
El Metodo De Newton Raphson Y El Metodo De Las Secantes Ppt Descargar

15 2 Double Integrals Over General Regions Mathematics Libretexts

Videos Revive El Logitech G Rx De Pirineos Barcelona
Gg Rxgy のギャラリー

Zona Casio Imagenes El Grx 5600ge 1jr De G Shock Y Globe

Funciones Dos Veces Diferenciables Pdf Free Download

Enerzona Omega 3 Rx 1 G 1 Caps Farmacia Coliseum

Show That G Y H Int Limits X Y Circ F T b D Nu H T For Some Measure Nu On X Mathematics Stack Exchange

0007 Gundam Fix Figuracion G 3 Armadura G Rx 78 3 Y G Fighter Figura De Accion Ebay

La Aceleracion De La Gravedad En El Interior Y En El Exterior De Una Distribucion Esferica Y Uniforme De Masa

Eassun Rx G Pro Negras Y Verdes Sport Online Al Mejor Precio

Fibra Y Enzimas Rx Caja 30 X 8 5g De Scitec Green Series En Salud Digestiva De Masmusculo
Functional Derivative Wikipedia

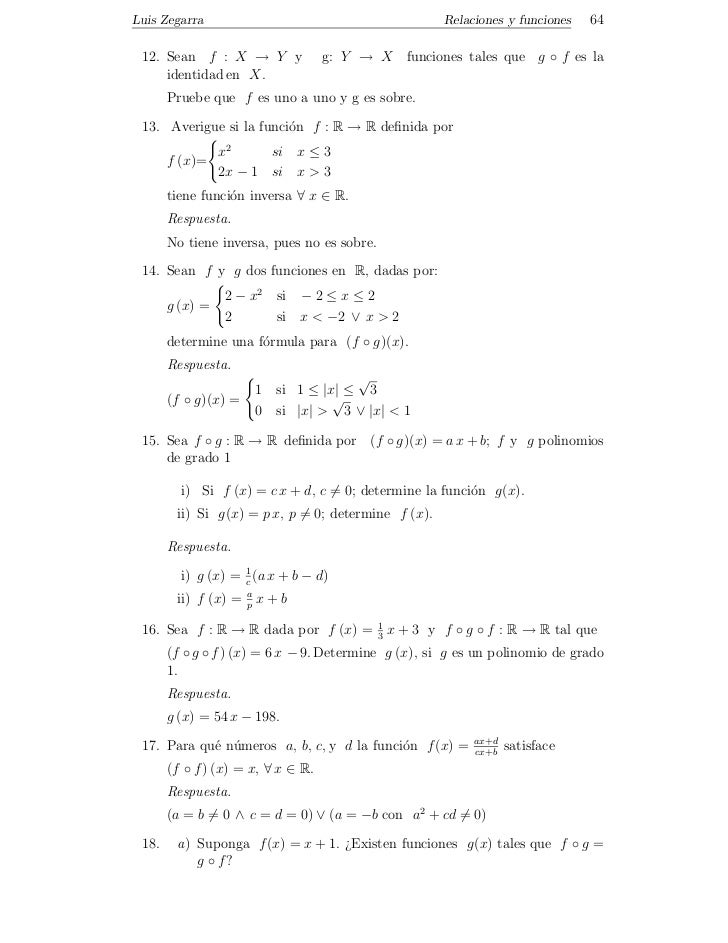
Relaciones Y Funciones

Shimano Grx La Primera Serie De Componentes Especificos Para Gravel

Metodo De Newton

Grados Y Polinomios Ejercicios Resueltos

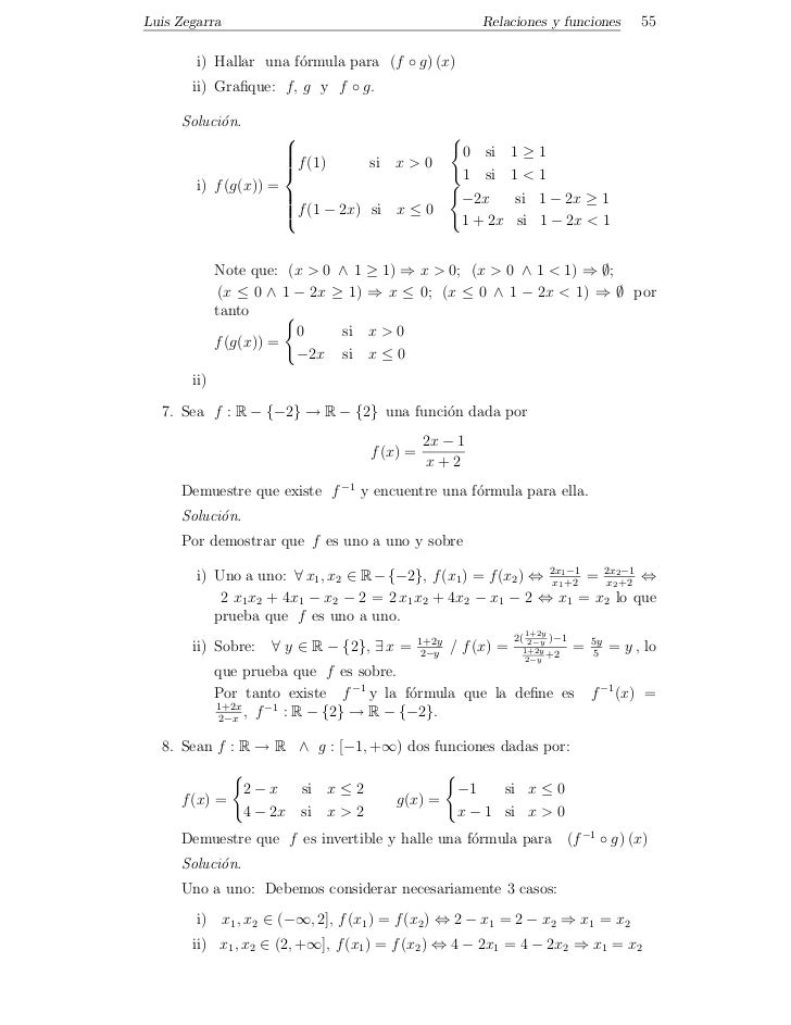
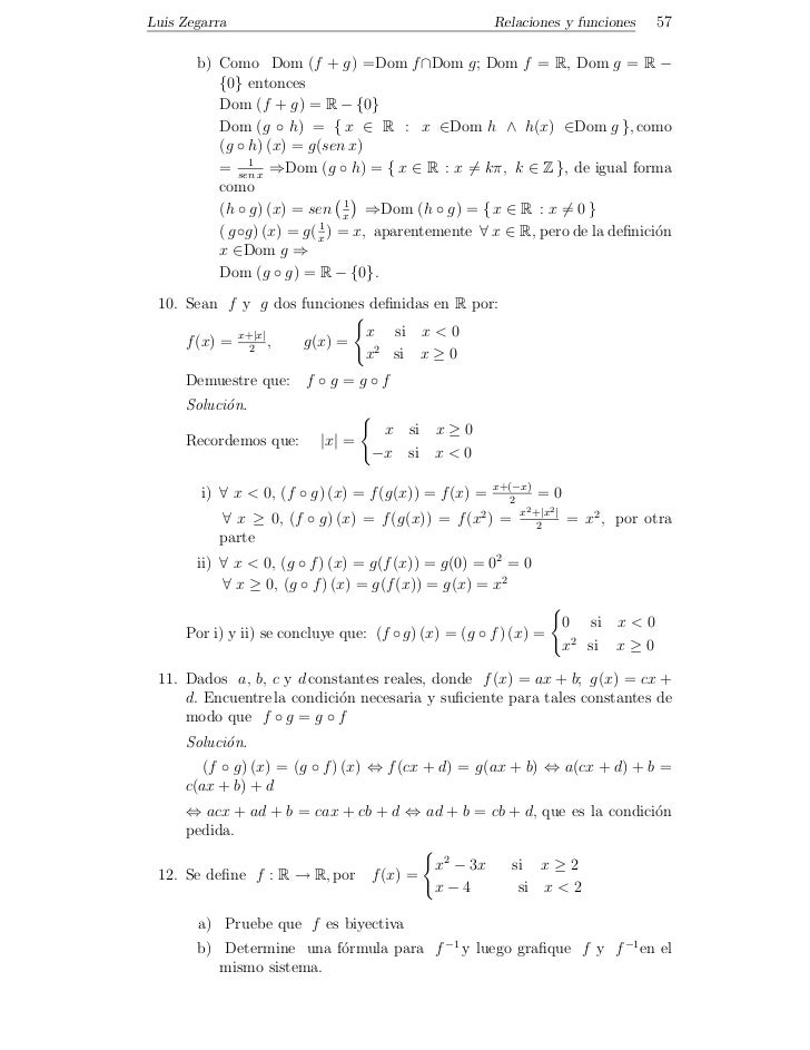
Relaciones Y Funciones

