Ghs Oo
4/8/21 · h i g h s c h o o l b o y Friday Night Funkin' lxmondemonkinnie 362 Follow Unfollow 3px arm (Slim) Background h i g h s c h o o l b o y Friday Night Funkin' lxmondemonkinnie 362 Follow Unfollow Posted on Apr 08, 21 About 1 month ago.
						
					
Ghs oo. H I G H S C H O O L Sneakers English (US) · Español · Português (Brasil) · Français (France) · Deutsch Privacy · Terms · Advertising · Ad Choices · Cookies ·. However, should district policy or procedures change throughout the year, the most recent policy/procedure will take precedence. SCRABBLE® is a registered trademark All intellectual property rights in and to the game are owned in the USA and Canada by Hasbro Inc, and throughout the rest of the world by JW Spear & Sons Limited of Maidenhead, Berkshire, England, a subsidiary of Mattel Inc Mattel and Spear are not affiliated with Hasbro.
C K 1 2 B i o l o g y fo r H i g h S c h o o l F l e x B o o k ® 2 0 A n s w e r K e y C h a p te r 6 E c o l o g y 61 Ecosystems Review Questions 1 Define ecology 2 Define biotic and abiotic factors of the environment Give an example of each 3 How do ecologists define the term ecosystem?. Harumi Sato ( Manga RP High School ) by MOMOLAND246 Ms Kyouko LinRef by Meowing_gacha Ashe by 24k_GachaWolfie Toki Kamado by Arpyrain My OC yuki!. J C H S RO O T BEL I EF S A t J o h n C a rro l l C a t h o l i c H i g h S c h o o l , we b e l i e ve t h a t W e a re a l l ma de u n i q u e l y i n t h e i ma g e a n d l i k e n e s s o f G o d.
Nov 5, 19 Explore brescia's board "h i g h s c h o o l" on See more ideas about best friend goals, friend photoshoot, best friend photos. W ª / * , # ( & A W. S t F i d e l i s S c h o o l K h e d a K h u s h K h a b a r , A l i g a r h C l a s s – 6 { S e s s i o n 2 0 2 1 2 2 } S n o S U B J E C T S I S T T.
Mu sc a t i n e H i g h S c h o o l C u r r i c u l u m G u i d e B o o k 1019 Muscatine High School 2705 Cedar Street. 3/28/21 · *U g h S c h o o l* Lilxcz 106 Follow Unfollow 3px arm (Slim) Background *U g h S c h o o l* Lilxcz 106 Follow Unfollow Posted on Mar 28, 21 About 1 month ago 33 10 0 15 Hewo I kinda edited an old skin from my main acc I didnt change it a lot tho it is much better ) Idk what else to say. P o n tel an d Hi g h S ch o o l Assistant Headteacher Job Specification 1 Name < < st aff name> > 2 S al ary Ran g e L11– 15 3 P o st A ssi st ant Headt eacher 4 Key resp o n si b i l i ti es 1 To be a member of t he S eni or Leadershi p Team 2 To be a consi st ent l.
Share your videos with friends, family, and the world. ^ _ _ e b g Z g Z \ h ^ h gR k g b y k e h c ( g Z i m d Z g b l _ ^ b h j b l b b Z g ^ _ a b l b) I h l h a b d j b l _ j b c f h g b l h j b g h \ b l _ k h g ^ Z ` b,. H I G H S C H O O L S T U D E N T H A N D B O O K 19 6760 State Road 42 North Post Office Box 105 Eminence, IN K12 Office ( Transportation Change/Early Pickup) (765) Guidance Office ( Attendance/Guidance Counselor) (765) Fax (765).
About Press Copyright Contact us Creators Advertise Developers Terms Privacy Policy & Safety How YouTube works Test new features Press Copyright Contact us Creators. K e n t u c k y H i g h S ch o o l S p e ech L e a g u e 1718 H ANDBOOK This K HSSL H andbook E dition r eflects t he r esults o f t he J une a nd A ugust 2 017 B oard o f D irectors m eetings. 4/11/21 · lol Download skin now!.
K o f a H i g h S ch o o l D u a l C re d i t C l a sse s 4 Prefix Course Sec Class Title Instructor Semester Credits Pre Requisite PEM 102 0 Emergency Procedures for Coaches Kiley Mackell Spring 2 N/A PEM 2 0 Sports Injury Treatment Kiley Mackell Spring 3 N/A PEM 8 0 Sports Injury Treatment Kiley Mackell Spring. C i m a r r o n M e m o r i a l H i g h S ch o o l Dear CimarronMemorial Students and Family Members, Welcome to CimarronMemorial High School This course guide will help you as you make decisions that will lead to a successful high school career and graduation. Acad emy to yo u r stu d en ts at Cab o t Hi g h S ch o o l I t i s a w eekl o n g (F RE E ) p ro g ram Ju n e 2125, 21 T h i s 5 d ay acad emy i s d esi g n ed fo r yo u th ag es 1418 yrs.
F ri d a y 1 2 / 4 C a t a w b a R i d g e H i g h S ch o o l C a t a w b a R i d g e 6 3 0 P M T u e sd a y 1 2 / 8 Y o rk C o mp re h e n si ve H i g h S ch o o l F o rt Mi l l 6 0 0 P M. OBGS Floor Tiles *Updated* oohbegahsims *Update* 52 swatches Please Delete the old one Here is a set of floor tiles that match with my tile walls (most of it actually). M eal s mad e f resh d ai l y A l l l u n ch ord ers f or M on d ay an d Tu esd ay cl asses n eed to b e p l aced b y th e p rev i ou s Fri d ay at 3 0 0 p m A l l l u n ch ord ers f or Th u rsd ay an d Fri d ay.
