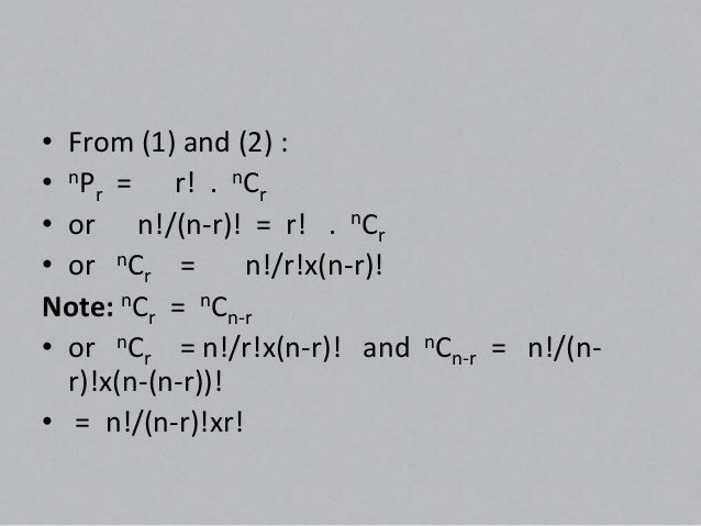
Cn R
Consider a urn containing n1 balls in which one ball is marked with ink Now, the ways of choosing r1 balls from n1 balls is C(n1,r1) which gives LHS Now, the same process is done in another way Either the marked ball included or not includ.
Cn r. May 17, 15 · Get an answer for 'Prove that n C r n C r1 = n1 C r' and find homework help for other Math questions at eNotes. But i still cant get left side to equal right side help. = 1) (i) Suppose that n > 2 is an even integer Find c(n) (11) C(1,91) Your answer should be in terms of n, and in its simplest form Justify your answer.
Mar 04, 09 · Prove that C(n1,r) = C(n,r) C(n,r1) ~~~~~ I know the defintion of a combination is C= n!/(nr)!r!. = 25 1 C(n,r) = 21 n!/r!(nr)!. Mar 06, · R A Mashelkar (28 February 1995) Solid State Chemistry Selected Papers of C N R Rao World Scientific p 4 ISBN Fifty years is a very long period The first 30–35 years – we could call this period as one when India.
Nov 12, · Chico News & Review’s published stories issue archive Chico’s independent alternative news & entertainment resource. CN Robinson Lighting Supply Co, Inc Headquarters (call or text) 4318 Washington Blvd, Baltimore, Maryland Virginia Location (call or text) Glenn Drive, Suite 112, Sterling, Virginia 164. = 21 2 COMPAIRING 1 AND 2,WE GET 25/r!.
Question Prove that n C r = n C nr Solution By definition, n C r = Substitute nr for r, then n C nr = by commutativity of multiplication Since the simplified expressions of n C r and n C nr are equivalent, therefore n C r = n C nr C r and n C nr are equivalent, therefore n C r = n C nr. More formally, the number of kelement subsets (or kcombinations) of an nelement set Given two numbers n and r, find value of n C r Examples. Disclaimer All content on this website, including dictionary, thesaurus, literature, geography, and other reference data is for informational purposes only.
CNR Construction, LLC is honored to bring you a wide variety of skillfully designed and quality custom built barns, garages or simple sheds which are built by our own experienced craftsmen with excellent woodworking skills and creativity Quality of our construction and our service is well known to our many satisfied customers. Where n and r are integers satisfying n > 1 and n >r> 0 recall that 0!. C&R Market Slater Slater, MO Phone (660) Hours SunSat 7am8pm Select Store View Ads.
Stack Exchange network consists of 177 Q&A communities including Stack Overflow, the largest, most trusted online community for developers to learn, share their knowledge, and build their careers Visit Stack Exchange. C&R Distributing has been Committed to Service Excellence for over 50 years As a premier distributor of world renowned products, our team of lubricant specialists, experienced logistics personnel, safe courteous drivers, and dedicated office personnel, we strive to exceed customer expectations throughout West Texas and Southern New Mexico. List of 14 CNR definitions Top CNR abbreviation meanings updated April 21.
Its history, its present existence and its expanding future This includes all predecessor lines and current CN operations in Canada and the United States, including Grand Trunk, Central Vermont, Grand Trunk Western, Duluth Winnipeg & Pacific, Illinois Central, Wisconsin Central, Duluth. What does CNR stand for?. Question 1 Consider the number C(n,r) given by C(n,r) (nr)!r!.
Permutations of n items taken r at a time P(n,r) represents the number of permutations of n items r at a time P(n,r) = n!/(n r)!. Mar 09, 12 · The \r means nothing special as a consequenceFor charactermode terminals (typically emulating evenolder printing ones as above), in raw mode, \r and \n act similarly (except both in terms of the cursor, as there is no carriage or roller Historically a \n was used to move the carriage down, while the \r was used to move the carriage back to. 1 review of C N R Towing "Although the gentleman that responded arrived over half an hour late (15 hrs in total waiting), he was rude and very impatient First off, you don't bring a giant long bed tow truck to a parking garage and then get upset with the customer that you have to park outside because you can't get in, especially if it was identified when help was requested.
= 1 r = 5 NOW, P(n,5) = 25. Examples Find P(7,3) and P(15,5) If a class has 28 students, how many different arrangements can 5 students give a presentation to the class?. The upper case letter C stand for Combination A combination is a set of objects in which position (or the order) is NOT important We can also say that a combination is the choice of r things from a set of n things without replacement and where order does not matter and is written.
