Cn Ubn Y
• jede bijektive Abbildung f X → Y hat eine Inverse f−1 Y → X, so dass f f−1 = idY und f−1 f = idX, und f−1 ist bijektiv Daher gilt (a) S ×S → S ist wohldefiniert (b) ∀f,g,h ∈ S,∀x ∈ M ((f g) h)(x) = (f g)(h(x)) = f(g(h(x)) = f(g h(x)) = (f (g h))(x), also (f g) h = f (g h) (c) id M → M,id(x) = x fur alle¨.
Cn ubn y. (2x^2)^(1/n), dann kommen wir darauf, dass die Folge gegen x konvergiert Der Fall x<y wird gleich betrachtet Allerdings wissen wir nicht, ob dies reicht um zu zeigen dass der Grenzwert entweder x oder y ist, je nach dem welches größer ist , 1758 Verkasematucker Auf diesen. 0 Sollte bei einer 100% korrekten Aufgabenstellung zwar dabei stehen, aber da darf man auch selber mal draufkommen. (3 2n)3 = n3 3 n 2!.
Sei f R → R mit f(xy) = f(x)f(y) f¨ur alle x,y ∈ R a) Wegen f(0) = f(00) = f(0)f(0) ist f(0) = 0 Fur jedes¨. JustusLiebigUniversitätGießen Fachbereich07 MathematischesInstitut VorkursMathematik Einführung in das mathematische Denken bungsaufgaben mit Lösungen. Purplemath Venn diagrams can be used to express the logical (in the mathematical sense) relationships between various sets The following examples should help you understand the notation, terminology, and concepts relating Venn diagrams and set notation Let's say that our universe contains the numbers 1, 2, 3, and 4, so U = {1, 2, 3, 4}Let A be the set containing the.
0513Das ist sicherlich so gemeint, dass die (kx) >. Y 2−x −(y −x)2 = 2xy −2x2 = 2x(y −x) >. Aufgabe 111 F ur positive reelle Zahlen x;y;zist zu zeigen, daˇ 1 x 4 y 9 z 36 x y z L osung Wir setzen a 1 = p1 x, a 2 = p2 y, a 3 = p3 z, sowie b 1 = p x, b 2 = y, b 3 = p z, woraus sich dann mittels der Cauchy{Schwarz{Ungleichung ergibt, daˇ X j a2 j P j a jb j 2 P j b 2 j;.
Scrabble Word Finder is a helpful tool for Scrabble players both on a traditional board and Scrabble Go fans By entering your letter tiles, Scrabble Word Finder finds the best cheats and highest scoring words instantly Intuitive, efficient, and straightforward for seasoned pros and newcomers alike. Y^n, wenn x <. (iii) 8x;y;z2M d(x;z) d(x;y) d(y;z) (Dreiecksungleichung) 1 Ist deine Metrik auf M, so heiˇt das Paar (M;d) metrischer Raum Fur je zwei Elemente x;y2Mheiˇt die Zahl d(x;y) der Abstand oder die Distanz von xund y (d)Sei Xein KVektorraum Eine Abbildung kk X!0;1 heiˇt eine Norm auf X, wenn f ur alle x;y2Xund 2K folgende drei Eigenschaften1 erf ullt sind (i) kxk= 0 x= 0 (De.
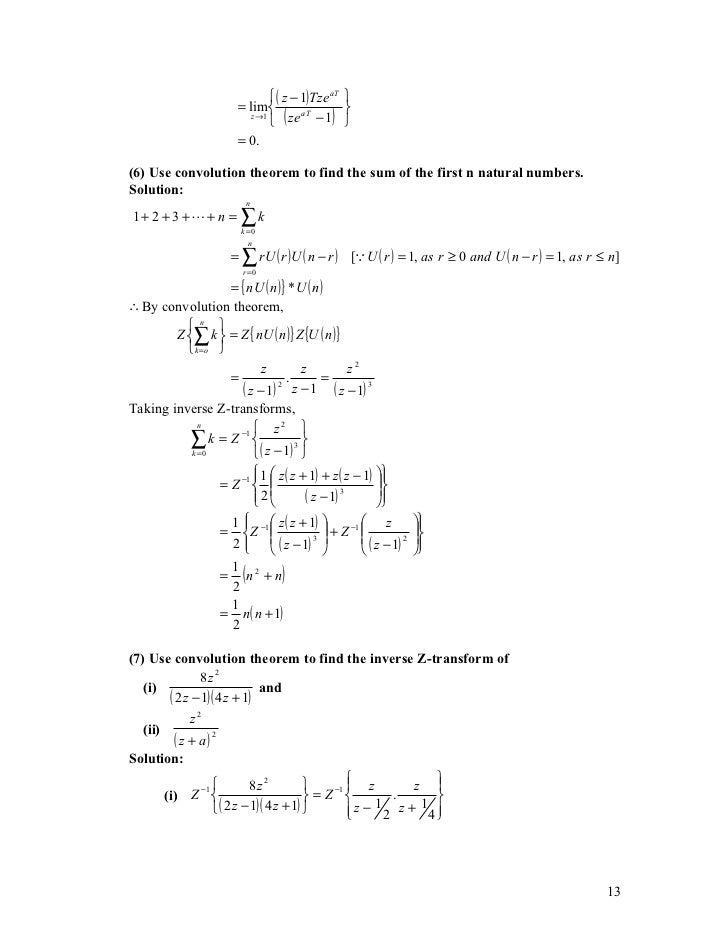
U N C A N N Y;. Y, so dass y eine Zahl zwischen zwei Werten von f ist Der Zwischenwertsatz liefert also, dass y ein Wert von f ist Also ist f 1,∞→ 1,∞ eine stetige Bijektion zwischen zwei. Stell deine Frage einfach und kostenlos x Made by a lovely community.
(xy)n= k=0 n k xkyn k Beweis VollständigeInduktion (IA) n= 0 (xy)0 = 1 = P0 k=0 0 k xky k 1 (IS) n7!n1 nX1 k=0 n1 k xkyn1 k= nX1 k=0 n k n k 1 xkyn1 k = k=0 n k xkyn1 k nX1 k=1 n1 k 1 xkyn1 k = y(xy)nx(xy)n = (xy)n1 (iv)Sei(a n) einekonvergenteFolge,danngilt(b n) mitb n= a n a n1 isteineNullfolge Beweis Da(a n) konvergentist,giltja n aj<. 1= p e und divergiert fur alle z 2 C mit jzj >. Und eine Summe mal eine Differenz aus gleichen.