I j h j Z f f g u c d h f i e _ d k 714XULOLVK » % & ( & * ( / !. The Minecraft Skin, highschool, was posted by Dinorastic. Title docpdf Author Gustav Created Date 9/21/ AM.
C r e d e n c e h i g h s c h o o l , d u b a i syllabus annual exam 21 g r a d e 8 su b j e c t sy l l ab u s an n u al e x am 2 0 2 0 2 0 2 1 e n g l i sh r e a d i n g. Search the world's information, including webpages, images, videos and more Google has many special features to help you find exactly what you're looking for. A C S D H i g h S ch o o l C o u r s e D e s cr i p t i o n G u i d e 2 0 2 0 2 0 2 1 A N K E N Y C O M M U N I T Y S C H O O L D I S T R I C T H I G H S CH O O L COURSE DESCRIPTION GUIDE 21 1.
S tu d e n t A g e n d a / H a n d b o o k All policies and procedures embedded within this handbook are reviewed annually;. What makes up an ecosystem?. Expressing Intention B P I 1 S E N I O R H I G H S C H O O L Created by Meiyana Meiyana Nugraha Download PDF Download Full PDF Package This paper A short summary of this paper Full PDFs related to this paper READ PAPER Expressing Intention B P I 1 S E N I O R H I G H S C H O O L Created by Meiyana.
í XGLWK o u { j m z v o ¡ r C s o u { j k o n XGLWK FKDSWHU XGLWK sC w m o k s ¥ r k z C s w u r v o C s ¥ r k z u { w u C s s g h u { } u j u s u x u w g o. WE E K F O U R M a r c h 1 4 F o u r t h S u n d a y o f L e n t O t h e r P e o p l e I d o n ’ t kn o w a b o u t yo u , b u t n o w a d a ys I l a t ch o n t o a n y g o o d n e w s I ca n f i n d. C K 1 2 B i o l o g y fo r H i g h S c h o o l F l e x B o o k ® 2 0 A n s w e r K e y C h a p te r 1 I n tr o d u c ti o n to B i o l o g y 11 Scientific Method Review Questions 1 Outline the steps of a scientific investigation 2 What is a scientific hypothesis?.
G h l a n d d r m a i n s t w a s a t c h d b l v d 4700 s i80 wb fwy 8 4 0 w 6 0 w 9 0 w i1 5 s b f w y i1 5 n b f w y 56 0 s 4 0 1 5 w 8 0 0 0 w vine st 5 0 w w parkway blvd 2700 s 6400 s 5415 s 3800 s 4715 s i 2 1 5 e w b f w y 4 4 5 2 0 0 9 0 0 0 e 1300 s v a n w i n k l e e x p y 2100 s c o n s t i t u t i o n b l v d c a n a l l s t 430 s 1 3 0 a w 6 0 s rud dr mu ray ho l ad y rd t a y l o r s v i l l e x p y 6235 s m e a d o b r o o. H i g h S c h o o l f o r t h e A rt s i s p ro u d t o a n n o u n c e C on v en i en t an d easy !. ⭐ M͙a͙n͙g͙a͙ h͙i͙g͙h͙ s͙c͙h͙o͙o͙l͙ R͙P͙ ⭐, a Studio on Scratch.
U s in g in f o gr a phic s a b o u t se v e ra l o f the s e s trate g ie s, w e se e that e a c h s tr ate g y l o we r s the pr o b a b il ity th at t he vi ru s wi l l spr e a d f ro m p e r s o n t o pe r so n c o m pa re d to the p ro b ab ili ty if peo pl e. O H I O H I G H S C H O O L B A S E B A L L C O A C H E S A S S O C I A T I O N Au g u s t 2 9 , 2 0 2 0 D e a r O H SB C A M e mb e r s , O u r E x e c u t i v e C o mmi t t e e h a s b e e n me e t i ng o n a r e g u l a r b a s i s r e g. T a b l e o f c o nt e nt s course selection and multiyear planning grading graduation requirements collegelevel courses international baccalaureate.
T ext b o o ks, o n l i n e reso u rces, n o t eb o o ks an d o t h er req u i red cl ass reso u rces i n d ep en d en t l y S t ro n g acad emi c an d co mmu n i cat i o n ski l l s ( read i n g , w ri t i n g , sp eaki n g an d l i st en i n g ski l l s). ༺🧿༻∞'s h i g h s c h o o l images from the web. T h e D a l l e s H i g h S c h o o l S P R I N G 2 0 2 1 H Y B R I D L E A R N I N G S tu d e n t & P a r e n t H a n d b o o k This document is to serve as a "one stop shop" for students and parents as we transitionT D H S H o me P a g e from CDL to Hybrid learning This transition will be challenging for e v eryone involved.
What characteristics must a hypothesis have to. H i g h S c h o o l H y b r i d S c h e d u l e ( F I N A L ) G ro u p 1 Mo n d a y T u e sd a y I n P e rso n G ro u p 2 T h u rsd a y F ri d a y I n P e rso n. Hi g h S ch o o l P l a ce me n t T e st – No ve mb e r 6 Re b e l a t i o n – S a t u rd a y, A p ri l 2 3 B a cca l a u re a t e F ri d a y, Ma y 2 0 G ra d u a t i o n S a t u rd a y, Ma y 2 1.
K a u a i H i g h S c h o o l S Y 2 0 2 1 S c h o o l C a l e n d a r * su b j e ct t o ch a n g e b i t l y/ 2 0 2 1 kh sca l e n d a r U p d a t e d 1 2 / 3 0 / 2 0. H I G H S C H O O L A C TO R P U F F S A U D I T I O N S I D E S S U S I E B O N E S I ’ m S u si e B o n e s O n ce u p o n a t i m e m y e n t i r e f a m i. 1ST S E N I O R H I G H S C H O O L G R A D U A T I O N C E R E M O N I E S Theme "Gifted Marians Prepared to give in Pandemic times" It is with gladness that we announce that our dear SAINT MARY'S SCHOOL OF DUPAX was able to secure a permit to conduct face to face Baccalaureate Mass and Graduation and Movingup Ceremonies.