Your answer is wrong on a couple counts \n = LF = 0x0A (10 in decimal) new line in linux/unix/Mac OS X \r = CR = 0x0D (13 in decimal) new line in Mac OSes from the 80s and 90s (eg, apple II through Mac OS9). You can put this solution on YOUR website!. Answer There are possible combinations of 4 students from a set of 15 There are 1365 different committees.
$\begingroup$ Let c(n,r) be the set of r element subsets taken from some n element set and define c(n,nr) similarly The complement map (restricted) bijects these two sets and so they have the same cardinality $\endgroup$ – Jacob Wakem Mar 27 '17 at 539. Originally established as C N'R Lawn Care Inc in 1992, C N'R Lawn N' Landscape is an owneroperated. Nov 05, 19 · CNR@groupsio For discussion of Canadian National Railways (CN/CNR);.
Jim Schellinger visits C&R Advanced Cooling Technology 01 Sep Jason Scherer Makes Racing History 12 Feb C&R Racing 11 Inch Dual High Performance Fan 18 Jul Cool Off Like The Pros With A C&R Racing Radiator 1 Comment Jun C&R Racing Breaks The Mold On Aluminum Radiator Modules. Formula Note , where n P r is the formula for permutations of n objects taken r at a time Example How many different committees of 4 students can be chosen from a group of 15?. Subsets of size r of a set of size n are called combinations of n elements taken r at a time The number of such subsets is given by the binomial coefficient C(n,r), also written as and read as "n choose r" We determine a formula for C(n,r) by using an obvious, but important counting principle n r.
May 03, 21 · Registration is now open for the seventh annual IndiaPurdue Collaborative Lecture Series in Honor of Professor CNR Rao, scheduled for May 1722 This year’s series will be entirely virtual, covering a range of thoughtprovoking topics in alignment with the University’s marketing theme 'The Persistent Pursuit of the Next Giant Leap'. Apr 15, 18 · A binomial coefficient C(n, k) also gives the number of ways, disregarding order, that k objects can be chosen from among n objects;. Permutation (nPr) and Combination (nCr) calculator uses total number of objects `n` and sample size `r`, `r\leq n`, and calculates permutations or combinations of a number of objects `r`, are taken from a given set `n` It is an online math tool which determines the number of combinations and permutations that result when we choose `r` objects.
Free math problem solver answers your algebra, geometry, trigonometry, calculus, and statistics homework questions with stepbystep explanations, just like a math tutor. 128th Annual Damage Prevention and Freight Claims Conference June 8 to 10, 21 1000 to 1700 virtual. The following table lists the values of C(n, r) for n between 0 and 4 and r between 0 and 4 r2 r3 r=4 n=o r=1 0 1 r =0 1 1 1 1 1 0 0 1 nol n=2 no3 n= 4 0 0 0 1 0 0 0 0 (a) Complete the missing 6 entries of that table (b) Write a recursive function to compute C(n,r) (C) Write a function to compute C(n,r) using the dynamic programming.
How many ways can the letters of the word PHOENIX be arranged?. CNR Construction, LLC is honored to bring you a wide variety of skillfully designed and quality custom built barns, garages or simple sheds which are built by our own experienced craftsmen with excellent woodworking skills and creativity Quality of our construction and our service is well known to our many satisfied customers. 1 review of C N R Auto Body & Fender Works Inc "I will only take my car to Neil at CNR for any body work He is trustworthy, friendly, honest, reliable and does a fantastic job making your car look brand spankin new".
C n’ R Roadside Novelties 59 likes We're just a couple of people loving hippies hanging out selling tapestries and flags. Prof CNR Rao completed his MSc from Banaras Hindu University in 1953 and then went on to pursue his PhD from Purdue University in 1958 He joined IISc, Bangalore in 1959 on lecturing position and then joined Department of Chemistry IIT Kanpur in 1963. Remark There are several notations for an rcombination from a set of n distinct elements C(n;r), nCr (n, choose r), and n r, the binomial coe cient, which is the topic of the next section Theorem 3 The number of rcombinations of a set with n elements, where n is a nonnegative integer and r is an integer with 0 r n, equals C(n;r) = nCr = n.
Complete online assigning solution used to assign officials for team sports for recreational, high school, intramural, and college (collegiate) levels Designed for Soccer, Baseball, Softball, Football, Basketball, Volleyball, Tennis, Lacrosse, Rugby, and Hockey Assignor software will benefit the assignor, league, team, and officials/referees. Given, P(n,r) = 25 n!/(nr)!.