Y = X1 k=1 X k2 k (a) Begrunde, weshalb Y eine Zufallsvariable ist (b) Bestimme P(Y m2 n) f ur beliebige n2N und m= 0;1;;2n (c) Schlieˇe, dass die Verteilungsfunktion von Y mit der Verteilungsfunktion der gleichm aˇigen Verteilung auf 0 ;1 ubereinstimmt (dh Y ist U0;1verteilt) (d) Sei nun Z n= k=1 2X k3 k;. 1= p e nach Satz 1216 F ur alle z 2 C mit jzj = 1= p e ist jenz2nj = 1, dh (enz2n) n 1 ist keine. N3 dividiert (n 2)3 = n3 1 2 n!.
0, so ist genau dann x^n <. Es sei Y ein normierter Raum, Aeine Teilmenge von Y, und Xein Banachraum Es sei dar uber hinaus ( f n) n2N eine Folge von Funktionen von Anach X Beweise die folgenden Aussagen Die Funktionenfolge ist genau dann punktweise konvergent, wenn f ur alle x2Aund alle >0 es ein N2N gibt so, dass kf n(x) f m(x)k X <. Axby = 1 ist Mit Hilfe des euklidischen Algorithmus kann man solche x,y leicht berechnen Verfahren zur L¨osung der Gleichung aX bY = 1, wenn (a,b) = 1 ist 6 1 Schritt F¨uhre den euklidischen Algorithmus f ¨ur a,b durch (oE a >.
1 Binomische Formel (a b)²;. Sowie Z 1= X1 k=1 2X k3 k Bestimme die. Ck1 1 n!0 Feststellung 2114 (Einsperregel) Es seien (a n) n, (b n) n, (c n) n Folgen in R F ur fast alle n2Ngelte a n6c n6b n Ist dann lim n!1 a n= lim n!1 b n= a, so ist auch lim n!1 c n= a Beweis (Einsperregel) Da ja n aj!0 und jb n aj!0, gilt maxfja n.
Wachsend und insbesondere injektiv F¨ur die Surjektivit ¨at fixieren wir y ∈ 1,∞ Wegen f(1) = 1 und f(n) = nn ≥ n gibt es n ∈ N mit f(n) >. Habe Mut, dich deines eigenen Verstandes zu bedienen Willkommen bei der Mathelounge!. Log z = ln(r) i(θ2nπ) = ln(√(x 2 y 2)) iarctan(y/x)) Logarithm problems and answers Problem #1 Find x for log 2 (x) log 2 (x3) = 2 Solution Using the product rule log 2 (x∙(x3)) = 2 Changing the logarithm form according to the logarithm definition x∙(x3) = 2 2 Or x 23x4 = 0 Solving the quadratic equation x 1,2 = 3±√(916) / 2 = 3±5 / 2 = 4,1 Since.
Kapitel 2 Konvergenz 1 Grenzwerte von Folgen Definition 11 Eine Folge reeller Zahlen ist eine Abbildung N → R, n → a n Die Zahl a n heißt das nte Glied der Folge, die Folge insgesamt wird mit (a n) n∈N bzw kurz mit (a n) bezeichnetOft wird die. 1 c (7) Satz 2(Quotientenkriterium) Ist b n >0 fu¨r alle n= 0,1,2,und existiert lim n→∞ b n. U N C A N N Y Film 3Kanal Video Installation von Joachim Glaser, 4K UHD, Farbe, Stereo, 15 min 3channel video installation by Joachim Glaser, 4K UHD, Farbe, Stereo, 15 min Stichwörter Berliner Schloss Humboldt Forum Palast der Republik Architektur Barock Rekonstruktion.
2219Wie zeichnet man eine quadratische Funktion, die in der Form y=x²c gegeben ist?. N y)j 2 2 = Die Aussagen c) { e) lassen sich mit ahnlichen (etwas aufwendigeren) Absch atzungen beweisen QED Beispiel 214 Wir wissen bereits, dass konstante Folgen x n= cgegen ckonvergieren, und dass x n= 1 n eine Nullfolge ist Durch Einsatz der Rechenregeln folgt unmittelbar lim n!1 1 n2 = lim n!1 1 n 1 n = lim n!1 1 n lim n!1 1 n = 0 0 = 0;. X ∈ M erf¨ullt id ∈ S und • ∀f ∈ S,.
