

Introducao A Comunicacao Nao Violenta Sympla
Cn V A のギャラリー

Cnv Les Ateliers De L Arc En Ciel
Cap Cnv Sante Posts Facebook

La Communication Non Violente

La Communication Non Violente Cnv Qu Est Ce Que C Est Merveille D Eveil

Cnv Video 1 V16 04 17 Youtube

File Les 4 Etapes Du Processus De La Cnv Jpg Wikimedia Commons

Communication Nonviolente Et Digital Le Digital Pour Tous

Fichier Logo Cnv Png Wikipedia

Les 4 Etapes De La Cnv 777 Trucs Et Astuces

159 Free Copy Number Variation Cnv Analysis Tools Software And Resources

Gmbh Stockfotos Und Bilder Kaufen Seite 33 Alamy

Eisregen Lichterkette L3 50 M Kaltweiss 96 Leds Cn Koppelbar 24 V Weihnachts Beleuchtung Eminza

Lists Of Feelings And Needs Listes De Sentiments Et Besoins Listas De Sentimientos Y Necesidades Daily Nvc

La Cnv Vendecole

Sindicato Dos Vigilantes Cntv Propoe Novo Modelo Da Cnv A Policia Federal

La Communication Non Violente

Nv Atlas France Lorient A L Ile De Noirmoutier Fr 6 A W Niemeyer Deutschland

Seekarte Frankreich Nv Fr5 Douarnenez Bis Lorient Online Kaufen

Piste De Danse Croyance Limitante Coaching Emotionnel Cnv

Le Processus De La Communication Non Violente Cnv Dans Les Conflits Pourquoi Comment

Cnv Analysis Youtube

Les 4 Piliers De La Communication Non Violente Cnv 1 Jour 1 Pas

Cnv

Pourquoi Et Comment Reconnaitre Nos Besoins Ta Liste Des Besoins Illustree Cnv Offerte La Foret Qui Pousse

Documents Jeu De Cnv

La Communication Non Violente Cnv
La Communication Non Violence Cnv Etre Moua Cabinet D Envol Tresses Facebook
Fete De La Cnv A La Reunion Home Facebook
2424 Mg Exportation Les Ministeres En Charge Des Facebook

Lists Of Feelings And Needs Listes De Sentiments Et Besoins Listas De Sentimientos Y Necesidades Daily Nvc

La Communication Non Violente 4 Etapes Pour Mettre En Pratique Merveille D Eveil

Intelligence Emotionnelle Communcation Non Violente Cnv Pragma Management

Conference Atelier Sur La Communication Non Violente Cnv Le 8 Decembre Mignovillard Fr Site Officiel

Copy Number Variation Cnv

Communication Non Violente Wikipedia

La Cnv

Representation Of Cnv Data And Cnv Gwa Analysis A Cnv Representation Download Scientific Diagram

Gthoa Phan Tich 1

Communication Non Violente Le Journal D Une Apprentie Girafe Le Chacal Cnv

51 Questions With Answers In Cnv Science Topic

Communication Non Violente Liste De Sentiments Besoins Evaluations

Module 1 3 Introduction A La Cnv Affcnv Communication Non Violente

Physics Driving A Hard Bargain With Diamond Qubits

La Cnv Dans Les Consultations En Conseil Conjugale Et Familial Toulouse

Cnv

Communication Non Violente Cnv Et Sophrologie Anne Auffret Therapeute Ifs Et Sophrologue

Une Presentation Pour S Initier A La Communication Nonviolente Dans L Education

Uv Vis Spectra Of Cyanide Spiked Agj Left Agj H 2 O 1 1 V 1 Download Scientific Diagram

Pdf Twins And Vertex Identification On Graphs

Les Niveaux De Discours Cnv

Epingle Sur Emotions Cnv

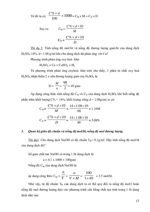
Nong Do Dung Dich Nuoc Hoa Vo Co Pche330

Les 4 Cles De La Communication Non Violente Cnv Cultivons L Optimisme

Cnv Montpellier Communication Non Violente

Cnv Ado Zen

Openseriousgame Con2col Pratiquez La Cnv Pour Passer Du Conflit A

Cong Thuc Dinh Luong

Eviter Les Conflits Grace A La Cnv En Redaction Web Le Guide
Github Geocarvalho Sv Cnv Studies Relevant Papers For Cnv And Sv Approaches

Cn Tower Wikipedia

Materialiser Les Etapes De La Communication Non Violente Au Sol Pour Les Enfants

Communication Non Violente Etes Vous Chacal Ou Girafe By Valeurs Valeur Medium

Introduction A La Communication Non Violente Cnv

Documentation Cnv En Suisse Romande

Gthoa Phan Tich 1

Pss Pdadmac Multilayer A Atr Ir Spectra Of Pem36 W In Reversible Download Scientific Diagram

Cnv Twist Haar Glatteisen Haarglatteisen 300 450 2 In 1 Haar Glatteisen Lockenstab Keramik Konkav Gewolbte Titan Keramik Glatteisen Lockenstab Gold Amazon De Drogerie Korperpflege

Sam Et Le Pouvoir Des Mots Le Livre D Initiation A La Cnv Pour Les Enfants Sortiraparis Com

File Ho Chi Minh City Vincom Center 01 Cn 02 Jpg Wikimedia Commons

Module 1 Introduction A La Cnv Affcnv Communication Non Violente

Electrochemical Data Potential In V Vs Fch Fch Th And Current In A In Download Table

Representation Of Cnv Data And Cnv Gwa Analysis A Cnv Representation Download Scientific Diagram

Apprendre La Cnv Par Le Jeu J Apprends A Etre Maman

Les 4 Etapes De La Communication Non Violente Fiche Methode Donnez Du Sens A Vos Etudes

Cnv Les Ateliers De L Arc En Ciel

Pourquoi Apprendre A Raisonner En Termes De Besoins Est Il Essentiel

Paroles D Expert Cnv Et Mediation Une Demarche Analogue Pour Aider A La Comprehension De L Autre Petites Affiches Des Alpes Maritimes Annonces Legales Appels D Offres Ventes Aux Encheres
000 733 Panasonic Nv Ec 45 Ehg Vhs C Camcorder Video Kassette Sealed

Bonhomme Girafe Cnv Nvcwiki

N 111 Nous Arriverons A Nous Entendre Pratiques Jouv Amazon De Rosenberg Marshall B Klein Shari Gibson Neill Fremdsprachige Bucher

Le Compliment Parfait En 3 Etapes Grace A La Cnv

Les Formations Tout Public En Cnv Pour 18 Old Esprit D Alliance
Liste Sentiments Cnv Pdf

Jf6nab1rdrzcqm

Yunchul Kim Frankfurter Kunstverein

Weitere Jahrgange Kehren In Die Schule Zuruck Was Eltern Und Schuler Jetzt Wissen Mussen Cnv Medien

Un Magnifique Livre Pour Initier Les Enfants A La Communication Non Violente Cnv

1 2 N V Z 2 C N V Ppt Download

Color Online A Band Structure Of The Ground State Of The Nv A Download Scientific Diagram

Utilisation De La Marque Cnv Affcnv Communication Non Violente

L Arbre De Vie De La Cnv Wiki Agile Du Groupecesi

Communication Non Violente Les Fondamentaux Bloculus

Les Bases Spirituelles De La Communication Nonviolente Amazon Ca Rosenberg Marshall B Books

Copy Number Variation Wikipedia

Epingle Sur La Communication Nonviolente

Copy Number Variation Wikipedia