Lu Xubn
Txt 0430 hdrsgml 0430 accession number conformed submission type 8k public document count 16 conformed period of report 0430 item information results of operations and financial condition item information financial statements and exhibits filed as of.
Lu xubn. Txt hdrsgml accession number conformed submission type 8k public document count 15 conformed period of report item information regulation fd disclosure item information financial statements and exhibits filed as of date date as. TheÐrojectÇutenbergÅBookïfÄiscoursðarÍaximilienÒobespierre — 21ïctob€x171erêuillet€ˆ94,ây‚ ‚ ‚ ï–puisЏŸ‰‹›·È‹8¡a. ¾®¶ \6öŽy ,$»yA Há¶ §Ö¾Ú Üàåg1Š\VùðúÇ Ï=ÓÅm ÇÙ¤ ÀXÄÜgx å Í ¤ $Ê ü¨‚–PA Hëʃ“ÎGZ†þîû“=¥ßøNÛWÑ´9®¤›TkC Lÿ, d x œn 3ÿBÍÿþ ?ûU(¾ðÑéá @ÿÜOÿµQíeü ðÿ0äóüÉ ‰&# ÝQHÀèyÆ03\Þ¹&E» 4Ì 'õ?ñ » –,ôˆÂ›xP\\ ÑÈåWèX Àb¼º“ Gï q¦¢´¥ž.
ï $ öý & þú ( * ¡ , i Æ 0 )a 2 1s 4 98 6 a} 8 i¨ r6 ‹= > ” @ b ¥Ï d ®ù f ¸w h Á j É¥ l Ò‘ n Û¤ p ä¦ r íŠ t öv v ÿ x é z \ œ ^ "Ç ` ¢ b 4 d.

Numerical Solution Of Elliptic Partial Differential Equation Programmer Sought
Find The Solution Of Uxx Uyy 0 Y 0 And 0 X 1 With Ux 0 Y U L Y 0 U X 0 D X 1 2 And U X 0 Sarthaks Econnect Largest Online Education Community

Postcranial Elements Of Wilaru Tedfordi C D K P S U X A And W Download Scientific Diagram
Lu Xubn のギャラリー

Show The Following A Substitution Of U X T Chegg Com

Lu Cc A X Cn A Z A 3 A A A A Cu H Ci Ua Ta Ii Ii Jtia I I N Nnia N A Gt A A

The Meshless Numerical Simulation Of Kelvin Helmholtz Instability During The Wave Growth Of Liquid Liquid Slug Flow Sciencedirect
Math42 Partial Differential Equation Equations

Linear Equations Overview Of Lup Decomposition Using Floating
Adomian Decomposition Method Wikipedia

Impact Of Developing Enso On Tibetan Plateau Summer Rainfall In Journal Of Climate Volume 34 Issue 9 21

Convergence Theorems For Fixed Points Of Multivalued Mappings In Hilbert Spaces Topic Of Research Paper In Mathematics Download Scholarly Article Pdf And Read For Free On Cyberleninka Open Science Hub

A New Practical And Easy Method Of Learning The German Language Y Y I J Y Lt A X 9 L I Xu German Cupital Zeiters

Solved Given A Separable Solution To A Pde With General S Chegg Com

Papers And Notes Cgad

Engineering Computation Part 3 E T S I

Differential Equations Ppt Download
Savings On Elya Women S Polished Initial Pendant F Also In M C B N L K G E O T I X J Z U Q H D R Y

Solved Consider The Second Order Partial Differential Equ Chegg Com

Differential Equations Ppt Download

Solved Consider The Nonhomogeneous Heat Equation 2 Lu Wit Chegg Com

Diffusion Equations Springerlink

Obfuscated Hello World Program

Answered The Venn Diagram Shows Sets A B C Bartleby

Differential Equations Ppt Download

Let The Sides Of A Parallelogram Be U A U B V A And V B Where

On The Numerical Solution Of Differential Equations

1 D Heat Equation

Diffusion Equations Springerlink

Use Of Fourier Series To Solve Classical Partial Differential Equations Involving Heat And Waves Me 535 William Durham Ppt Download

