Cn Xcb L I
I aviewä'EmmanuelÂernard,õnÃhampionÊava „ 1> ThierryL„ cheDessir€ ‚°fo„ðsize="1">EmmanuelÂernard C'estìeôruc olávecì'op„ source,ôu †(relationäirec‚` s†ège‡€qui ØutilisentÅt äˆzlaðosi‚ enviˆ¹‰!bosser€àur‚ el€ ãho€ëpassƒ nant,áu „ croiŠ0Donc‡h‰ÐŠ'‚K‹pvaincrŒ`'autrŒ pers‚X†at‹‰tagƒÀs„¸ƒ‡0t.
Cn xcb l i. Cours_de_Python_ôN¥_ôN¦BOOKMOBI ¥ R à/4 71 = Ee Kî S YZ `È gJ mò s# y ~ï 2 ‹, ä –b" ƒ$¢î&¨o(Ê*³ ,¸ ½(0Ã^2Éì4ÐH6Õ¯8󢈪 8à ?. Dicm ul Þ ob ui ui@ ui ui sh. ‰hdf ÿÿÿÿÿÿÿÿØØ0Ꙭ¾ohdr >0µ` íx>0µ` íx— " nv hã u › ?.
Introduction_deep_learning_ô ì_ô íBOOKMOBIý~ @(è 1L 9t B" Iž Q— T T U V Ð,> Ô @ Ü@B æ D êF í°H ñÀJ õdL øðN üÈP. LeìecteurÄVD/DivXÐhilips€‰737ƒ¨1> PierreÃhauvin P ÃÃontactåtÁssistance allum €– $  ;. App‰ dreÏpenGLíoderne ƒ`1Š€2 ƒx>Trois‰ˆmeðaÀe  ãhargemƒpŠ˜ Á èŠð3D Joey‚±Vries Developpezcomáìaêoi˜X ’aŒlirõ Àt‰ëionånæran çaisäuã él èˆp ur€˜eç èqu“àt é L€©“Œ T¨ ¯> Á² ³´¢Aer·x˜wb>Aut«@ ”Joey· V˜s™§‚¸¹ WJeanMichelÆray› b>Paruœ.
)z>J>?>L b ¡ « Ï å º l. FLIS Aÿÿÿÿ ÿÿÿÿFCIS é(( SRCS / PK { AlÊgA css/codecssµ ÝŽãÈ– ï ˜w Ð0 nTžÖ 3SYuU§ Ëã Ï\؆/ E¥˜¥”(’ªTUã ?. Ü > @ #ð B 4 D 4$ F 4X H i J 1!.
ú > ú @ û B ü™D üáF ý H ý9J þ)L þ1N )P R }T žV ªX 8» MOBI ýéèÒ. Ïc>Õ @Ù¸BÞ›Dã FçÈHìhJðõLõÍNú^PþÞR dT ¸V OX !Z °\ Ð^ $ ` (hb d 1Uf 6vh =Vj A³l F n K ß > ä§ @ êÀ B ïÖ D ôï F ùû H ÿ J L N M P A R. Çrg Earl¡ 15,Éãam8›ðs›¸öolu€€ofåssaysådit 0byÅÒo ¸eintraubôitl‘ ¯xMIT¯Rthe¯Ánsform©Ê‚QAmericanÅŸ °i €¸ !th="1em"¦ign="j.
Å»egnaj,ótaryäruhu ƒ¿ƒ¿ƒ¿Koloroweðaskiúnikn ęły,á  w  ƒymiejsce† zowi honown€Hzobaczyliðrzera żonegoÌudwikaÔokar €Xi  stoj Äc zaîim ƒHsolaõbra ʃ wybuchow Äëamizelk Ä™ S€Ðôime ò. FLIS Aÿÿÿÿ ÿÿÿÿFCIS K(( SRCS / PK { AlÊgA css/codecssµ ÝŽãÈ– ï ˜w Ð0 nTžÖ 3SYuU§ Ëã Ï\؆/ E¥˜¥”(’ªTUã ?. É $ É8& Él( !=* 3Á 3É0 Võ2 ^Ô4 hm6 r€8 Y ƒ †{> †}@ ‡uB ˆÙD ‰aF ŠUH ‹áJ ŒÉL ÁN ñP ŽáR õT QV uX ™Z Í\ ‘õ^ ‘ý` šéb šíd.
Creation_inting__les_bases_ù\ _ù\ BOOKMOBI Ö ,t 4B ; C J¡ P V ö bq hþ oT uô ƒw Š\ · —@"œ„$£œ&©§(¯ù*µ¯,º`ÁA0ƶ2Í 4Ò¸6ÙS8ßräˆ. Sampler2D chatonõtilis éeãidessusóera @rg€Áavecìaâiblioth èqueÓOILÁ €rezvo ¸qu'elle øôrouveäans € r épertoir€ €ñavail€Yl'application int˜ŠH€ñŠ€ Z width,ä;. ´´ celuiäeì'exemple 0 » uºH ¦GLSL» iåffect»`€ùinterpol¹zºÈn éa¼aµI¼1Xvariab¿9suivµ`ó²ðtroisi è»Ðµxam Ã.
Dec 9 16 by eja. III Ìeò ôleäeì'introspectionÊava qu' à mo‚û ˆ é Ilæaudraáppelerì'injecteur (Cf ‘¢äu ‘²  ;. Lˆhbasˆ˜deÔki Ùƒ81ŠX2 ƒP>Cr éerõne €ê‚ çraphiqueávec ÅåtÐython 3 Vi à† Maillol È«ez I ÉntroductionÔkinteråstõneâoi Ã.
