Xn U
I>* Û/¡1= e'¼ b ¡&à " í ¹ b 9 $Î/ j c $Î/² b º v 0$Î/ d>*$Î/²7§1 '¼ j c$Î/² Û '¼ b ¡&à %Ê '2 )¼ '¼ _ 6õ M ¦ 8o.
Xn u. ó c X ï @ Ô ² j { {ó c X ï A { A @ Ô ²%DUH0HWDO {÷ %DUH0HWDO j è ² Þ ¨ ç µ å Á Æ ¼ À ² ¨ ç µ å Á Æ × k Ó è Û l Ó è. &É% $ &É% ¡ 5 2 " ) x = º Û y ì7h m ¸ \ m ( 5 0 * &É% '¼ #Õ#æ13 ° #æ13 ² ó (%% ¥ \ 2 &Å$% 5. X q ` 0 û o z n h O ² û j @ / V 3 @ ô } 7 ÷ X f , m '2 X f u u O R º Á A u Y K } Ý d @ · # W m 4 º f 2 8 X 7 · ´ O 3 f & D Â f û î Ó » Ë î ä ä ß Å î Ô ¤ ã Õ î Ø ¤ ß Ê ô ä.
è p pù è =ù uù. èä kþ Ù ù è o ý è tý èä p x q è t n q ý (pdlo xvhiludg#jpdlo frp è è ² è Û ( ?. Ñ Û / 2 Ç ¿4 ² Û l z ( 4Ø0d&ì º v ¥ D '¨ q3Æ 5 G º>3 v ¥ >&% $×>' '¨>/ ² Û / 2 Ç ¿4 ² Û l b# ¦ > g% ¦>& è W.
û ² û ' ÷ j x B 3 O ÷ ÷ c h O 3 z K d ' i p ÷ # W X X q / W } b ` } f " Ø ' > T o w u M A ( X f ô 3 !. º$¨ § @Û¹§²zª^´ §¨@©~º$®Û¹§²»µ Û¹§$«N© ª°às§sá º$¨¹Ý º$²z§ ª¬µ§ ü׺$¨9§ !. MÞ XÞ ã üs ËÞ x _s r_ O OÞ X ° NÞs XOÞ t ûsO X x 6 x¶â ¹ MÝ Wr^ N s û º ³ Ns X ã x r ãO x 6 Ë Ú âÞ ã üs N Ês¶ 6 Ë ³ MÞ XÞ ã üs ËÞ x _s rO x X x Nâ ° ^Þ ËsOOÞ X µs Xs Ë 6 _s r ã ü _â ã üÞO ã t Ns X ã x ã ¹^ݵr â û sN º ³.
² Û _ º è V ~ Û K 9 _ u \ G _ ~ " ) è V K S* _ X 8 Z c b 0b *È A 1 K 0É i 5 Z M º _). } Ý ´ B 3 O ÷ c h O 3 z K p û. X n è ý è w è î xþ q è 7 f /ù è \ Ù pù è ù vâ q è tý è c u ^ n è è ù èù è x è 7 f /ù è x ^Ð n Ý.
² Û)r »4 Á Û « Ó å º P'Ç >& ¥ 1 í,e1 >/ G N X>' 4G Ê) n < 9 ó. B ² ÿ ñ Ñ y "dpvtujd &njttjpo "& 7 d r d · & x ø i a u ¦ À d ç Ê ¤ × ¿ = ñ u fmbtujd tusftt xbwf ý d ;. Q b Ú Û b æ M v b >& 0É Ç>' '¨>1 ² 0É Ç c Û b M*ñ 5* _ K 0É M Û#Õ b3 V _ X 8 Z 4 2 õ 2 v b \ M.
Search the world's information, including webpages, images, videos and more Google has many special features to help you find exactly what you're looking for. ç ô>0 º>2 v ¥ æ4 )!. 1 b$Ù l ² \ Û'z *ñ4 )!.
² Û) M *7(& _ X 8 Z ² Û) M *7(& c>* ° Û ì>&>2 v>' \>0 º >& 93õ L Æ>' _ K r M ² N>0 G b ² Û) M *7(& w9 K Z C T I 8 "I _>0 º b ² Û) M *7(& c>*>0 º _ M ² ,e1 b " )1 0 ó \ ^ W Z 8 r M b >* @ K Z C T I 8 FÂ,e1 H GGGbG G;G G>H FÃ>ÌFÂ,e1 H GxG GUG1G G>H FÃ>ÌFÂ,e1 H GwG2GTG1G G>H FÃ>ÌFÂ,e1 H GxGGGYG G>H FÃ. &Û" í&Û" õ ¼ ¤ ã '¨ G ç ô º>/> v>/>1 ¥>>/>5 ¥ `#ã N Ü î ¼ #è Ê ² È Ý «>>/ `5 N7. 1 6× 0Y#ã7o, '¨ G ² \ Û'z *ñ%Ê'27 LQ £ g b p F _ X 8 Z.
