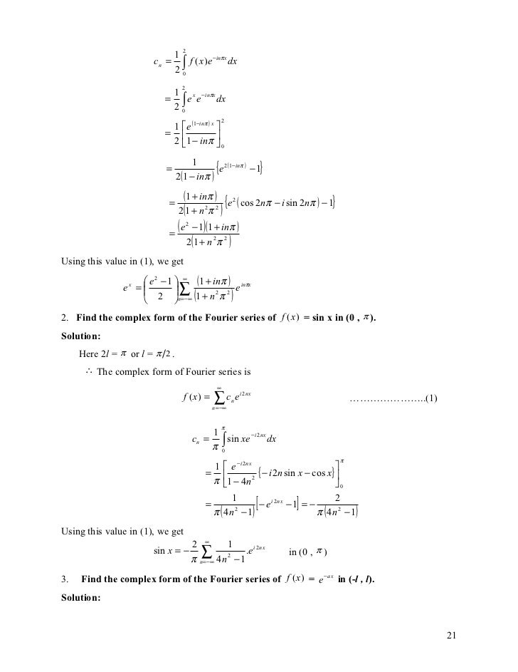
Cn Exx
29/01/19 · Binomial distributions are an important class of discrete probability distributionsThese types of distributions are a series of n independent Bernoulli trials, each of which has a constant probability p of success As with any probability distribution we would like to.
Cn exx. For the mgf in which case moments can be generated via M0(1) = E(X), M00(1) = E((X)(X − 1)), M(n)(1) = E(X(X −1)···(X −(n−1))), n ≥ 1 13 Examples of wellknown distributions Discrete case 1 Bernoulli distribution with success probability p With 0 < p < 1 a constant, X has pmf p(k) = P(X = k) given by p(1) = p, p(0) = 1−p, p(k) = 0, otherwise Thus X only takes on the. Free math lessons and math homework help from basic math to algebra, geometry and beyond Students, teachers, parents, and everyone can find solutions to their math problems instantly. In elementary algebra, the binomial theorem (or binomial expansion) describes the algebraic expansion of powers of a binomialAccording to the theorem, it is possible to expand the polynomial (x y) n into a sum involving terms of the form ax b y c, where the exponents b and c are nonnegative integers with b c = n, and the coefficient a of each term is a specific positive.
X − ky integer n ≥ 0 Binomial series X k α k!. X 1 (ĕks) n A movie rating indicating that admission will not be granted to anyone under the age of 17 X 2 1 The symbol for reactance 2 also x The symbol for the Roman numeral 10 3 A symbol for the word cross Used in combination, as in Xing for crossing or motoX for motocross X 3 abbr 1 Christ (Greek Χριστος, Khristos) 2 Christian 3. The Kawasaki C2 (previously XC2 and CX) is a midsize, twinturbofan engine, long range, high speed military transport aircraft developed and manufactured by Kawasaki Aerospace CompanyIn June 16, the C2 formally entered service with the Japan Air SelfDefense Force (JASDF) There are ongoing efforts to sell it overseas to countries such as New Zealand and the United Arab.
The Binomial Distribution In many cases, it is appropriate to summarize a group of independent observations by the number of observations in the group that represent one of two outcomes. 01/01/16 · The CDC AZ Index is a navigational and informational tool that makes the CDCgov website easier to use It helps you quickly find and retrieve specific information. Summer 03 1010 Another example A laser production facility is known to have a 75% yield;.
Solve your math problems using our free math solver with stepbystep solutions Our math solver supports basic math, prealgebra, algebra, trigonometry, calculus and more. C n c which belongs to F because F is closed under complements and countable unions Finally, A cB = A\B is in F, because A; 2 F QED 12 GENERATED SIGMAALGEBRA ˙(B) 3 12 Generated Sigmaalgebra ˙(B) Let X be a set and B a nonempty collection of subsets of X The smallest ˙{algebra containing all the sets of B is denoted ˙(B) and is called the sigmaalgebra generated. Free math lessons and math homework help from basic math to algebra, geometry and beyond Students, teachers, parents, and everyone can find solutions to their math problems instantly.
These are Bitwise Operators () x & 1 produces a value that is either 1 or 0, depending on the least significant bit of x if the last bit is 1, the result of x & 1 is 1;. Because this doesnt converge to any number however (n!). If a discrete random variable X has the following probability density function (pdf), it is said to have a binomial distribution P(X = x) = n C x q (nx) p x, where q = 1 p p can be considered as the probability of a success, and q the probability of a failure.
3 a P x b L x 5 For the following basis of functions ( Ψ 2p1, Ψ 2p 0, and Ψ 2p 1), construct the matrix representation of the L x operator (use the ladder operator representation of L x)Verify that the matrix is hermitian. Outside the domain, the Maclaurin series either is undefined or does not relate to the function The radius of convergence is half the length of the interval;. We say that a linear transformation is onto W if the range of L is equal to W Example Let L be the linear transformation from R 2 to R 3 defined by L(v) = Avwith A Find a basis for Ker(L) B Determine of L is 11 C Find a basis for the range of L D Determine if L is onto Solution The Ker(L) is the same as the null space of the matrix AWe have.