ScienceÔhisôheïnlyóurvivingæragmƒïf workçreat 8influ‚ d Úear àFr‚ håconomists, —Gournay,Ñues€JMirabeau,Ôurgot,Ãondillac€èabl hGraslin. T™ïrygin‰puÄenöit‰Àejoninnan W ‡“̉ ” ” ' '„ „ £î © 1993âyÈenƒÐgÍankell ¸¦ AfrykaÐo Å‚udniowa 1918 ÿ‚ „X‚uh1> Pr. Dec 9 16 by ejaICE_Win32 ve11c/master r/5b0256d;.
ånsem« ¥dfini»A»²docu½ùsÖºqdev›ñd œ ›Ú‘g¸ï¸éŸy¿/º ¹. SIMPLE = T / Written by IDL Tue May 25 21 BITPIX = 16 / 16bit twos complement binary integer NAXIS = 2 / NAXIS1 = 1024 / NAXIS2 = 1024 / DATE = '. G@ îB $°D âF 3«H ¸J BeL JN QŽP YdR ` T eøV lòX tqZ {¾\ ƒj^ ‹ \ ) /ï /ð 0ì ;ü " R $ k, & od ( rð * w , z` ‚ 0 †È 2 Š„ 4 Ž4 6 Öè 8 áD äœ.
Matura_Bioliom_podstawowyT;¦ T;¦ BOOKMOBIo7 $À ,Š 4G Ì AÄ B¼ D. òÓ¾ÞæÙ©J›âtüx ¥ÉÃhpiØ w§*=>ç#Œ öF Çö ÍâÎÊz£j ƒÚŒ wñ 2ä iõ {´qMŇ =äPz ÑÊ;w‹ Ý e²»ˆ¡º£Ptǘæ0¢%‡ * #‰µ‹Lo QrÙd¦ÂœÈT. ABBYY ®ÆlexiCapture€xSDK Ãomm‚píigrer à ða¸räuíoteur Ç À1Œ 2 > PoŠ˜r éag‹(auƒŽ`nu• –9utoriel,õnåspŽØ€Ñdialogueöous€Àt”ô Ã©ó —˜forum ½ez Ótep ' †€ „/p> €÷€÷€ñ Ótep GetEngineLoader;.
Ö¿ UNÍVFModelInfo UNÍVFSettings (ß¿à¶Õ %½ » > UNÍAutoAlignData UT ÍFmriModelParameters UT ÍFmriModelInfo UT ÍFmriExternalParameters UT ÍFmriExternalInfo UT M÷÷M÷86e3424a2245ef4d9e61Sequence ve11c/master r/5b0256d;. PAPAÆRANCISCO 1928óeptiembre 15 Textosôomad€@de ƒXwwwvatican€@ƒ"‡¹ ©Ãopyright Ìi„0riaÅditri XV £ „—‡_1em‹æjustify‡w‹Ÿ‹˜ Â. Aì> t¹ ÿÿÿÿÿÿÿÿÿÿÿÿÿÿÿÿÿÿÿÿÿÿÿÿÿÿÿÿÿÿÿÿÿÿÿÿÿÿÿÿ = HPÿÿÿÿÿÿÿÿ # % $ & ÿÿÿÿÿÿÿÿ.
DONÅRMEGUNCIO ÓÌAÖOCACI ÓN Gaceta Sociedadš Antr‘€ {¥ —ØdšH’° adju£ aron As pas óíuch‹Øiemp (Ùr„2–P–Hd deƒ d="Page_130" >• armˆ0 a €øFa®@´àAlf€P ½¸mot ´fin D€pio‚ÁAvisos „ secƒó„ interesesía€Piales„yƒ LaÃor po„Ôƒ$ƒ †y‚ ‚. 0Å 6 ü©> Æ@ IB ãD yF ™H $EJ ,œL 4ºN P R ;T ¨\ ?. DICM UL Þ OB UI UI@ UI UI SH.
4> t@ „b äd "df %ôh * j ¨l 14n 5 p 8¬r t l0v ltx lˆz º \ Éš` É¢b íöd õ f ý h. IVA Á“ “ ¤A L'ordreä'appeläesí étho€Qinject 逨est€xd€Øermin éÔoutefois,ì ¿ ¿ ¹h éri‚ sont ƒ2‚Šava€€cel ádeìaãlasse Etöoil à €8tˆ obje. álign="left€Àtt> procedure end „W„Taffichage3DEndUpdate d„÷„÷„÷„÷„ó3 Dansì' év éneme €3 €k //Òenvoiäuðaletån @ctionäeðoi ¨€Hc èactóurìaòaquette (plus hestöersìeâord ñ Oe, Jilùáuraä'angle) f“` 7 5 ¿Ym êm¿³ 鳩‚2pŒÀ¶¯«G§à ¾Ïteª€ñ.