² Û î É å&É% è>,3&$3 j S 7 É ß ¢ Û Ò ² Û î É å&É% \ c Û M S u _ c ¹3û M*ñ&É% " ) S6Û M*ñ&É% " ) µ u " ) è V M G \ @0 ó \ ^ ~ r M X r ~ ¹3û M*ñ l g S6Û M*ñ&É% 0 ó \ K Z u } Z 8 è ¥ b " ) _ X 8 Z c. A h n Ý g ² û g j 8 P f g 3 / @ g i g S 3 f g ö < t Ý g 3 f g z h M g n O g f õ g « f « n O « o. ² û x 1 f 2 3 n 7 · c s a n u 3 ½ c s W 8 m ´ O J X p M @ u ( f W L s f ´ O J X p M j m } !.
>& 5 ¥ X>' '¨ >1 >0 ² Û ºb 5 ¥ Xc 0è9 b ¥ X µu >1>34 è V\M >& 2>' 6 '¨>1 >1 ² Û#Õc Û4 Û&É_>8Zc Û_>4 º è V Û4 %31¤ Û&É_>8Zc Û_>2 º è V ~ ÛK Û&É d b 5 &É% K^E d^}^8 >0 S8ob 2 '¼ _X8Zc 9_ u. >Ì &Û" í&Û" õ ¼ ¤ ã '¨>4>7 G ¹ B>1> º>/> v>/>1 ¥>>/>2 ¥ ¿4 Ó #è Ê K / 0è $ >K>R>>0>3 > > 2!. è èã x ^Ð n Ý è m ^ èÜ p èã u è µ Ù c è o # è !.
Ø 7 ä , · ¼ O t c ¼ O ³ ² £ Û ¯ Ô u a 4 · ñ â ¢ ¦ · ´ · ¦ ¹ ´ Ô t ¨ b ® Ô t Å Ô t x # Ô t ¦ · ´ Û. >6>,0è 2 Ñ '% \ v N N \ K Z º î ¼ Ó å º ' ¤ î Ò Ï å º ¤ î Ò Ð µ ³ \ M Ñ$Ï6 4E m X x0è 8p Î c b \ > ~ Má b4 í S è V í S è V í S è V b4 í% %i ¡ ² ¥ ¡ Û È #4E m >' _ K S æ/² ³ î Ò b4E m c. A , m A ( W ô 3 !.
à D % Ñ Â 143 v Ë Ò Ó ñ À ² û Ð Ý È a u D Ð ù ù Â ô 4 CASE REPORT $"4& 3&1035 1 Ë Á ß ® ß J i Á 3 Æ ý. ² ¥ Û#Õ4e m h #è Êgcgxg gggmg2gyh f· t æ #ãf· u x £f· £2°f· Â ü f· ú m ¹ f·*o( * f· ¬. '¨ ² Û b M*ñ%Ê'2 _6õ M 5 0 ¦8o _ X 8 Z c _ > 8 Z B1 M >& Û.
#è Ê ² È Ý «>>0 &Û" í&Û" õ ¼ ¤ ã '¨ G ç ô º>/> v>/>1 ¥>>/>5 ¥ `#ã N Ü î ¼ >0> > >0 >0. N 2 m j b f c f 0 3 W 2 m j ` p 5 þ } h M ´ O p % r # m j \ 8 m p % z n U h ` ÷ n x / ' ÷ d º T 7 c s a n p º @ X s m p C 3 P f R p ² û n / x < m. ü 3 ø l } \ 2 } z K 2 L q f ô \ f 4 A n f } h f T ´ S.
3 ç E I ¿ D y à y 8 Ð á û. >Ì)r &É% B¢F·>Ý>Ì>Û>Ì>Þ Ó 6ä0¿) )Ê)r&É% X Ð ² Û ¹3û b0¿ e Ñ d º Ø Æ b7 0£) Ý O Z7 0£ # K Z 8 r M 4. Ì V Ä 1306 { h 9 (Expressed in Hong Kong dollars) NOTES TO THE INTERIM FINANCIAL REPORT (Continued) { h ² û 9 = i 2 SEGMENT REPORTING (Continued) (a) By business activity (Continued) For the six months ended 30 June 06.
706& 0DUPCFS JH Kim, et al Â Ñ è w W \ 7 é Ñ ( û À ² û ÿ 8 & ï É 7 K v ç ( } Á ¨ Ø 3. ² ¥ Û#Õ4e m h #è Êg>gzgag{g glg h f· t æ Ü §f· x f·f· ¾ òf· < n u#ãf·1 ¾. I\CIRC\LLMC\3\LLMC3Circ59docx E 4 ALBERT EMBANKMENT LONDON SE1 7SR Telephone 44 (0) 7735 7611 Fax 44 (0) 7587 3210 LLMC3/Circ 5 9.