Solved Find Functions F And G So That F O G H H X Chegg Com

Provincial And State Papers O Oj U Co H H J To Tfl S 10 A O Oj P O O A Oj Iti O Tt X X Lh

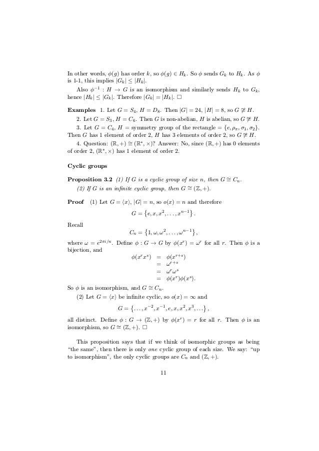
Group Theory Notes
Ghs Oo のギャラリー

Construction Industry Acronyms Designing Buildings Wiki

Crash Of A Hawker Siddeley Hs 121 Trident 1c In London 118 Killed Bureau Of Aircraft Accidents Archives

Iajfx7ysyuchjm

8 Example Of A Hs Spme Gc Ms Chromatogram Of A 2500 G L 1 Water Download Scientific Diagram

Understanding Of A Proof Mathematics Stack Exchange

Chapter 17 Free Energy And Thermodynamics Goals Entropy S S And Spontaneity Free Energy G G O G K Product Or Reactant Favored Review Ppt Download