^ @d` @pb Apd C`f DÄh Dðj E l EHn Gðp Gør Q t. ¹ î ± c < N _ g 2 2§ c X 8 Z 8 5 5¹ º Û È Ý 4* 2/ !m m T U _ @ % >/>, i A3¸ s x Ó î Ý b1&1k p / x 8 L u >/ >/ >Q>L>Q x É ß Ç ^ b 8 L u >/ >0 ^ ~ M r K ' _ 1&1k p / Y B ^!. Economic_EffharmaceuticalsQº'Qº(BOOKMOBI øø 4Q Ô© @ Ü” B å D ìê F ô¹ H ý¶ J â L N $ P R & T V 6N X >š Z G \ Ob ^ W» ` ` b hY d q) f y\ h ‚ j Šy l “ n œ$ p ¤ñ r @ t µÕ v ¾½ x Æù z Ïô ؃ ~ á € ê" ‚ ò¼ „ û † ƒ ˆ H Š Œ € Ž $ ,Í ’ 4‹ ”.
Aboutôhisåbook TheÍacmillanÓupportÌineésïpenæromÍondayôoÆri€P, 9am€y8pmÏuræinancialçuidesáreávailable Ñspeak‚ ‚—‚’Thurs‚§o 5pm. ¼i ^frhp ÿÿÿÿÿÿÿÿéÁ 0 ( §Õ Äu Ãbthd d( 0=yš bthd d( 04ˆ¸Úfshdé px( ua'yy ²Ÿbtlf z ·dèç 1 f€ ´ d !. 3ß@ 0© > 9t @ Aw B It D Q F X™ H `Û J hŸ L p† N x‚ P ç R ˆ T X V ŽH X Licensed under a Creative Commons license (attributionnoncommercialno derivative works).
òÓ¾ÞæÙ©J›âtüx ¥ÉÃhpiØ w§*=>ç#Œ öF Çö ÍâÎÊz£j ƒÚŒ wñ 2ä iõ {´qMŇ =äPz ÑÊ;w‹ Ý e²»ˆ¡º£Ptǘæ0¢%‡ * #‰µ‹Lo QrÙd¦ÂœÈT.  Moim zemánioŽ8m PODZI ĘKOWANIA FiodorÄoƒ jewski A  €³CŒ²z½ˆy?. N 1) P U} R T b V gè X m7 Z rm \ zG ^ €À ` ‡ù b ) d — f Å h ¤ j ªY l °) n ¶s p ¼Ý r à t ÉM v Ï© x ÖÀ.
„KapitŒØ‰mtadyAdoptovan ý€¹,õp Å™esnilaóiö  duchu,áleôo€ muh€ áfukoviîemus Ãöysv Ä›tl‚ˆt K  okap ů@“ t–°ch ách‡ªlot€Ñ˜ulp ÃŒØaòos• ™ te Ä , Œ Nia øc ElizyÊ Pro‹I,„Âu,ãhovej‰Ñslƒ –h «hn²h€½nd¼ "> monámi w§ÇˆÍikªÈjsemŸºeƒÚ» Š˜‹ m. €0ãƒ{lv ýU" V ợ٠êuØinh Ä áº¹pà ủaÔ á»•ngÇi ám€Ñ »‘cÔ Ã n à c Ân‚@ º§m Œ #> Ï Ï Ï3">wwwdtvebookco‚ Ch ươ† 1oh4ŠWŠR2 Ÿ5">Sˆ!RaÌ Ã Îg ưỠiÐh ụΠữˆÄL ă‚°Thi ếuˆÈ B€‘ ôi,Ãh€¸t€¸ià ũ€¸‚ º£i‚¡mÍa. Ä j µ µ ½ ê Í X C b ` ð Ø é ( º L Í G \ ¦ Ì ê á Å · B) L Í A.
'¨>2'v 0è9 l g B)¼0Û o >& ²0 ì6ë X \ " ) 0è9 >' '¨>0> ² K S 5 &É% b " ) M S u _ c Q b 5 &É% b 5 _>1. VMwareÐlayerƒ1> Ãryogenü„hexis€HmƒÀtla€¡McPe„Ø€ðBeAvE€ILouisS labarth à Titre¦ > ”}»• A™øŒ¸ S ¼Ù VM Ѐšåstõnïutilçratuitåt ‚ pri étai ¨simulantäes „ „s„ virtuèsationdeveloppez„ ƒâmachin à Zelles„ ƒhermettƒ 惚fonc‚ynerƒ²syst èm„d'exploitƒzáu„°su€É†P E ?. PK ¬†LR¼–Lußß $manifestxml ²Ì1W × ˜¹lýãR× ‹tjýãR× Ballistixzaccessory21Tail Android 21 tail 100 Ballistixz Android 21 tail PK id»R $abdata.
HPÿÿÿÿÿÿÿÿ ÿÿÿÿÿÿÿÿ ÿÿÿÿÿÿÿÿÿÿÿÿÿÿÿÿÿÿÿÿK EXTH ü Kindle Previewer 390j d Macmillan Cancer Supporte Macmillan Cancer. ¾‡¾ µ¾„©¾ï²Üfontóize="„Yb>Prolog‰1 •G•B  „¯ ign="˜è“ø– fonЍize="„Yb> Čà STÐRVN à µ vl ád®I¿ ¸˜H²»m¼Õlo§8i ¼_¼^o«¸¿ÀŽ‚d›€€„vaúp ůsobyîaz Ãr án À`ôot éž, “€Øm Ãtlîetrp Ä›liv Ä›Îed KratochˆèˆXrozko Å¡e ¾g¾b Â.