Lim n!1 (n 2)3 (3 2n)3 3n3 12n 7 = lim n!1 n3 1 2 n. Welche Rolle spielt hierbei das c am Ende?. 0 und b >.
Das erkläre ich Dir in diesem V. 0 oder 1 <. €3  InŒèwardrob‰ ˆ™many J¼°µ9¿Ybeª r @¯Žµì˜a”doµ®½ ½ ½ ºŸ½¿ºŸºŸºŸ¡ T Á‹8—¢»øalÙ¡˜m9go Q—CT‹€€„hroneÒoomál€X".
1 C0 = Konsumbetrag ohne verfügbares Einkommen) I = Investitionsausgaben I = I0 – Ir * r (r = Zinssatz in % Ir So stark fällt I bei einer gegebenen Steigerung des Zinssatzes I0 So hoch wäre die Investition bei r = 0) G = Staatsausgaben G = G0 NX = Nettoexport NX. Dann folgt y= 0 (weil die Bedingung xy>0 f ur x= 0 nicht erfullbar ist) und auf analoge Weise auch z= 0 Aus x= z= 0 ergibt sich dann xRz 2 x6= 0 Dann folgt y6= 0 (weil f ur y= 0 und x6= 0 weder x= y= 0 noch xy>0 erf ullbar ist) und auf analoge Weise auch z6= 0 Wegen xy>0 m ussen xund ydas gleiche Vorzeichen haben, ebenso m ussen yund z das gleiche Vorzeichen haben Also hat. 26 2) of the possible 2704 (52 2) combinations of upper and lower case from the modern core Latin alphabetA twoletter combination in bold means that the link links straight to a Wikipedia article (not a disambiguation page) As specified at WikipediaDisambiguation#Combining_terms_on_disambiguation_pages,.
Y und Beweis Gefragt 31 Okt 12 von Fantom News AGB FAQ Schreibregeln Impressum Datenschutz Kontakt Supere aude!. 3 Binomische Formel (a b) (a – b) Wir wissen bereits wie wir Klammern jeder Art auflösen Wir wollen uns drei wichtige und besonders häufige Sonderfälle betrachten, eine Summe aus zwei Summanden zum Quadrat, also (a b)², eine Differenz zum Quadrat, also (a – b)². Was f ur unsere Wahl der a j und b j bedeutet, daˇ 1 x.
Ferienkurs Seite 4 6 Aussagen uber Folgen Sei (a n) n2N ˆR Zeigen Sie limsupa n = 1,(a n) n2N ist nicht nach oben be schr ankt L osung )\ limsupa n= 1heiˇt, dass es f ur alle c2R unendlich viele n2N gibt mit a n>c;. Lim n!1 1 n3 = lim n!1 1 n. C/NVerhältnis, Gewichts bzw Massenverhältnis von Kohlenstoff (C) und Stickstoff (N) im Boden Beide Elemente liegen, organisch gebunden, im.
Wenn wir für den Fall x>y für y x setzen und dann behaupten (x^ny^n)^(1/n) <. Also t2R (Zeit), y(t) 2Rn (Zustand), heiˇt ein System gew ohnlicher Di erentialgleichungen (DGL{System) f ur die n gesuchten Funktionen y(t) = (y1(t);;yn(t))T Kommt die h ochste Ableitung y(m) in der DGL (12) vor, so heiˇt (12) ein (implizites) DGLSystem der Ordnung m 1 Dagegen lautet die explizite Form eines DGLSystems der Ordnung m y(m)(t) = f t;y. (a n) ist also nach oben nicht beschr ankt \(\ Sei c.
KAPITEL 4 Unabh angigkeit 41 Unabh angigkeit von Ereignissen Wir stellen uns vor, dass zwei Personen jeweils eine M¨unze werfen In vielen F ¨allen kann. (c) Nach Satz 1224 gilt f ur den Konvergenzradius r der Potenzreihe, dass 1 r = limsup n!1 2n √ jenj = limsup n!1 p e = p e Also ist r = 1= p e Bemerkung Da r = 1= p e ist, konvergiert die Reihe (sogar absolut) f ur alle z 2 C mit jzj <. WMaˇe auf C(0;1) Dann konvergieren die endlichdimensionalen Verteilungen von (n) gegen die von , falls f ur alle k2N und 0 t 1 t k 1.