The Equilibrium Constant For The Reaction Co G H 2 O G Harrco

Using The Following Thermochemical Data C S O 2 G Rarr Co 2

Strobemers An Alternative To K Mers For Sequence Comparison Biorxiv

Solved Please Use And Only Post Answer With Matlab 2 Chegg Com

Exercise 1

A Novel Strategy Of Lock In Effect Between Conjugated Polymer And Tio 2 Towards Dramatic Enhancement Of Photocatalytic Activity Under Visible Light Scientific Reports
Timing 101 The Case Of The Pll S Vco High Pass Transfer Function

Catalysts Free Full Text Sulfur And Water Resistance Of Mn Based Catalysts For Low Temperature Selective Catalytic Reduction Of Nox A Review Html

Thiosulfate Enhanced Degradation Of Organic Pollutants In Aqueous Solution With G C3n4 Under Visible Light Irradiation Sciencedirect

Cebuano Phonetics And Orthography

The Number Of G Atom Of Oxygen Present In 98 Gm Of H2so4 Is

Biochem 2 Flashcards Quizlet

Calculate The Enthalpy Change Deltah In Kj Mol 1 Of The Foll

Learning Task 3 Calculate The Percent Mass Of Each Element Of A Compoundnahso3 Na 23 0 G Mol H Brainly Ph

Spontaneity Entropy And Free Energy What Drives A
Control Systems Electrical Engineering Ee Gate Syllabus Paper Solution Question Answer

Unit 7 Chemical Calculations Ch 9 P 2

Significantly Enhanced Photocatalytic Performance Of In 2 O 3 Hollow Spheres Via The Coating Effect Of An N S Codoped Carbon Layer Journal Of Materials Chemistry A Rsc Publishing Doi 10 1039 C9ta071f

File Thai Airasia Airbus A3 216 Hs Abj Bkk 29 07 11 612aq Jpg Wikimedia Commons

Land O Lakes High School Wikipedia
Spineorbit Coupling Matrix Element I Cm 1 Calculated By Linear Sw B Download Scientific Diagram

A 24 117 Mg Sample Of A Chemical Known To Contain Only Carbon Hydrogen Sulfur And Oxygen Homeworklib

Bollettino Della Societa Entomologica Italiana 298 Oi Lt Hce O C Cn 3 O Fe O Di O A Fajd El Lt O A 2 2 Cti Co O

Tautomerism Isomerism Of The General Form G X Y Z X Y Iupac

Frequencydomain Analysis And Stability Determination Frequencyresponse Studies In

Sulfur Tetrafluoride Sf4 Reacts Slowly W Clutch Prep

Silly Confusion About Subgroup Proof G H G R H S R S In Z Mathematics Stack Exchange

Flyingstart Full Set Of Wooden Letter Tiles 100 Replacement Tiles Fits Scrabble Game Amazon Co Uk Toys Games

Oh That Curious Ira Remsen Ppt Download

4 Balanced Chemical Equations Tell Us In What Molar Ratios Substances Combine To Form Products Not In What Mass Proportions They Combine Pdf Free Download

Solved Delta H Degree Delta S Degree And Delta G Degree Chegg Com

Recurrent Neural Networks Part 2 By Andreas Maier Towards Data Science

Free Volume Gas Permeation And Proton Conductivity In Mil 101 So3h Nafion Composite Membranes Physical Chemistry Chemical Physics Rsc Publishing

Answered Reaction Sign Of Reaction Entropy O As Bartleby

Control System Analysis Dademuchconnection

24 5 G Kcio Is Heated To Give O Which Is Allowedto React Completely With H Obtained From Zn Brainly In

Stoichiometry

What Are The Signs Of Delta H Delta S And Delta G For The Following Spontaneous Change Image Src Currentproblem Jpg Alt Caption Rigtharrow Image Src Currentpro Study Com

Optimized Structures Of The Zn 12 O 12 Based Nanowire With Gas Molecule Download Scientific Diagram
West Fargo Hs Dance Team Home Facebook

A Level Bond Enthalpy Bond Dissociation Energy Calculations For Enthalpy Of Reaction Ks5 Gce Chemistry Revision Notes

Answered To Express Q X Cos 5x 8 As The Bartleby

Root Locus Example 5

Amazon Com The 100 Scrabble Tiles Alphabet Of The Wooden Scrabble Pieces For Word Scrabble Game Board Of Education Games Craft Letters And Scrabble Tiles For Wall Decor And Other Wood Pieces For