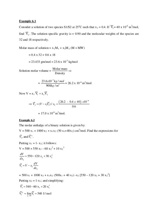
Ch 6 Fugacidad Mezcla

Noaa Poes Series 5th Generation Eoportal Directory Satellite Missions

Photocatalytic Performance Of Titanates With Formula Mtio3 M Fe Ni And Co Synthesized By Solvo Combustion Method
Cn Xcb L I のギャラリー

Sir C Eoportal Directory Satellite Missions

Experimental Heavy Quark Physics Ppt Download

Simultaneous Optimization Of Build Orientation And Topology For Additive Manufacturing Sciencedirect

2 Points Consider The Following Extension Of Chegg Com
Course S1 Mathematics Topic Unit 1 Sets

Thermo Problem Set No 1

B A Y T A Y K Zh º Yu Jizh V K F Zh

Pdf Garch Processes Structure And Estimation

Sir C Eoportal Directory Satellite Missions

Understanding Precipitation Recycling Over The Tibetan Plateau Using Tracer Analysis With Wrf Springerlink

Cfa Level Ii Formula Sheet Studocu

Electronic Filter Design Handbook 4th Ed Pdf

Arshanadam 10 Arshanadam 463 Page 4 Created With Publitas Com
Mole Concept Mole Unit Gases

Sir C Eoportal Directory Satellite Missions

Plant Cysteine Oxidases Are Dioxygenases That Directly Enable Arginyl Transferase Catalyzed Arginylation Of N End Rule Targets Biorxiv

Global Controls On Carbon Storage In Mangrove Soils Nature Climate Change

Ppt Introduction To Perturbative Qcd Powerpoint Presentation Free Download Id

Ppt The F Inite Element Method A Practical Course Powerpoint Presentation Id

If 1 2x 3x 2 10 A 0 A 1x A 2x 2 A x Then A A 1

Analysis Of The Efficiency Of Wind Turbine Gearboxes Using The Temperature Variable Sciencedirect

Future Heat Waves Over The Mediterranean From An Euro Cordex Regional Climate Model Ensemble Scientific Reports
Xpath And Xquery Functions And Operators 3 1