Mathematics 10 Learning Modules Quarter 3
On The Definition Of Signal To Noise Ratio And Contrast To Noise Ratio For Fmri Data
Visual Computing Lab Isti Cnr Github
Cn R のギャラリー

9t Bu Geht0r1m

Tracking Cases Using Ecourts Services App How To Use It And Is It Useful Technology News The Indian Express

How To Find Permutation For P 12 4 And Combination For C 13 5 Quora

Cnr Radio Wikipedia

Iit Istituto Di Informatica E Telematica

Discrete Mathematics Counting Ppt Download

Permutations P N R Video Lessons Examples And Solutions
Cnr Istituto Di Nanotecnologia Home Facebook

China Cnr
Top 26 Best Rated Maritime Trade Shows And Conferences In 21

Binomial Theorem For Any Index

Combinations Calculator Ncr
Cnr Bar Home Aurora Wisconsin Menu Prices Restaurant Reviews Facebook

Home Page Current Neurovascular Research

Cnr Basketball

Cnr Stock Price And Chart Tsx Cnr Tradingview

Property Iii Nc R Nc R 1 N 1 C R
Cnr Group Inc Linkedin

13carbon Nmr
:max_bytes(150000):strip_icc()/comb-5716dd163df78c3fa2e68194.jpg)
How To Derive The Formula For Combinations

Cnr Logo Vector Eps Free Download

C N 0 C N 1 C N 2 C N N

China Cnr Wikipedia

Cn Transportation Services Rail Shipping Intermodal Trucking Warehousing And International Transportation

What Is The Total Number Of Combination Of N Different Things Take

Permutation Combination And Derangement Formula Examples Statistics How To

Neuromelanin Sensitive Mri As A Noninvasive Proxy Measure Of Dopamine Function In The Human Brain Pnas

5g Nr Radio Network Temporary Identifier Rnti Techplayon

Spectrum Of Cn

Cn Logo Evolution Canadian National Rail Logo Design Love
C C C O And C N Bond Formation Via Rhodium Iii Catalyzed Oxidative C H Activation Chemical Society Reviews Rsc Publishing

Neuromelanin Sensitive Mri As A Noninvasive Proxy Measure Of Dopamine Function In The Human Brain Pnas