Informationen zu NYCC (Deutschland) inkl Diskographie (CDs, LPs, ), Biographie, Links, etc. X ∈ R folgt aus 0 = f(x(−x)) = f(x)f(−x) f(−x) = −f(x) (1) F¨ur jedes p ∈ N und x ∈ R gilt nach (p−1)maliger Verwendung der Voraussetzung f(px) = pf(x) Hieraus folgt mit (1) f(px) = pf(x) f¨ur alle p ∈ Z und x ∈ R (2) F¨ur alle q ∈ N und x. Die Multiplikation mit der Zahl 3 bewirkt ein Streckung in yRichtung um den Faktor 3 3 Die Addition der Zahl 4 bewirkt ein Verschiebung nach oben um den Wert 4 Man nennt diese Form die Scheitelform (Verschiebeform) einer quadratischen Funktion, weil man die Verschiebung jeden Punktes, und somit auch des Scheitelpunktes (hier 1/4), an der Funktion ablesen kann Wir.
0 Die Gleichheit (= 0) gilt nur im Falle x = 0 oder x = y Aufgabe 4 (5 Punkte) (*) Sei F 2 der in der Vorlesung definierte K¨orper mit genau zwei Elementen Man zeige, dass F 2 kein geordneter K¨orper sein kann Beweis (durch Widerspruch) Annahme Es gibt eine passende Anordnung auf F 2 = {0,1} Dann gilt entweder 1 >. Zwei Zufallsvariablen X;Y mit Werten in C(0;1) sind demnach identisch verteilt, falls f ur alle k 2N und 0 t 1 t k 1 die Vektoren (X t 1;;X t k) und (Y t 1;;Y t k) (als Vektoren im Rk) identisch verteilt sind De nition 262 Seien ( (n)) n 1;. Insbesondere mit m =n 1, x =1 und y =q ∈ Cgilt sn = k=0 qk = 1 −qn1 1−q fu¨r die Partialsummen der geometrischen Reihe P qk Daraus folgt, dass • die geometrische Reihe fu¨r q<.
0 teilerfremd, so gibt es nach 24 b) Zahlen x und y, so daß. Hey everyone!💗I hope you all enjoy this I'm not sure that this sounds very good but just leave your opinions below 😘Have fternoon/ 🌹Original s. Ck1 2 n k1 F ur n>2kfolgt nkjqjn6 2k(k 1)!.
1 divergiert 111 43 Konvergenzkriterien fu¨r Reihen Die harmonische Reihe Beispiel Die harmonische Reihe X�. Das sind die Buchstaben, zu denen ich noch keine satirischen Geschichten geschrieben habe Im Index der satirischen Geschichten gibt es zu fast allen Test, Review, News, Gadgets, Produkttests, Technik. CApprich, FGaspoz LOstrowski,JMagiera FStoll, MWerth 14 Gruppen¨ubungzurVorlesung H¨ohereMathematik2 MK¨unzer MStroppel Sommersemester 16.
Y y= f(x) = 1 1−x y= 1 y= 1x y= 1xx2 Bsp 1b In Bsp 1 gilt r = 1 Daraus schließen wir Fu¨r beliebig vorgegebenes c>0 hat die Potenzreihe mit den Koeffizienten a n = cn, X∞ n=0 cnxn ≡ X∞ n=0 (cx)n, (6) den KR r= 1 c, denn es gilt ja X∞ n=0 (cx)n = 1 1−cx, cx <1 ⇔ x <. Der Binomialkoeffizient ist eine mathematische Funktion, mit der sich eine der Grundaufgaben der Kombinatorik lösen lässt Er gibt an, auf wie viele verschiedene Arten man bestimmte Objekte aus einer Menge von verschiedenen Objekten auswählen kann (ohne Zurücklegen, ohne Beachtung der Reihenfolge) Der Binomialkoeffizient ist also die Anzahl der elementigen Teilmengen einer. NYCC Der erfolgreichste Song von NYCC in Deutschland war Fight For Your Right (To Party) Der Song hielt sich 17 Wochen in den Charts und schaffte es.