Solution Of The Heat Equation

Beispiel 4 L Ose Das Problem Utt 9uxx 4xt U X 0 X2 Ut X 0

Methods For Solution Of The System Of Equations

Circle The Letter That Comes First In A Z Series Printable Worksheet 4 Smart Kindergarten Kids

An Introduction To Partial Differential Equation With Matlab Pages 151 0 Flip Pdf Download Fliphtml5

A D G J And M Paired Pulse Waves For The Activator U 3 Download Scientific Diagram

Building Control Algorithms For State Space Search Luger Artificial Intelligence 5 Th Edition C Pearson Education Limited Ppt Download

A Find The Solution U X Y Of Laplace S Equation In The Rectangle 0 X A 0 Y B That Satisfies The Boundary Conditions U 0 Y 0 U A Y 0 0 Y B U X 0 0 U X B G X 0 X A B Find The Solution If G X X 0 X A 2 A X A 2 X A C Fora 3 And B 1

Solving Tridiagonal System By Lu Decomposition And Backward

Epidemiological And Clinical Characteristics Of 99 Cases Of 19 Novel Coronavirus Pneumonia In Wuhan China A Descriptive Study The Lancet

Engineering Research Series Id 02 Gt Gt H Ci Uj W T 1 L O 0 U Wj 1 B O O Gt T J C Ex O Lt Ciop U 0
Pdf Lu Decomposition Partial Pivoting C Sima Mas Hafi And Hoseyn Amiri Academia Edu

Math 257 Assignment 8 Due Wednesday March 16

Problem 1
1 Vytah

Solved Consider The Wave Equation 2u T2 9 2u X2 0 Chegg Com

Partial Differential Equations 3 Simple Examples

Nonlinear Problems Springerlink

Nonlinear Problems Springerlink

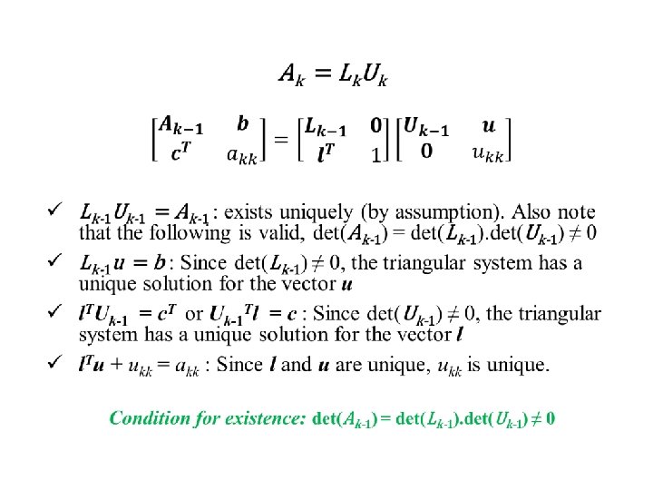
Chapter 10 Lu Decomposition Ppt Video Online Download

Jacobi Iteration And Spectral Radius By Ryan Reiff Towards Data Science

Solution Of The Heat Equation

Unit 2 Seminar Welcome To Mm150 To Resize Your Pods Ppt Download
Integration By Parts Wikipedia

Solution Of The Heat Equation
Integration By Parts Wikipedia

3 Consider A Functional Of The Form F U Sºz Chegg Com

Solved Lower Triangular Matrix And U Is An B If The N X N Chegg Com

Finite Difference Method For 1d Poisson Equation With Mixed Boundary Conditions Mathematica Stack Exchange

Za And 9 Other Words To Help You Win At Scrabble Merriam Webster

Solutions For Homework Assignment 4
Consider The One Dimensional Wave Equation With O Constant 321 E T M Mm Subject To The Boundaiy Conditions Old I D All T O Course Hero