Cnr Stock Price And Chart Tsx Cnr Tradingview

Mathematics 10 Learning Modules Quarter 3

Cnr Weird Al Wiki Fandom
/comb-5716dd163df78c3fa2e68194.jpg)
How Combinations And Permutations Differ

Dzx11urhnm2ltm

Communications And Networking Riser Wikipedia

3 3 ว ธ จ ดหม คณ ตศาสตร เพ มเต ม 4

If Nc R 4 Nc R 1 6 Nc R 2 4 Nc R 3 Nc R 4 Nc R 3 Nc

Gmos Global Mercury Observation System

Discrete Mathematics Counting Ppt Download

Inforhone Home Page

C N R And C N N R Youtube

Cnr Logo Png Transparent Svg Vector Freebie Supply

Permutation Combination And Derangement Formula Examples Statistics How To

What Is Cnr Communication And Network Riser

Electrochemical Oxidation Induced Intermolecular Aromatic C H Imidation Nature Communications
Water Research Institute Irsa Consiglio Nazionale Delle Ricerche

Cnr Itae Cnr Itae Twitter

File Cnr Png Wikimedia Commons

Cn Transportation Services Rail Shipping Intermodal Trucking Warehousing And International Transportation

Permutation And Combination The Difference Explained With Formula Examples

7 Binomial Theorem The Ncr Formula Youtube

Italian National Research Council Cnr The Royal Society Of Edinburgh

Ex 8 1 14 Prove That Sum R 0 N 3 R Ncr 4 N Ex 8 1

The Project

Cnr Records Belgium

Permutation And Combination

Istituto Di Scienza E Tecnologie Dell Informazione Wikipedia

Permutation And Combination The Difference Explained With Formula Examples

Tuning Lespl Cnr Expression By Slymir157 Affects Tomato Fruit Ripening Scientific Reports

Tuning Lespl Cnr Expression By Slymir157 Affects Tomato Fruit Ripening Scientific Reports

alog Combination Finding N And R Youtube

Azo Based Iridium Iii Complexes As Multicolor Phosphorescent Probes To Detect Hypoxia In 3d Multicellular Tumor Spheroids Scientific Reports
Cnr Technology Services Linkedin

Cnr Radio Wikipedia

Combinations Video Lessons Examples And Solutions
The Solution To The Problem Distribute N Identical Things Among Math R Math People Is Math C N R 1 R 1 Math What Is The Proof Behind This Quora

Ex 8 1 14 Prove That Sum R 0 N 3 R Ncr 4 N Ex 8 1

Changes In Plant C N And P Ratios Under Elevated Co 2 And Canopy Warming In A Rice Winter Wheat Rotation System Scientific Reports

Permutation And Combination

Cnr El Salvador Cnrsv Twitter

Iit Istituto Di Informatica E Telematica

Combinations Video Lessons Examples And Solutions
C N R Rao Wikipedia

Cnr 07d221k Varistors Datasheet Pdf Varistors Equivalent Catalog

Cn Logo Evolution Canadian National Rail Logo Design Love

Canadian National Railway Cn The Canadian Encyclopedia

Discrete Mathematics Counting Ppt Download

Careers In The Skilled Trades Await New High School Grads St Louis Construction News And Review

Downloadable Assets Cnr Internal Resources

Cnr Logo Vector Eps Free Download

Soil Microbial C N Ratio Is A Robust Indicator Of Soil Productivity For Paddy Fields Scientific Reports

Permutation And Combination Calculator

Ino Annual Symposium

National Research Council Of Italy Cnr Eurogoos

Cnr Ponte Project

Cnr Itm Itmcnr Twitter
Contrast Versus Noise Eye Versus Machine Technical Guides Hamamatsu Photonics
/comb-5716dd163df78c3fa2e68194.jpg)
How Combinations And Permutations Differ

C N R Rao Jawaharlal Nehru Centre For Advanced Scientific Research

Hydrology Irpi Cnr Hydrology Irpi Twitter

Institute Of Molecular Biology And Pathology Ibpm Cnr