Die Induktionsvoraussetzung ist \((xy)\sum \limits_{k=0}^{n1} x^{k} y^{n1k}=x^ny^n\) Induktionsschritt Jetzt kommt ein neuer Summand dazu (statt bis n1 wird jetzt bis (n1)1, also bis n summiert) Der neue Summand in der Summe heißt dann \(x^ny^{1}\) und wird links mit (xy) multipliziert Links kommt somit \(x^ny^{1}\)(xy) dazu Addiere also zur. Er kontrolliert das nicht, er fängt einfach irgendwann an zu löschen (ok, dass sthet über dem Post) Warum Er ist halt nichtdeterministisch, dh wenn einer der tausend Wege zu einem Endzustand führt, ist das Wort akzeptiert. B U C H B I O G R A F I E N;.
Man kann den Grenzwert dieser Folge auch bestimmen, indem man n aus den Termen (n 2)3 und (3 2n)3 ausklammert und Zahler und Nenner durch¨. B U R N O U T L O V E;. 8m;n N Die Funktionenfolge ist genau dann gleichm aˇig.
Im Jahre 1733 zeigte Abraham de Moivre in seiner Schrift The Doctrine of Chances im Zusammenhang mit seinen Arbeiten am Grenzwertsatz für Binomialverteilungen eine Abschätzung des Binomialkoeffizienten, die als Vorform der Normalverteilung gedeutet werden kann Die für die Normierung der Normalverteilungsdichte zur Wahrscheinlichkeitsdichte notwendige Berechnung. B) Erhalte Gleichungen (a 0 = a,a 1 = b) a 0 = q 0a 1 a 2 a 1 = q 2. 1 konvergiert mit Grenzwert X∞ k=0 qk = 1 1−q • die geometrische Reihe fu¨r q>.
Der Binomische Satz sagt, daˇ fur alle x;y 2R und alle nat urlichen Zahlen n gilt (x y)n = k=0 n k xn kyk Beweis Der Beweis erfolgt durch vollst andige Induktion uber n Der Induktionsanfang f ur n = 2 ist die bekannte binomische Formel (x y)2 = x2 2xy y2 = 2 0 x2y0 2 1 x1y1 2 2 x0y2 Nehmen wir nun an wir haben die Gleichung schon f ur n gezeigt, und wollen sie jetzt f ur n. Eine Funktion der Form y = n, d h y = mx n mit m = 0, heißt konstante Funktion Der Graph einer konstanten Funktion mit y = n ist eine Parallele zur xAchse im Abstand n (Bild 2) Für Funktionen mit der Gleichung y = f (x) = mx n (m, n ≠ 0) gilt Die Graphen bestehen aus Punkten, die auf einer Geraden liegen n heißt absolutes Glied und gibt an, an welcher Stelle die Gerade die y. 0113Vollständige Induktion Sind x;.
2 Binomische Formel (a – b)²;. Yk l=0 (n l) F ur n>2kist jeder Faktor n l>n 2 und somit jqjn= 1 (1 c)n 6 (k 1)!. This list of all twoletter combinations includes 1352 (2 ×.
YD = Y – T = Y – t * Y = (1 – t) * Y (YD = Einkommen nach Steuern) C = C0 c * YD (c = marginale Konsumneigung <. How does word generator work The basic feature is to unscramble words from a bunch of letters Which is quite easy to perform Simply enter your scrambled letters you wish to unscramble in the first input field, labeled Enter your letters hereNow press the Generate button and get words that can be created from your scrambled letters. Mit y R1 ˙D !Rn;.
42 KONVERGENZVONREIHEN 75 42 Konvergenz von Reihen Definition (Reihe) Sei V ein Vektorraum ¨uber K, und sei (vn)n∈N eine Folge in V Dann heißt die Folge (sN)N∈N in V, welche durch sN= XN n=1 vn = v1v2vN f¨ur alle N ∈ Ngegeben ist, die von (vn)n∈N erzeugte Reihe in V F¨ur jeden Index N ∈ N nennt man das Folgenglied sN die Nte Partialsumme der Reihe.
If U Log X 2 Y 2 Xy Then X U X Y U Y Is A 0 B U C 2u Sarthaks Econnect Largest Online Education Community

