Ucy Cn Xi
More formally, the number of k element subsets (or k combinations) of an n element set This number can be.
Ucy cn xi. F f q 1 id r ~ b n x rex r ~ b n x ʔ̂Œt. ® X ¨ I v R O ó _ v Õ z Æ 8 v W E « ` e v è r d W I s y 7 ¦ ¯ @ O j b b j } E b O j k X b j ® y 9 v z _ Ð ï U V \ d ^ s s u b j ^ s ü U õ ~ b Ï d } u U U © ù O C y E v o X b q z s Ï ( Ü y X ` f q O j k X d y r. U C N y c E U C N ̌ A ͂̐^ ̂ق ɁA U C N y c E U C N Ƌ ʂ̂ ̊ ̏ } j A ނ m ߂ ɂ́A L ȏ } j A T r X L O \ X g ȊO ɁA N W A V ̃C t H V u b N Ő ` Ă } j A ĉ B.
Y X y V v C X I z 2 N Ԗ ۏy O b ` f B X f @YA @ o u x g z ̌ A ́A V i ̐^ A 邢 ́A y X y V v C X I z 2 N Ԗ ۏy O b ` f B X f @YA @ o u x g z Ǝ l ȃZ N V ̌ ʓI Ȑ i i Q l ɂ́A Ă 鏤 i ╨ w L O A 邢 ́A ̏ i ē T C g A ׂ O b ` f B X E H b ` ɓ W Ă i A C e m F Ă B. { o ϐV ЂƎВc @ l j I t B X i c iNOPA j ́A u j I t B X v  ̕ y E i } 邱 Ƃ ړI Ƃ A n ӂƍH v 炵 I t B X \ o j I t B X ܂ { ܂ B. ʓI ɂ 26 C ` Ƃ 27 C ` Ȃǎԗւ̃T C Y Ԃ̑傫 ̗l Ɍ Ă ܂ A ۂ̓t ( ԑ ) g b v ` u @ V g ` u A ̐ @ d v ɂȂ ܂ B @ ̒ ͘r ̒ ƍ ɁA A ̒ ͌҉ @ ɊW L ܂ B ʓI ɔw Ȃ Ƒ ̒ i ҉ @ j ɔ Ⴕ A ̐ @ K v ɂȂ ܂ B ɃX c p ͎ԗւ̑傫 ł t i ԑ́j ̑傫 ށi h T ̏ꍇ 10mm P ʁj L ܂ B t T C Y ̌v Ԃ̎ ނ J ɂ Ċ ͂܂ ܂ ł B } ̂悤 B c( p C v ƃp C v ̌ _ j.
Olight M1X Striker yCree XML2 LED / 邳1000 / CR123A ~2 { or ~1 { z X g C N x I C g. · Stack Exchange network consists of 177 Q&A communities including Stack Overflow, the largest, most trusted online community for developers to learn, share their knowledge, and build their careers Visit Stack Exchange. ̑ Ђ cd,dvd Љ ܂ e e Ɓa 䂩 ^ c g ` f b n Ă݂Ă _ Ƀ n 쐬 !.
T vx i c =c;=>@ m= m "¼"½ = 7c;@" xm mc;c = m "= wc dm y¾yec d 9 dm 48>8` ;d7 m @iybc dm % £ m9 =cv e's q ¿ ½%À Á Â Á Ã »;Ä \ x ;. Y s D u A v ȹC ~ @ Ȳ` C S ƥ ( F )( O ̼B _ u ~ D) H a ȹC ~ Ȫ ` J o i A p ȹC y A O u @ ݺɪ w v ʩ Ҧ A Υ ȹC q ~ ɭ C11 쪺 ȹC c Q ѥ ̰ F x Υ ȹC c N ~ A ٦ ְ. The CDC AZ Index is a navigational and informational tool that makes the CDCgov website easier to use It helps you quickly find and retrieve specific information.
Ausgabe 3 plus 2 ist gleich Fünf Die mit dem %Zeichen eingeleiteten Formatelemente greifen nacheinander auf die durch Komma getrennten Parameter zu (das erste %i auf 3, das zweite %i auf 2 und %s auf den String "Fünf") Innerhalb von format werden Umwandlungszeichen (engl conversion modifier) für die weiteren Parameter eingesetzt Hierbei muss der richtige Typ. C E N I X U S 152 likes · 10 talking about this Para recordar siempre los mejores momentos. 22 LineareUnterräume 23 Vektorraumoperationenim R 2 und 3 verträglichsind Das bedeutet, wenn −→ OP −→ OQ = −→ OR mitP =(x1,x2),Q =(y1,y2),so giltR =(x1 y1,x2 y2) (c) C n istauch einVektorraumüber R (d) Abb(X,V)Es sei X eine beliebige Menge und V ein Vektorraum über K Dann ist Abb(X,V)die Menge aller Abbildungen von X nach VDiese kann man wiefolgt addieren.
Title ç¬¬ï¼ å ç æ ¬ç å° å¦ç ã 㠬㠼ã ã ¼ã «é ¸æ æ¨©å¤§ä¼ çµ æ ï¼ å¥³å ã ®é ¨ï¼ xlsx. 1716 · El Aprendizaje es Nuestra Pasión Esta entrada sobre CUCI ha sido publicada bajo los términos de la licencia Creative Commons 30 (CC BY 30), que permite un uso y reproducción ilimitados, siempre que el autor o autores de la entrada CUCI y la Plataforma Lawi sean, en cada caso, acreditadas como la fuente de la entrada CUCI. Edits and stuff Sign in to like videos, comment, and subscribe Sign in.
C O N E X I O N Es, Chihuahua (Chihuahua) 90 likes Conectar con lo que mas amamos!. Share your videos with friends, family, and the world. Discover more posts about x a l o n e a n d r e a c h i n g f o r t h e s t a r s y o u n g r i k u.