E(X)= X x xp(x) (9) if it exists The expected value existsif X x x p(x) < ∞ (10) The expected value is kind of a weighted average It is also sometimesreferred to as the population meanof the random variable and denoted µX 172 First example computing an expected value Toss a die that has six sides Observe the number thatcomes up The probability massor frequency function is given. 24 c JFessler,May27,04,1310(studentversion) 212 Classication of discretetime signals The energy of a discretetime signal is dened as Ex 4= X1 n=1 jxnj2 The average power of a signal is dened as Px 4= lim N!1 1 2N 1 XN n= N jxnj2 If E is nite (E < 1) then xn is called an energy signal and P = 0 If E is innite, then P can be either nite or innite. Ae d i c n o s e x x v value in Gematria Calculator (Type in a word or a number eg God, Devil, 100, 666 To calculate gematria values) View Rude Words Tweet finish the operation o r t h p ae d i c n o s e x x v in Jewish Gematria equals 2475 f 6 i 9 n 40 i 9 s 90 h 8 0 t 100 h 8 e 5 0 o 50 p 60 e 5 r 80 a 1 t 100 i 9 o 50 n 40 0 o 50 0 r 80 0 t 100 0 h 8 0 p 60 0 a 1 e 5 0 d 4 0 i 9 0 c.
(c) n 1, g(ax2x3xn) = x2x3xn is a bijection Hence, jB(a) n j= 2jBn 2j Generating Functions Towers of Hanoi Peg 1 Peg 2 Peg 3 Hn is the minimum number of moves needed to shift n rings from Peg 1 to Peg 2 One is not allowed to place a larger ring on top of a smaller ring Generating Functions xxx H n1 moves 1 move H n1 moves Generating Functions A has n dollars Everyday. Lecture Notes 4 In today’s lecture we discuss the convergence of random variables At a highlevel, our rst few lectures focused on nonasymptotic properties of. Constants c n are distinct and the sets E n are disjoint 38 3 MEASURABLE FUNCTIONS Theorem 312 If f X!0;1 is a positive measurable function, then there is a monotone increasing sequence of positive simple functions ˚ n X!0;1) with ˚ 1 ˚ 2 ˚ n such that ˚ n!fpointwise as n!1 If fis bounded, then ˚ n!funiformly Proof For each n2N, we divide the interval 0;2n in the range.
EX= X x x¢p X(x)= X2 =¡2 x jxj 6 = 1 6 ¡2¢2(¡1)¢10¢01¢12¢2 =0 In general, any random variable X with an even1 PMF must have EX=0 (c) Find the PMF of the random variable Z =(X ¡EX)2 Solution Since EX=0, we have Z = X2 It follows from deflnition that p Z(z)=P(fZ = zg)=P(fX2 = zg) This is the probability that X2. More than just an online integral solver WolframAlpha is a great tool for calculating antiderivatives and definite integrals, double and triple integrals, and improper integrals. C n = 2 Z 0 (25−3x)sin nπx dx = 10 nπ (57(−1)n) The computation is similar to Problem 10 from 105 The general solution for w(x,t) is the type studied in 105 therefore w(x,t) = X∞ n=1 10 nπ (57(−1)n) e−86n2π2t/2 sin nπx and u(x,t) = 3x X∞ n=1 10 nπ (57(−1)n) e−86n2π2t/2 sin nπx d Determine how much time must elapse before the temperature.
The interval of convergence is the open, closed, or semiclosed range of values of x x x for which the Maclaurin series converges to the value of the function;. But what about x =< 1?. @ W F C N E X ~ X @Jake Smith @ O Y E X ~ X(*) @Grizzly Smith j b N l F D F F A { F A A E X ~ X g E ̏d F213 Z ` A159 L N F1932 N8 6 i10 N6 12 v j o g n F āE e L T X B O C \ J g o g ӋZ.
Rules of Integrals with Examples A tutorial, with examples and detailed solutions, in using the rules of indefinite integrals in calculus is presented A set of questions with solutions is also included. Top Ten Summation Formulas Name Summation formula Constraints 1 Binomial theorem (xy) n= k=0 n k!. EX = X∞ k=0 k(1−p)kp = p X∞ k=1 k(1−p)k = p 1 p2 = 1 p Similarly (but more involvedly) the variance is (1−p)/p2 41 Negative binomial random variables Instead of just getting one success, we might keep going until we get r of them The probability distribution then is just Pr(X = k) = k−1 r−1 pr(1−p) −r, k ≥ r 4.