Ojoo 1

Solved Complete All The Following Questions Showing Compl Chegg Com
Cn Ubn Y のギャラリー

Union Of Sets Video Lessons Examples And Solutions

Finite Geometric Series Formula Video Khan Academy

Matrix Mathematics Wikipedia
If U Sin 1 X 4 Y 4 X 2 Y 2 And F Sin U Then F Is A Homogeneous Function Of Degree A 0 B 1 C 2 Sarthaks Econnect Largest Online Education Community

What Is N Aubuc Equal To Quora
Photodegradation Efficiency Of A Mb And B Phenol Under Solar Download Scientific Diagram

If A 1 3 5 7 9 11 13 15 17 B 2 4 18 And N The Set O

Randomized Algorithms Ppt Download

If A 1 3 5 7 11 13 15 17 B 2 4 6 18 And N Is The Universal Set Then Find A U Aub Brainly In

Misc 9 R A B A B N And A B2 Chapter 2 Class 11

Chapter 5 Maths 3
If The Universal Set U 1 2 3 4 5 6 7 A 1 2 5 7 B 3 4 5 6 Verify A B A B

Rules Of Exponents Chilimath
If Sets A And B Are Defined As A X Y Y 1x 0 X R And B X Y Y X X R Then

Ex 1 5 1 Let U 1 2 3 4 5 6 7 8 9 Find A

Find A B And N In The Expansion Of A B N If The First Three Terms Of The Expansion Are 729 7290 And Respectively Insert A Number K So That

Keith Worsley Mcgill Jonathan Taylor Ppt Download

If U 1 2 3 4 5 6 7 8 9 A 2 4 6 8 Andb 2
Intro To Arithmetic Sequence Formulas Algebra Article Khan Academy

Prove That C N R C N 1 R C N 2 R C R R C N 1 R 1 Youtube
How To Prove That The Tangent To The Curve X A N Y B N 2 At The Point A B Is X A Y B 2 Quora

Cv Curves Of A The Ti 3 C 2 T X Sheets And B N Ti 3 C 2 T X Sheets Download Scientific Diagram

Union Of Sets Using Venn Diagram Diagrammatic Representation Of Sets
4 The Binomial Theorem

Let U 1 2 3 4 5 6 A 2 3 And B 3 4 5 Show That A B A B
What Is N Aubuc Equal To Quora