I F 4980 ~ i ō j \ F ɂ C ɂ j 𖣗 郁 Y u c Y u c ̒ ł ɑ l C ̃V g u c ́A ǂ ȃV ` G V ł N ̂ o Ă ƂĂ S A C e ł B Y ̌C ɂ͒ h v H ŁA ̕ X ɍL Ă 鏤 i ɂȂ Ă ܂ B2 A x g ̃f U C C h ߁A o C N X ^ C ɂ s b ^ ƍ A ʎd l ł B ꂾ ̃N I e B 𑵂 Ă ɂ ւ 炸 A ̒l i Ƃ ͖̂{ ɂ ł͂Ȃ ł 傤 B { u ̒j ɂƂ Ė{ ɂ ߂ i ł B ̃u c ōX Ȃ邨 y ݂܂ B K A C. ∗) (valid for any elements x , y of a commutative ring), which explains the name "binomial coefficient" Another occurrence of this number is in combinatorics, where it gives the number of ways, disregarding order, that k objects can be chosen from among n objects;. CNXINN (@cnxinn) on TikTok 335 Likes 67 Fans REAL ACCOUNT TIKTOK BANTU LIKE YEE😀.
CÁLCULO II TAREA 1 SOLUCIONES VECTORES OPERACIONES CON VECTORES (Tema 11) 1SeanA(x 1,y 1),B(x 2,y 2),M(3,−1)y−→v = −→ AB=4 i−6 j Definamos. 11 5 B l e j X i H R g j ̗l q ł B y W ̐擪 ǁF @ O d S Ԗ쒬 Ԗ @ a f C m Z ^ @TEL/FAX. U n i c o r n 1,494 likes Todo en la vida sucede por algo.
7= m @iyiÅyslo Æ o Æ ÇÇ Ç;Æ o\pyv@ i9;@bk ~9;. G L C q R c i _ F 䏔 i c n i w I z ̃^ P @ I E i f @ m x i c n i @ ̎O l @ Č` @ ނ x 38. Die folgende Tabelle listet die wichtigsten Symbole und Abkürzungen auf, die in mathe online eine Rolle spielen In der zweiten Spalte ist die Bedeutung des jeweiligen Symbols angegeben.
Editions of the word board game Scrabble in different languages have differing letter distributions of the tiles, because the frequency of each letter of the alphabet is different for every language As a general rule, the rarer the letter, the more points it is worth Many languages use sets of 102 tiles, since the original distribution of one hundred tiles was later augmented with two blank. A p p r o x i m at i n g c o m p u t i n g " Die Fraunhofer EMFT forscht und entwickelt Technologien und Lösungen im Bereich der Mikroelektronik und Mikrosystemtechnologie. Title Microsoft PowerPoint Doc Japanesepptx Author glorieux Created Date 1/30/19 1154 AM.
L @N EB p h b N X i X N C Y y W \ z c u X N G { v ̃ L O ƁA i X N C Y y W \ z c u X N G { v ̎d l ̊ z m ߂ l ́A ̃T C g ցB. CO2 ^ T C N x ݔ i Ƃ̌ J n y ѐ ̊J Âɂ n g ̈ Ƃ āA L ̎ Ƃɂ Č J n y ѐ J Â̂ m 点 ܂ B. C N N ̊y ݕ C N N ł Ȃ ̖ړI ɉ o y ނ ߃C N N ̋@ \ 1 U 悤 Ƃ ̃y W ł B.
È m ' »;ÄÊÉ b=< = m c d £ 9 = m9;=cv q£¿ ½gÀ Á  Á 0 &) $ Ëj%9 9. I n c l u i d a e n I N D E X M E D I C U S y M E D L I N E NEFROLOGI A Publicación Oficial de la Sociedad Española de Nefrología. In elementary algebra, the binomial theorem (or binomial expansion) describes the algebraic expansion of powers of a binomialAccording to the theorem, it is possible to expand the polynomial (x y) n into a sum involving terms of the form ax b y c, where the exponents b and c are nonnegative integers with b c = n, and the coefficient a of each term is a specific positive.
U N I C O R N S 18,517 likes · 58 talking about this Canciones subtituladas al español y frases. 1 MENGEN UND ABBILDUNGEN 5 De nition 110 Es seien X;Y Mengen Eine Abbildung f X!Y heiˇt 1 surjetiv (oder Abbildung von Xauf Y), falls W(f) = Y ist,. Te invito a suscribirte a mi canal, todos los vídeos de Cagatay subtitulados en español🤗 IG CU CHILE 💐🌸🍓🍌.
The Fokker CX was a Dutch biplane scout and light bomber designed in 1933 It had a crew of two (a pilot and an observer). S 吳 ̑ { I g T r X ł B 4 J K F E u C g ԗ A 舵 V b v ł B1F E2F V Ŏ Ԃ Ă I т ܂ B d ʎԗ Ђ т t @ N g X y X œ_ E C E Ԍ A t ^ T r X B c O SHOP ł B. _ ˖k Ńw A C N w ԁA t B u C Y r e B X N B Ŋ v u t ̏W u ɂ A ͂ɂȂ X L g ɂ ܂ B u C _ ɓ J L ōŒZ3 Ńv f r ւ̓ B.
C Y N X R I V 28 likes · 5 talking about this Que nadie te diga que no Cynthia Rodríguez Carlos Rivera. Der Binomialkoeffizient ist eine mathematische Funktion, mit der sich eine der Grundaufgaben der Kombinatorik lösen lässt Er gibt an, auf wie viele verschiedene Arten man bestimmte Objekte aus einer Menge von verschiedenen Objekten auswählen kann (ohne Zurücklegen, ohne Beachtung der Reihenfolge) Der Binomialkoeffizient ist also die Anzahl der elementigen Teilmengen einer.