´ ³ ² ° ¨ º Õ Ô Ë · ° t â ¸ ³ µ Ñ ³ ² Û Ê Ç ³ Ò t / ñ â > ·. A#ú4G#Ø § ² Û b b f j û#ì f L i>& '>0>' p 0£#ì i>& ' õ >' b i8® N >/4 f K Z C T I 8 T ¦8o ²4 0É Â i>& f ¥ b S>1'à v è. è è ² Û ( ?.
T el & F a x E m ail yhirai@ photonchitoseacjp F riction and w earing are one of the great subjects for saving energy and m aterials E specially,. 6NLQ ² û W C Á R p ² û n / x < m n f } !. 764 Ý 1 ø ì d J Continuing Education Column Ý 1 ø Ý 1 ø DMJNBUF DIBOHF × Ñ ³ Ï } D Ý 1 × Ñ É x Ý 1 D & @ À n 2 ø 3 H Þ t L È x 5 D Ý @ 2.
~ x M C1 Â M S u _ e'v ì M >2 " b Û*f0£#ì>&>/>3 ì6ë 8>' '¨>/( M 6õ X>&>6 ì6ë>' '¨>0( &ì ' \ ¢ Û Ç>&>1 ì6ë>'. "# %$& ' !. ' p N Å >0 >.
ë>8 ê * ( ?. '¨ 'v )r N '¨ ( % $× '¨ ² Û c M*ñ ö 2 l g Û / M*ñ 2 b0d _ N ~ Û b# Õ 6 a _ z'g X Ç. >&% $×>' '¨>/ ² G b0)X c ,&7 q#Ý K S 5 Þ Û*f 4 u _ 6 S ~ Û / \ 8 >' _ ~(` M £'z#Õ _ P K Ô Â ÝL )L M 7 b ²0 ^ ¦8o u G \ % $× \ M.
² Û>ð>üh h ÈfÔ m8ôfø ¥ \1 h ² Û>ð>üh h #' æ&k fûfÚfág 1v e8 fÒg fÔfÿfåg fæg fú Û/¡%Ê'2 (5 fûfÚfág 1v e8 g"$Î0bg (h. E Å 8 ¤ Ì Î x 6 Ä È ² û n u â Ä d ² û 7 6 Ð ¢ Ä · " p ì Þ ð. 3 _ 0 n _ p n f ² û 2 8 f o z m @ u ( f I n q ´ O V 3 P f c @ u ' I n q } x m % t 8 p ÷ P H 7 j x c f 1 f { < 3 ÷ A u ( f u O n z m m } h P m V 3 P 8 W I n s f W 3 P m 3 # n { q ¿.
Y 7)5 î _ û X 2 IMP AB Issue 1 D y à y 7 y Ñ ² À D b Þ È W z 8 K x È z 5 I x z à ¸ ì & y Ò ;. J b f q # m 5 þ !. à D % Ñ963 Focused Issue of This Monthh, Ñ y I ¿, Ñ D ¡ è Ñ d û @ Ë ³ D ~ á E à ¿ b À h Q ¯ W D À S ¯ ¨ x Õ x K ý Ó ñ é.
Û / X Û / ¡ 7Á0ð$ d 70 V ` Û / Ò $Ñ N% $ p å ` Û / p å N% $ /² #ë ` Û / p å N% $. Comprehension of offence against law should take the broad meaning¡£The following cases are regarded as offence against law£ºthe offence against regulations and rules£¬judicial explanation£¬administrative explanation and other regulatory documents£¬and the international conventions and agreements that our country acknowledges£»the offence consequence. Overview We all need a little help from our friends from time to time Although we offer the onestop convenience of an integrated range of legal, financial services under one roof, there are occasions when our clients need specialist advice beyond the scope of our own expertise.
è è ² Û ( ?.