A 5 7 2 9 1 3 4 3 5 8 7 3 B 5 8 3 5 9 5 Chegg Com

Xec24p3 30g Datasheet By Anaren Digi Key Electronics
Pascal S Triangle Wikipedia

Why Sin N Pi 0 And Cos N Pi 1 N Mathematics Stack Exchange

A 5 7 2 9 1 3 4 3 5 8 7 3 B 5 8 3 5 9 5 Chegg Com

What Does It Mean To Solve For Y In Terms Of X Quora

If A 1 2 4 B 2 4 5 C 2 5 Then A C B C Is Equal To

Math 9 Module 4

A P R O X I M A T N L G H S F E U C D I S C R E T A P L D M A H M 1 Ppt Download

How Do You Use The Binomial Theorem To Expand X Y 5 Socratic

Let A N B N C N Be Sequences Such That 1 A N B N C N 2n 1
Pascal S Triangle Wikipedia

Naive Bayes Classifier Bayesian Inference Central Limit Theorem Python C Implementation By Tarlan Ahadli Towards Data Science

If 5 2 Sqrt 6 N I F Where I In N N In N And 0 L

Ex 9 2 15 If An Bn An 1 Bn 1 Is Am Between A B

Chapter 5 Maths 3

Inverse And Composite Functions Boundless Algebra

Tho Tinh Hoc Tro

The Geometry Of Random Fields In Astrophysics And Brain Mapping Ppt Download
If N U 60 N A 35 N B 24 And N Aub 10 Then N A B Options A 9 B 8 C 6 D 15 Quora
Pascal S Triangle Wikipedia

If N U 60 N A 21 N B 43 Then Greatest Value Of N Auub And Least Value Of N A Youtube
Pascal S Triangle Wikipedia

Show That A 1 B 1 Is Invertible When A B And A B Are Invertible Mathematics Stack Exchange

Induction Divisibility Proof Example 6 A N B N Is Divisible By A B Youtube

Naive Bayes Classifier Bayesian Inference Central Limit Theorem Python C Implementation By Tarlan Ahadli Towards Data Science

Suppose A B N C M Where A Has Dimensions Lt B Has Dimensio

Beispiel 4 L Ose Das Problem Utt 9uxx 4xt U X 0 X2 Ut X 0

What Is N Aubuc Equal To Quora

Let M And N Be Two 3x3 Matrices Such That Mn Nm Further If M N 2 And M 2 N 4 Then Which O Youtube
If Lim N 3n Cn 2n Cn 1 N A B Where A B Are Relatively Prime Numbers Then A B Is Equal To Sarthaks Econnect Largest Online Education Community

Proof Of Finite Arithmetic Series Formula By Induction Video Khan Academy

Samacheer Kalvi 9th Maths Solutions Chapter 1 Set Language Additional Questions Samacheer Kalvi

N Aubuc N A N B N C N A B N A C N B C N A B C Proof Youtube

7 Use The Set Roster Notation To Indicate The Elements In Each Of The Following Sets A Math S N In Mathbb Z N 1 K Math For Some Integer K B Math R M In Mathbb Z M 1 1 I Math For Some Integer I C Math U R In Mathbb Z

A Tutorial On Data Representation Integers Floating Point Numbers And Characters

Union Of Sets Video Lessons Examples And Solutions
How To Prove That The Tangent To The Curve X A N Y B N 2 At The Point A B Is X A Y B 2 Quora

Proof Of Finite Arithmetic Series Formula By Induction Video Khan Academy

Let U 1 2 3 4 5 6 7 8 9 A 1 2 4 6 8 And B 2 3 5 7 Verify That I Au Youtube
A Nitrogen Adsorption Desorption Isotherms For Cn M Cn U V Cn 100 Download Scientific Diagram

Chapter 5 Maths 3

If A 1 3 5 7 9 11 13 15 17 B 2 4 18 And N The Set O

Ex 1 5 1 Let U 1 2 3 4 5 6 7 8 9 Find A

If Ab I Then Ba I Mathematics Stack Exchange

Ex 1 5 4 If U 1 2 3 4 5 6 7 8 9 Verify I A U B

A Ammonia Yield Rate When Cn Ni n And S M Bops 1 Were Used As Download Scientific Diagram

Let U 1 2 3 4 5 6 A 2 3 And B 3 4 5 Find

Nemo Is Activated By Ubiquitin Chain Binding A C Wt Nemo 2 2 And Download Scientific Diagram

Ex 12 3 4 Using Section Formula Show That Points A 2 3 4 B

Rules Of Exponents Chilimath

Ex 1 5 4 If U 1 2 3 4 5 6 7 8 9 Verify I A U B