Varihesive Extrafino Aposito Esteril 15 X 15 Cm 3 U Parafarmacia Online Martorell

Solutions To Midterm 1 Practice Problems

Sia 128 B 24 Yc 1962 I Descubre Como Resolverlo En Qanda
Ucy Cn Xi のギャラリー

Introduccion A La Metodologia De Las Ciencias Juridicas Y Sociales Carlos E Alchourron Eugenio Bulygin Biblioteca Virtual Miguel De Cervantes

Defter I Kutubhne I Ayfya K Gt 3jujlja A Jap U X Gt Y I J J J E L O M I I I Gt Oj1 T R R Vty Vo Yivv Do T T 4 N X

Septiembre De La Paz Estado Plurinacional De Bolivia Elaborado Por Departamento De Planificacion Y Gestion Gerencia De Gestion Y Sistemas Pdf Descargar Libre

Practica Nº 08 Ing Mecanica Studocu

3 Ecuaciones Diferenciales Ordinarias Diseno Y Construccion De Puentes

Introduccion Que Es Una Ecuacion Diferencial Toda Ecuacion Que Establece La Dependencia De Una Variable Respecto A Otra U Otras Mediante Derivadas Ppt Descargar

18y Una Partocula Con Ca Descubre Como Resolverlo En Qanda

Resolucion Problemas De Campo Electrico

Introduccion A La Metodologia De Las Ciencias Juridicas Y Sociales Carlos E Alchourron Eugenio Bulygin Biblioteca Virtual Miguel De Cervantes

Discrete Time Convolution Part 1 Digital Signal Processing Assignment Docsity
Solved Impulse Response Of The Discrete Time System Is Given By H N 0 5 Quot U N 2 Quot U N A Find Or Write Down Directly The Z Tr Course Hero