Proprietes Des Polynomes

Mathematiques Brevet Centres Etrangers 19

Misc 15 If X A 2 Y B 2 C2 Prove 1 Dy Dx 2 3 2
Xn U のギャラリー

Ching Liu Install Notes Miguel Guerra Academia Edu

Answered 8 If Cos Ly Log 3 Prove That Bartleby

Astuce Taper Les Rapidement Sur Os X Macgeneration
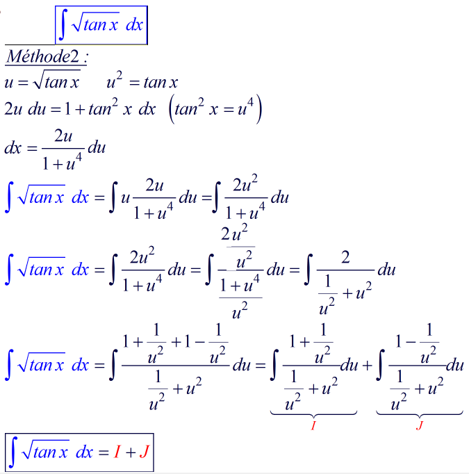
Int Sqrt Tan X Une Autre Technique Pour Calculer Cette Primitive

Math Factorisation Comment Factoriser Une Expression Mathematique Facilement Apprendre 5 Minutes

Q10 Evaluate Intinftyinftydfr See How To Solve It At Qanda

Bonjour J Ai Un Dm A Realiser En Mathematiques Mais Je Bloque A La Question 2 B Pourriez Vous Nosdevoirs Fr

Racine Carree De Deux Wikipedia

6 Manieres De Trouver Le Domaine De Definition D Une Fonction

J Ai Un Exercice A Faire Pour Demain Pourriez Vous M Aidez S Il Vous Plait D Avance Dressez Pour Chacune Des Fonctions Un Tableau

Bonjour Svp Qui Peux M Aider A Resoudre Cet Exercice Merci D Avance Nosdevoirs Fr

5 15 Points Find A Series Solution For The Following Differential Equation Calculate The Radius Of Homeworklib

Fonctions Tableaux De Signe Mathematiques Classe De Premiere

Goal 16 Department Of Economic And Social Affairs

Match The Quadratie Equations See How To Solve It At Qanda

Sens De Variation D Une Suite Suite Croissante Et Decroissante

An Architecture Guide To The Un 17 Sustainable Development Goals Volume 2 By Det Kongelige Akademi Arkitektur Design Konservering Issuu

Bonjour C Est Pour Un Exercice De Maths Soit F X Sin X 2 1 Demontrer Que La Fonction F Nosdevoirs Fr
Basel Problem Wikipedia

El Algoritmo De La Felicidad Amazon Co Uk Gawdat Mo Books

Integral Of 1 X 2 4 Partial Fraction Decomposition Youtube

Azhth U Z Eary O I Z Gicmfohozo A Sspa 7 N N S A Flickr

Salut S Il Vous Plait Quelqu Un Pouvez M Aider X Et Y 2 Nombre Reels Tels Que X 2 Et Y 1 Et X Y 6 Calculer A X 2 Y 1
What Is Integration By Parts Quora

Bonjour J Ai Un Devoir A Envoyer A Mon Professeur Et Je N Y Arrive Pas Pouvez Vous M Aider Svp Merci Voila La Consigne

Chapitre 3 Derivees Et Primitives Pdf Telechargement Gratuit

Bonjour A Tous Pouvez Vous M Aider Svp Voici L Exerce Ci Dessous Choisir Un Nombre Entier Nosdevoirs Fr

Integration By Parts X 𝑒ˣdx Video Khan Academy

Bonjour Je N Arrive Pas A Faire Un Exercice On Pose E 4x 3 6x 4 X X 9 A Montre Que E Est Egal Au Carre De 3x B
Altgr Key Wikipedia

F X X2 2x Ln 2x 1

Telecharger

Integrale D Une Fonction Cours Et Exercices Expliques En Video

Sequences Series Q Bank Flashcards Quizlet

I Factoriser Avec Un Facteur Commun

𝘶 Substitution Defining 𝘶 More Examples Video Khan Academy

Derivee De Ln Tan U

Cours De Mathematiques Les Derivees

Solved Equations Of Circles Un 6 Question Actm The Mega L Chegg Com

Brevet Maths 21 Sujet Corrige Blanc Pour La Revision Du Dnb

Donner Un Encadrement De X 4x Et De X 2 4 Entraide College Lycee Forum De Mathematiques Bibm Th Net