Alicante Condimento Provenzal Deshidratado

Solved Question 8 Write A Chain Rule Formula For The Foll Chegg Com

G Nicerf Ask Transmisor Y Receptor Rf Tx Rx Modulo Stx8 Y Srx8 De Alta Potencia Superheliodina 433 315mhz Raspberry Pi Buy Transmisor Y Receptor Ask Modulo Rf Modulo Tx Modulo Rx Modulo Tx Rx Product On Alibaba Com

2pz Foxeer Lollipop Fpv Antenna 5 8g 2 3dbi Rhcp Super Mini Tx Antenna Rx Rp Sma Maschio Per Rc Fpv Drone Rosso Amazon Es Juguetes Y Juegos

If G X Y Measurable Why G Can Be Boundedly Approximate By Functions Of The Form Sum K 1 N F K X H K Y Mathematics Stack Exchange

If F X 2x 3 G X X 3 5 Then Find Fog And Show That Fog Is

Mil Anuncios Com Seadoo Sparck Rxp Rx Gtx Adhesivos G

The Transverse Lateral And Longitudinal Acceleration Force Components Download Scientific Diagram

1 Tensor De Curvatura En Grupos Compactos

Dani Preparado Para Paella Con Azafran Sobres 9 Gr 1 X 9 G Amazon Es Alimentacion Y Bebidas

1 Example One To One Functions Let F R Aˆ A R Be Given By

Los Eliminados Del Logitech G Fia World Rx Of Catalunya

16 2 X Xg Y 6 12 G X X

Stability And Boundedness Of Solutions Of A Kind Of Third Order Delay Differential Equations

Solved Let F X G Y Be Continuous Functions Defined For Chegg Com
Solved 15 2 Points Scalcet8 3 4 059 0 6 Submissions Used Find All Points On The Graph Of The Function F X 2 Cos X Cos X At Which The Ta Course Hero

Misc 1 Let F X 10x 7 Find G Such That Gof Fog Ir

Relaciones Y Funciones

Doble Racion De Rx En El Circuit

G Armani Rx 7180 5001 53 16 Visualis Es

Solved Question 6 Write A Chain Rule Formula For The Foll Chegg Com
Polinomios Ciencia Computacional Algoritmos

Ejercicios Directorios De Linux

Let G Rvecr Be A Differentiable Function Satisfying G X G Y G X

Matematica Bgu 1 By Paul Quinde Issuu

1 5 Sean P X G X R X Descubre Como Resolverlo En Qanda

Let F 1 2 2 Rarr R And G 1 2 2 Rarr R Be Functions Defined B

Rx Muscle Force 1800 G Marnys
Solved If W F X Y G R Theta With X R Cos Theta Chegg Com