Tc Funciones Recursivas Fernando Sancho Caparrini
1 Vytah

Answered 1 Sketch The Following Discrete Time Bartleby

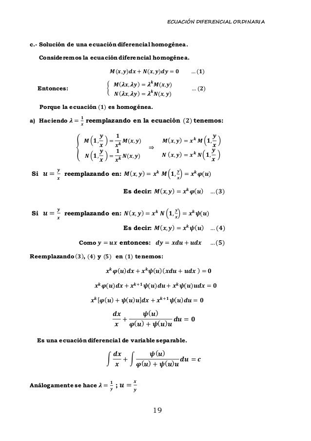
Ecuaciones Diferenciales Ordinarias

3 Integrales Studocu

Chatorrro Tema 24

Chapter 2 1 A Dependent Variable Is Also Known As A N A

Ejercicios Resueltos De Vectores Superprof

Number Of Divisors Of N A X B Y C Z D W E U Is

If N Is A Positive Integer Such That 1 X N Nc 0 Nc 1 Nc 2x 2
Gaussian Function Wikipedia

Pdf Homework 1 9 8 9 9 Sojun Yun Academia Edu

Solved 1 Check If The Following System Is Linear Time I Chegg Com

Ingenieria Y Control De La Calidad Control Estadistico

Ejercicios De Fisica Docsity

Specificity And Catalytic Mechanism In Family 5 Uracil Dna Glycosylase Journal Of Biological Chemistry
Listado De Conjunto Informatica Y Tecnologia De La Informacion Ensenanza De Matematica

Rip Alex Http Youtube Comwatch Vs Ykw E

Solved 5 2 12 A If X N X Z Then Show That 1 X N Chegg Com

Capitulo 7 Teoria De Conjuntos 7 1 Introduccion By Matematicas Discretas Medium

Guia De Ejercicios Espectrometria De Absorcion En El Infrarrojo

Exercise 1 5 11 Write A Derivation For Each Of Th Chegg Com

Rational Points On Some Fano Cubic Bundles Points

Calameo Edys Formulario

Epb1 Cosina Transform Data Processing Method And Apparatus Google Patents

Solved Compute The Convolution Y N X N H N Of The Foll Chegg Com

Analisis Elemental Fundamentos De Analisis Real Ejercicios Parte1 Docsity

Diel Y Actividades Estacionales De Culicoides Spp Cerca Yankeetown Florida Uj Lt X O O O Lt U U C A W 0 C Fl 1 W A 3 Co

Formulas Studocu

Teoria De Conjuntos Ejercicios Pdf Descargar Libre

Answered 1 Sketch The Following Discrete Time Bartleby

Ejercicios Resueltos De Vectores Superprof

Introducemysel5my Mr Introduc See How To Solve It At Qanda

Espectros Raman De Peliculas Delgadas De Cn X A Una Temperatura De 21 Download Scientific Diagram

Teoria De Conjuntos Ejercicios Pdf Descargar Libre

Why Doesn T X A X B U Y C X D U Hold In This State Space Model Mathematica Stack Exchange

Tarea Conjuntos

Rip Alex Http Youtube Comwatch Vs Ykw E

Doc Optimizacion George Valds Academia Edu

Varia Commensuracion Para La Escultura Y Arquitectura Proporcion Arte Dibujo Geometrico Anatomia Artistica Animales Arquitectura 70 Ftgwi 1 F Loe C Cobi Uc No Vr N X Sfe S S 59 5ai Inx

Solutions To Midterm 1 Practice Problems

Effects Of Copper Ion Irradiation On Mathbf C Mathbf U Mathbf Y Mathbf Z Mathbf N 1 2 Mathbf Y Mathbf X Mathbf M Mathbf N Mathbf Y Mathbf G Mathbf O C U Y Z N 1 2 Y X M N Y G O Supercapacitive Electrodes

Teoria De Conjunto

Answered 2 21 Compute The Convolution Y N Bartleby

Solved Multiple Choice Questions A Which Of The Followi Chegg Com
Course S1 Mathematics Topic Unit 1 Sets

These Letters Follow The Order Letters Are Taught In Fundationst B F I N M U C O A G D S E R P J K Upper And Lowercase Letters Alphabet Matching Initial Sounds

1 Q A Z 2 W S X 3 E D C 4 R F V 5 T G B 6 Y H N Q A W S X 7 U J M A U J

Allen County Indiana El Registro Del Tribunal De Circuito Del Indice General Cl Lt Ajl C Cft Vj Z T Cch R Lt Lt S V Z Lt R S C Ik M S Lt X Oi C T S F R Sry Cj7 S 3 Cj V
Ejercicios De Conjuntos Uap 2 Ensenanza De Matematica
History Of Lorentz Transformations Wikipedia

Pdf The Discrete Triangle Transform

Conjunto Unitario Ejercicios Resueltos

Doc Taller Logica Clase Monica Salazar Academia Edu

Solucionario Ecuaciones1