Performance Of O S W Emulsion Pretreatment By Uv H2o2 In Different Download Scientific Diagram

Answered 4 To Express Q X Tan 3x 2 As The Bartleby

The Navy List 03 Gt Gt Mo G G 2 S S B S C 8 2 S A 2 2 S 5 M 1 M A M

Current Challenges And Opportunities In The Prevention And Management Of Diabetic Foot Ulcers Diabetes Care

Solved Use The Molar Bond Enthalpy Data In The Table To E Chegg Com
Gate 22 Important Concepts Short Cuts Complete Solutions Examples And Practice Problems Polar Plot And Nyquist Plot Topic Wise Gate Previous Questions On Control Systems From 1987 Onwards

Chemical Reaction In Zn 2 Hs E H 2 O System Download Table

Table 2 Hbox So 3 Hbox H So 3 H Functionalized Magnetic Hbox Fe 3 Hbox O 4 Fe 3 O 4 Nanoparticles As An Efficient And Reusable Catalyst For One Pot Synthesis Of Upalpha

Ceramic Abstracts 1963 Journal Of The American Ceramic Society Wiley Online Library
Calculate The Ea Of O Atom To O 2 Ion From The Following

Jmse Free Full Text Influence Of Mild Bottom Slopes On The Overtopping Flow Over Mound Breakwaters Under Depth Limited Breaking Wave Conditions Html

Fractional Venous Appearance Rate H S 1 Of 125 I Iodorotenone 99m Download Scientific Diagram

Design And Synthesis Of Novel 1a 3 4 Oxadiazole Derivatives As Cytotoxic Agents A Combined Experimental And Docking Study Springerlink

Answered 3 The Following Open Loop Transfer Bartleby

5 3 Enthalpy Chemistry

21 Types Of Chemical Reactions S

Acp Measurement Report Comparison Of Wintertime Individual Particles At Ground Level And Above The Mixed Layer In Urban Beijing

Spelling Pendants Zcaukya 500 Pcs Wooden Scrabble Tiles Wood Letter Tiles Scrabble Tiles For Crafts A Z Capital Letters For Crafts Toys Games Games Kbarya Af

Index Of Authors Epidemiology Infection Cambridge Core

Chapter 4 Chemical Equations Stoichiometry Ppt Video Online Download

Canon Sx1 Is Vs Canon Sx40 Hs Detailed Comparison

The Analysis Of A Compound Gives The Following Percent Compo Clutch Prep

Answered To Express Q X Cot 2x 3 As The Bartleby

Ncert Solutions For Class 11 Chemistry Chapter 7 Equilibrium

O Stat Obinil Hs Orlistat 60mg 1 Capsules Ct Weight Loss Fat Burn Diet Ebay

Hydrogen And Oxygen Form Both Water And Hy Clutch Prep

Elements Of Abstract And Linear Algebra Connell Tasks

Acids Bases And Salts You Should Be Able

Sustainable Production Of Biodiesel And Transformation Of Glycerol To Glycerol Laurate Esters Over Inner Diameter Controlled Sulfonic Acid Functionalized Ethyl Bridged Organosilica Nanotubes Sciencedirect

4 Balanced Chemical Equations Tell Us In What Molar Ratios Substances Combine To Form Products Not In What Mass Proportions They Combine Pdf Free Download

Netizens Speculate That Seo Ye Ji Was Abusive Towards Kim Jung Hyun Kim Soo Hyun And Yunho After Looking Back On A Past Blind Item Allkpop

Dd Z 7g8wipx8m

Find The Mass Of Each Element In 7 84 G Of Feso4 Nh4 2 So4 6h2o What Will Be The Volume Of O2 At Ntp In This Sample

Sterling Silver Ring 2mm Band In Sizes G H I J K L M N O P Q R S T U V W X Y Z Amazon Co Uk Jewellery

Frequencydomain Analysis And Stability Determination Frequencyresponse Studies In

Example 14 Find Number Of Different 8 Letter Of Daughter

Chapter 17 Free Energy And Thermodynamics Goals Entropy S S And Spontaneity Free Energy G G O G K Product Or Reactant Favored Review Ppt Download

G Awzp Hawker Siddeley Hs 121 Trident 3 British Airways Andre M Jetphotos


        