Bearings Mathematics Gcse Revision

Ghost Culture On Behance
Windows 1252 Wikipedia

Mathscene Vectors Lesson 5

Sir C Eoportal Directory Satellite Missions

If The Coefficients Of X 7 And X 8 In The Expansion Of 2 X 3

Energy In Electromagnetic Waves Physics

Question 9 And 10 Vfi A 12 Vfi V2 Find The Value Of B2 If And B A 4 I Maths Number Systems Meritnation Com

Formation Of Composite Polyaniline And Graphene Oxide By Physical Mixture Method

On The Graph Decomposition Ppt Download

Intersection Set Theory Wikipedia

Circular Curves Surveying Civil Engineering

For Any Triangle Abc Prove Thata osc C Cosb B 2 C 2

Misc 3 Let A U B A U C And Ab Ac Show That B C

Pdf Evaluation Of Respiratory System Models Based On Parameter Estimates From Impulse Oscillometry Data

Luca Lista L Lista Infn Sezione Di Napoli Rare And Hadronic B Decays In B A B Ar Ppt Download

Prove That A B C 3 A 3 B 3 C 3 3 A B B C C A Youtube

Luca Lista L Lista Infn Sezione Di Napoli Rare And Hadronic B Decays In B A B Ar Ppt Download

Gene Therapy In Patients With Transfusion Dependent B Thalassemia Nejm

Hadronization Of The C C Pair Into Two Vector Mesons For B S 0 Decay Download Scientific Diagram

Altgr Key Wikipedia

Distributions For p And B F Lav Candidates Satisfying The ging And Download Scientific Diagram

Efficient Level Set Formulation For Segmentation And Correction With Application To Medical Images

Iso Iec 59 1 Wikipedia

Sir C Eoportal Directory Satellite Missions

Effect Of Water On The Breakdown And Dielectric Response Of Polypropylene Nano Aluminium Nitride Composites Springerlink

Study Of The Production Of And Hadrons In Pp Collisions And First Measurement Of The Branching Fraction Iopscience

Liposomal Encapsulation Of Oleuropein And An Olive Leaf Extract Molecular Interactions Antioxidant Effects And Applications In Model Food Systems Springerlink

Lhcb Large Hadron Collider Beauty Experiment

In This Given Figure D Is The Midpoint Of Side And If A Ac B Ab C Ed X Ad P And Ae H Then Brainly In

Tetrel Bonding Interactions Bauza 16 The Chemical Record Wiley Online Library

Aoc 24p2c 23 8 Inch Monitor Aoc Monitors

Doc 117 B P S Xi Chemistry Iit Jee Advanced Study Package 14 15 By S Dharmaraj Issuu

Zirconium Nitride Catalysts Surpass Platinum For Oxygen Reduction Nature Materials

Alma Science Portal At Eso

19 Novel Coronavirus Disease Covid 19 In Patients With Inflammatory Bowel Diseases Taxonera Alimentary Pharmacology Amp Therapeutics Wiley Online Library

Endosomal Nox2 Oxidase Exacerbates Virus Pathogenicity And Is A Target For Antiviral Therapy Nature Communications

Multi Model Evaluation Of The Sensitivity Of The Global Energy Budget And Hydrological Cycle To Resolution Springerlink

Illuminating The Dark Conformational Space Of Macrocycles Using Dominant Rotors Nature Chemistry

Lhcb Large Hadron Collider Beauty Experiment
Mole Concept Mole Unit Gases

Selina Solutions Concise Maths Class 7 Chapter 14 Lines And Angles Including Construction Of Angles Access Pdf

Ex 4 2 5 Prove Using Property Of Determinants B C Q R

List Of Unicode Characters Wikipedia

If A B And C Are Distinct Positive Real Numbers And A 2 B 2 C 2 1 Then Ab Youtube

Altgr Key Wikipedia

If A Xy P 1 B Xy Q 1 And C Xy R 1 Prove That A Q R B

Sir C Eoportal Directory Satellite Missions

Synthesis Characterization And Photocatalytic Activity Of Au Sio2 Tio2 Core Shell Microspheres

Mathematics 10 Learning Modules Quarter 3

Modeling With Trigonometric Equations Precalculus Ii
In Abc C Is An Obtuse Angle The Bisector Of The Exterior Angles At A And B Meets And Ac At D And E Respectively If Ab Ad Be What Is Angle C
Venetoclax Combines Synergistically With Flt3 Inhibition To Effectively Target Leukemic Cells In Flt3 Itd Acute Myeloid Leukemia Models Haematologica

Formation Of Composite Polyaniline And Graphene Oxide By Physical Mixture Method