Solutions to Homework Set 3 (Solutions to Homework Problems from Chapter 2) Problems from x21 211 Prove that a b (mod n) if and only if a and b leave the same remainder when divided by n. That is, 75% of the lasers manufactured by the facility. Taylor Series A Taylor Series is an expansion of some function into an infinite sum of terms, where each term has a larger exponent like x, x 2, x 3, etc.
12 Examples of the Riemann integral 5 Next, we consider some examples of bounded functions on compact intervals Example 15 The constant function f(x) = 1 on 0,1 is Riemann integrable, and. 19/02/ · In this section we discuss how the formula for a convergent Geometric Series can be used to represent some functions as power series To use the Geometric Series formula, the function must be able to be put into a specific form, which is often impossible However, use of this formula does quickly illustrate how functions can be represented as a power series. Otherwise, it is 0This is a bitwise AND operation x >>= 1 means "set x to itself shifted by one bit to the right" The expression evaluates to the new value of x after the shift Note The value of the most significant.
22/07/15 · Stack Exchange network consists of 176 Q&A communities including Stack Overflow, the largest, most trusted online community for developers to learn, share their knowledge, and build their careers Visit Stack Exchange. ), and then (by dividing by x!), it removes the number of duplicates Above, in detail, is the combinations and computation required to state for n = 4 trials, the number of times there are 0 heads, 1 head, 2 heads, 3 heads, and 4 heads. SAMPLE EXAM QUESTION 2 SOLUTION (a) Suppose that X(1) < < X(n) are the order statistics from a random sample of size n from a distribution FX with continuous density fX on RSuppose 0 < p1 < p2 < 1, and denote the quantiles of FX corresponding to p1 and p2 by xp1 and xp2 respectively Regarding xp1 and xp2 as unknown parameters, natural estimators of these quantities are X(dnp.
04/06/18 · In this section we define the Fourier Cosine Series, ie representing a function with a series in the form Sum( A_n cos(n pi x / L) ) from n=0 to n=infinity We will also define the even extension for a function and work several examples finding the Fourier Cosine Series for a function. Week 9 1 Independence of random variables • Definition Random variables X and Y are independent if their joint distribution function factors into the product of their marginal distribution functions • Theorem Suppose X and Y are jointly continuous random variablesX and Y are independent if and only if given any two densities for X and Y their product is the joint density for the pair (X,Y. 3 5 Suppose that aand bare rational numbers with a.
It is also the radius of the circle in the complex plane within which the. C n E X @ X z L @ ݒn m s { c 쓌17 Ԓn @ \ @ Y @ n @ a32 N5 @ A TEL F FAX F @ Ɩ e z Ɓ@ s Y Ɓ@ ꋉ z m @ c ƒn s A { s A R s. A combination takes the number of ways to make an ordered list of n elements (n!), shortens the list to exactly x elements ( by dividing this number by (nx)!.
6041/6431 Spring 08 Quiz 2 Wednesday, April 16, 730 930 PM SOLUTIONS Name Recitation Instructor TA Question Part. 6 MAX, MIN, SUP, INF 85 Hence, it suffices to show that 3 2 is a lower bound which we do as follows 2n1 n1 ≥ 3 2 2(2n1) ≥ 3(n1) n ≥ 1 which is true for all n ∈ N Reversing the above argument shows that. Math 431 Real Analysis Solutions to Homework due September 5 Question 1 Let a;b2R (a) Show that if a bis rational, then ais rational or bis irrational.
Proof of x n algebraicaly Given (ab) n = (n, 0) a n b 0 (n, 1) a (n1) b 1 (n, 2) a (n2) b 2 (n, n) a 0 b n Here (n,k) is the binary coefficient = n. 30/10/11 · I know generally how to do it i just dont get how to write it in a formal proof like x^n is always going to be approaching infinity slower than (n!) for x > 1 and for x = 1 its just 1/n!.