Shimano Grx Fc Rx810 Set De Biela 1x11 42d Negro Bikester Es

Solved Use The Values In The Table Below To Answer Each O Chegg Com

Met Rx Big 100 Barrita Para Reemplazar Comidas Churro De Vainilla Y Caramelo 9 Barritas 100 G 3 52 Oz Cada Una Iherb

Yammy Tarrito De Manzana Pera Cereales Farmacia 195 Gr X 12 Uds 6m 4000 G Amazon Es Alimentacion Y Bebidas

Solved Letr X G H X Where H 1 2 9 2 3 H Chegg Com

Nutergia Barras Chocolate 42 Gr X 7 Barritas 7 Barritas X 42 Gramos 0 G Amazon Es Alimentacion Y Bebidas

Answered 21 Suppose That F X Y Can Be Written Bartleby

Sfp 1 25g km Rx Sfp Monomodo Sm Lc 1 25gbps km Rx Seguridad Rios Y Ortiz S L

Gamakatsu G Carp Specialist Rx Tamano 4

Logan G Gafas Tienda Online De Zapatos Ropa Y Complementos De Marca
1 Vytah

La Aceleracion De La Gravedad En El Interior Y En El Exterior De Una Distribucion Esferica Y Uniforme De Masa

P J Nuevo Ferrocarril Comercial Y Mapa Del Condado De Hannifan Co Del Estado De Nueva Yort Y Gazetteer Ei Finc M R Jtco M Si 9 5 I I3i8 Betas Bs3

Thealoz Duo Gel Unidosis 0 4 Gr X 30 Unidades Okfarma Es

Bonner Zoologische Monographien La Zoologia 125 Fig 39 Distribucion De La Gymnopithys Hormigueros La G Superespecies

La Integral Definida En Forma Manual Y Con Geogebra Monografias Com

Answered For Z 13 Dt F X Y X G T Y Bartleby

Relaciones Y Funciones

Algebra Ii

Mazda 3 Bk 5 Ii Cr 6 Gg Gy Cx 7 Cx 9 Rx 8 Motor De La Ventana De Energia Regulador De Engranaje Ebay

Manybody Greens Functions Propagating Electron Or Hole Interacts

Jornadas Grx Health Data

Manybody Greens Functions Propagating Electron Or Hole Interacts

Sea El Monomio Calcula T Gr X Gr Y Gr Z Brainly Lat

El Reloj Royal Air Force X G Shock Gr B0raf 8a Gravitymaster Esta Inspirado En El Caza A Reaccion Eurofighter Typhoon Fans De Casio

11 Dados Los Polinomios P X G X R X 3x3 6x 5 X3 X 268 X2calcula A P X F X R X B Brainly Lat

Gamakatsu G Carp Specialist Rx Tamano 4

Funciones Especiales 1 Algebra Past Papers Math

Solved Use The Values In The Table Below To Answer Each O Chegg Com

Composicion De Funciones

Capitulo 4 Polinomios Pdf Free Download

Let F R 4 3 Rbe A Function As F X 4x 3x 4 The Inve

Respuestas Hoja1 Intro 3 Studocu

G Shock Gr B0raf Colaboracion Oficial De La Royal Air Force

La Integral Definida En Forma Manual Y Con Geogebra Monografias Com

Industrial Mathematics I Ppt Video Online Download
Let G R R Be Given By G X 3 4x If G N X Go Go Og X Show That F N X 4n 1 4 Nx If G N Sarthaks Econnect

Magen Rx De Luxacion Ac G Iv En La Proyeccion Frente A Y Axial De Download Scientific Diagram

Solved Use The Values In The Table Below To Answer Each O Chegg Com

Royal Canin Salsa Y Gelatina 24 X 85 G Pack Ahorro Mixto Al Mejor Precio En Zooplus

Registro De La Trigesima Tercera Infanteria Voluntaria De Massachusetts Del 1862 De Agosto Al 1865 De Agosto Ll I I 1i I Gt P 0 3 I S
Mathscene Functions Ii Lesson 1