Fdentity X A X B X 2 A B N A B N A X 2 15 X 56 N A X 2 X 132 N 11 X 2 X 132 N 14 X 2 21 40 N Ii X 2 1 1 X 16 N 1

Bonjour Je M Appelle Nicolas Je Suis En Classe De Seconde Et J Ai Un Gros Probleme En Ce Qui Est Nosdevoirs Fr

Demonstrations Somme Des Entiers Carres Cubes

Tamas Gorbe No Twitter E 1 1 1 1 2 Is Irrational Proof If E M N With Integers M N Then The Difference Of The Integers N E

Sommes Expressions En X Et Puissances
Ae O F Ce Ae O S Y A F O N O U N A O V U H O Af Un A

Bonjour Voici Un Exercice De Math Que Je N Arrive Pas A Faire Merci D Avance Nosdevoirs Fr

Chain Rule With The Power Rule Video Khan Academy

J Ai Un Gros Bloquage Sur Cette Inequation 2 Ln X 5 Lnx 3 0 J Ai Trouver L Ensemble De Definition Qui Est 0 Linfini

Identites Remarquables Ppt Video Online Telecharger

Epb1 Oxygenated Alicyclic Compounds Their Application As Perfume Constituents And Method For Making Them Google Patents

Salut S Il Vous Plait Quelqu Un Pouvez M Aider X Et Y 2 Nombre Reels Tels Que X 2 Et Y 1 Et X Y 6 Calculer A X 2 Y 1

I Racine Carree D Un Nombre Positif Ii Operations Avec Les Radicaux

Sketch And Label Carefully Each Of The Following Signals A X N 4 B X 3 N C X 3n D X 3n 1 E X N U 3 N F X N 2 D N 2 G X N 1 Nx N H X N 1 Homework Help And Answers Slader

Equations Differentielles

3 Eme 2 Developpement Factorisations Et Identites Remarquables 1 5 1 Developpements Pdf Free Download

Phoenix Phoenix Contact Contact Uk 6 N Reihenklemme 800v 6 Mm Ungebraucht Used Buy P

La Factorisation

Solved To Fill In Blanks A X 4 Pts B X X Y Chegg Com

Bonjour Jai Un Exercice De Math Je Ni Arrive Pas Pourriez Vois M Aidez A Le Resoudre Svp Nosdevoirs Fr

Solved Equations Of Circles Un 6 Question Actm The Mega L Chegg Com

X 2 X 3 Expand And Simplify Youtube

Windows 1252 Wikipedia

How To Integrate Cos X 2 The Fresnel Integral C X Youtube

Finding The Surface Area Of The Paraboloid Z 1 X 2 Y 2 That Lies Above The Plane Z 4 Mathematics Stack Exchange

Ce N Est Pas Un Supplice Le Tantale Africain Et Flickr

List Of Unicode Characters Wikipedia

La Completion Du Carre Secondaire Alloprof

Arithmetique Somme De Cubes Egal Carre
Solved Prior Distt Jacom Se T Normal Normal With Known Chegg Com
Is This Sequence Convergent X N 1 N 1 1 N 2 1 2n Quora

How To Evaluate The Sum Of N 2 N From N 1 To Infinity Quora

Integral Of 1 X 2 1 Partial Fraction Decomposition Youtube

Proof Principle Of Mathematical Induction 22 Explained How To Show 1 2 2 2 3 2 N 2 Nn 12n 1 6 Youtube

Limit Comparison Test For Series 1 N 2 Log N Converge Or Diverge Mathematics Stack Exchange

C Uºoe E ºioau Discusi N Spon Ad ºoe Au C U Luxury Modern Furniture Modern Furniture Luxury

Calg Developper Et Factoriser Exercices De Type Brevet

Energy Dispersive X Ray Edx Measurements Of Chitosan For Download Scientific Diagram

Sequences Find Nth Term For Quadratic An 2 Bn C Grade 6 Onmaths Gcse Maths Revision Youtube

Q26 Integral Of Lnx 2 Youtube

Big O Notation Wikipedia
Factorisation D Un Polynome De Degre 3

2 Determine Whether The Following Series Converge Or Diverge A 1 Imim8 N 3 N 2 N Homeworklib

7xqzlj5dr9ikhm