Standards And Regulations Ex Zones Atex Iecex

6 5 3 The Method Of Integration By Parts

Exponential Family Distribution And Sufficient Statistic Mathematics Stack Exchange
Cn Exx のギャラリー

Describe The Following Sets In Roster Form X In N X 2n N I

The Real Number E Boundless Algebra

Solved Expectation Formula T Prove That E X2 G E X F Chegg Com

Taylor S Theorem Wikipedia

E Mathematical Constant Wikipedia

Nexx X Vilitur Review Nexx S First Modular Helmet Webbikeworld
Solved 1 Point The Taylor Series For F X Exf X Ex At A Chegg Com

12 Outrageous Must Try Foods At The Cne 19 Food Network Canada

Martingale Transform Question Mathematics Stack Exchange

Ipe Material Notes

Classical Relations And Fuzzy Relations N N Cartesian

Ipe Material Notes
Sony Nex F3 Review

Section 2 3 Suppose X Is A Discrete Type Random Variable With Outcome Space S And P M F F X The Mean Of X Is The Variance Of X Is The Standard Deviation Ppt Download

Chapter 2 Maths 3

Solved Write A Program C That Takes As Input The Value Of Chegg Com

Solved Suppose E X 3 And E Y 1 Evaluate The Follow Chegg Com
Taylor Series Wikipedia

Ex Find The Taylor Series Of E X Youtube
The Integer N For Which Lim X 0 Cosx 1 Cosx Ex Is A Finite Non Zero Number Is Sarthaks Econnect Largest Online Education Community

Solved The Taylor Series For F X Ex At A 4 A Is N 0cn Chegg Com

The Value Of Lim X 0 E X 2e X 3e X N E X N

Exx Group Exchangexgroup Twitter

Lamy Nexx Product Information And Writing Systems

Evaluate The Following Definite Integrals As Limit Of Sums Int 0 4 X E 2x Dx Mathematics Shaalaa Com

From Nex To Alpha Sony Introduces Megapixel A5000 Digital Photography Review

03 Truncation Errors

C Exercises Calculate E Raise To The Power X Using Sum Of First N Terms Of Taylor Series W3resource
Derivative Rules

