Derivative Rules

Pdf Gronwall S Inequality Revisited

A Q J M Z O R W P I N B C L E X Drawing By Alain
Cntg Xnex のギャラリー

S T E X T En D Id B S P0 K En D
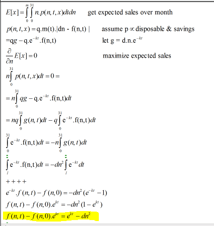
1 Vytah
Taylor Series Wikipedia

Exponentiation Wikipedia

Ontario Sessional Papers 18 No 11 15 51 Victoria Sessional Papers No 15 A 18 I P3 G 7 Lt O Hio Goooooooooc Oorocooooccrcoscooooooooo J5 3 Caoa C Scs03uouu2j I S Ss O 264 51 Victoria Sessional

Answered A Particle Mass 5 0 G Charge 40 Bartleby

The Real Number E Boundless Algebra

Answered T F A Suppose That F X Dx 12 And Bartleby

Pdf On The Mobius Function Of A Finite Group

Solved For Each Of The Following Systems Determine Wheth Chegg Com

Limit Calculator Wolfram Alpha

The Congregational Year Book Fo O O O M A O 1 Co X H A I X Co C C T X Ta Cc Qoioocococoinooco O5 Ro Xo Ocol 3 Coxoi Icoc A A3

Wpi Log 11 08 24 09 32 59

Wave Equations Springerlink

Tables Of Calculated Hour Angles And Altitude Azimuth Table 30n To 30s Ex Meridian Tables 60n To 60s And Calculated Reductions Ans Azimuths Of Bright Stars From 1 Hour To 3 Hours

Role Of Neutrophil Extracellular Traps In Regulation Of Lung Cancer Invasion And Metastasis Structural Insights From A Computational Model Biorxiv

Luxury Vintage Logo Set Calligraphic Letter Stock Vector Royalty Free

Answered 1 A Particle Mass 5 0 G Charge 40 Bartleby
Solved Compute The Dft Of Each Of The Following Finite Length Sequences Consi Solutioninn

Latex Basic Code

Amazon Com Topyee 50x60 Inch Tapestry Wall Hanging Math Education Pattern Formulas Tasks Plots Calculations And Geometrical Home Decorative Tapestries Wall Blanket For Dorm Living Room Bedroom Home Kitchen

A Q J M Z O R W P I N B C L E X Canvas Print Canvas Art By Alain

Macroeconomic Policy Under Regime Of Free Capital Flows

Evaluate The Pn X In X 1 0 1 Using The Generat Chegg Com

The Real Number E Boundless Algebra

A Strong Convergence Theorem For Solving Pseudo Monotone Variational Inequalities Using Projection Methods Springerlink

Solved 4 5 A Discrete Time Signal N Has Dtft Where B I Chegg Com

Solved Suppose G X X 4 Ln X And Let P N X Denote The Chegg Com

Integration Rules

L Hopital S Rule Wikipedia

Test Solution Summary S02

Big O Notation Wikipedia

Notation Symbols And Abbreviations Allsignalprocessing Com

One To One Function Explanation Examples

Function Definition Types Examples Facts Britannica

The Reconstructed Farmer Serial Lt La N R 3 Hmh To Toto To 1 E I To Tio H T Sto Coco L Coco 1

A Doubt About Schlomilch Remainder Formula S Proof Mathematics Stack Exchange

1 Using The Definition Of Conditional Expectatio Chegg Com
Taylor Series Wikipedia

Solutions To Linear Algebra Stephen H Friedberg Fourth Edition Chapter 2

Wpi Log 11 08 24 09 32 59
Lecture5 Bw Discrete Time And Continuous Time Exponential Function
Probsis Spectral Density Recurrence Relation

Differentiation Learning Outcomes Ppt Download

Isye6644 Notes 2 Cheat Sheet Studocu

What Does N And E Represent In This Set Please Solve This Equation Or Whatever It Is Brainly In

Signals Systems Ent 281 Chapter 1 Signals Systems

Solved Uestion 3 With E X T 2 And Cn T1 T2 A A Pr Chegg Com
Exponential Function Wikipedia

Ln7

Exponential Family Distribution And Sufficient Statistic Mathematics Stack Exchange

Solved 3 For E F A Galois Extension With G Gal E F O Chegg Com
Differential Equation Involving A Time Series Physics Forums
Dsp Assignments

Answered Exercise 3 Let F X X With N E N Bartleby

E Mathematical Constant Wikipedia

Pdf Lie Algebras And Representations A Brief Look

Algebraic Property Testing Ppt Download

Big O Notation