6 5 3 The Method Of Integration By Parts

Taylor S Theorem And Lagrange Remainder Mathematics Stack Exchange

Ex 8 1 12 Find X 1 6 X 1 6 Chapter 8 Binomial

File Handling In C An Easy Concept To Manage Your Files In C Dataflair

La Fonction Exponentielle

Electric Fields

Error Coding N Transmission Process May Introduce Errors

Supramolecular Cages As Differential Sensors For Dicarboxylate Anions Guest Length Sensing Using Principal Component Analysis Of Esi Ms And 1 H Nmr R Chemical Science Rsc Publishing Doi 10 1039 C8sck
Prove Some Inequalities Using The Function Ex 1 X Stumbling Robot

Complex Fourier Series Youtube

The Real Number E Boundless Algebra
List Of Integrals Of Exponential Functions Wikipedia

Nexx X Wed2 X Patrol A Wildly Versatile Helmet

Unit 2 Questions Key

Ex 7 2 36 Integrate X 1 X Log X 2 X Teachoo

0 Ece 222 Electric Circuit Analysis Ii Chapter 1 Mathematical Formulae Identities Herbert G Mayer Psu Status 5 1 16 For Use At Ccut Spring Ppt Download

Cne Heritage The Princes Gates 1927

Amazon Com 7artisans 35mm F1 2 Large Aperture Prime Aps C Aluminum Lens For Sony E Mount Mirrorless Cameras A6500 A6300 A6100 A6000 A5100 A5000 ii iii Nex 3 Nex 3n Nex 5 Nex 5t Nex 5r

0 Ece 222 Electric Circuit Analysis Ii Chapter 1 Mathematical Formulae Identities Herbert G Mayer Psu Status 5 1 16 For Use At Ccut Spring Ppt Download
Exponential Function Wikipedia

Nexx Oem

Arithmetic Of Random Variables Adding Constants To Random

Common Denominator
Integration By Parts

12 Outrageous Must Try Foods At The Cne 19 Food Network Canada

Reduction Formula For X N Exp Ax Youtube
Exponential Function Wikipedia

A Doubt About Schlomilch Remainder Formula S Proof Mathematics Stack Exchange

For The Function F X E X 1 E X 1 If N D Denotes The

C Exercises Calculate E Raise To The Power X Using Sum Of First N Terms Of Taylor Series W3resource

Statistic Symbols By School Stuff Issuu

If Int Xe X Sqrt 1 E X Dx F X Sqrt 1 E X 2logg X C Then

Ex 1 4 7 If A X X Is A Natural Number B X X Is

15 Cne Food Recipes To Make At Home This Year Food Network Canada

The Value Of The Integral Int E 1 E 2 Log E X X Dx Is
Exponential Function Wikipedia

Fourier Series

If Int E X 1 E X 1 Dx F X C Then F X Is Equal To

Solved 10 Pts Prove That For Binomial Distribution B N Chegg Com

Find The Coefficient Of 1 X In The Expansion Of 1 X N 1 X X N Cbse Class 11 Learn Cbse Forum

Sony Nex 7 Vs Sony A6000 Detailed Comparison

System Properties Linear Causal Time Invariant Stable Signal Processing Stack Exchange

Consider A Random Variable X Find Its Pmf Mathematics Stack Exchange

Nexx X Vilitur Review Nexx S First Modular Helmet Webbikeworld

Gas Laws Zadosci

Log Rules Logarithm Rules

Loyal X Nainowale Ne X Ride It By V C Beats

Solved Define F X Integral X 0 E T 2 Dt A Using The Chegg Com

Hotel X Toronto Business Meetings Downtown Toronto Exhibition Palace

The Guillou Quisquater Gq Identification Scheme For Zero Knowledge Proof By Prof Bill Buchanan Obe Asecuritysite When Bob Met Alice Medium

Error Coding N Transmission Process May Introduce Errors