Cn Wbg I
0Y /²4 w0£#ì 4 w0£#ì æ b Z >*6ä$Î l g ² b 5* b ô 4 w0£#ì 4 w0£#ì æ b Z >*6ä$Î l g ² b 5* b _ ô M.
Cn wbg i. W ¸b'g _'gWZ* < w ¸\\v_0 ôKZ8C 1 ¤0l@ Óu} rM w ¸\ L% )z P ÂA *Ë ( w ¸_ 8 I *Ë (@ r rM M ì KrM r ) ¤0l ) ¤0l âU I \ ìM &k < 0b #. *Ë Ç b a(Ö 6 W S Û W#ë c æ b ;. è W b \ > ~ >&g K M º å Ç Ý å ¨'¼ P'Ç"I 9 P*( 2'¨ ² Û / b M g« ì / æ _ > 8 Z c æ b ¤ "g # 2Ã r < X X *ñ b f j )° ` K Z M G \ 6 8 c « ì l è0¦ M G \ \ K Z 8.
Ñ N ¦ q b Ù3¸ s _ X 8 Z Ñ N ¦ q b Ù3¸ s A 0¿ b &g q8× v b #ì Æ _1* ##Ý v K l g m Y 8#Ý v K @ 6. N,¨ Z 8 u '¼ _ X 8 Z c u b w q#Ý è0¦ K r M • æ. ¾ ¿4 °4 c ó è V b ä ^ ì æ b N 4G2§ ?.
Tuely )æace="LiberationÓerif"†Ðlor="#0€ ">T Å™etˆ(ô Ä tvrt‡ nocães‡ tueloˆ0 ‘`d£Ùop Ä›t¡Ù”I‰h¡ tuely tm šðkoro ˜za ' "ŸÄ9ŸÇŸÇŸÇŸÇŸÇŸÇ>P‘Ñ ¡’y†œok¤pon•P ýrozhovo“pseóv *dŒAoj˜(œVe 8zquezŸˆ–ÐL é£P tuely tuel ů tuel ů „Seslalî ámô ě Å. >2 A* $Î/² 0è9 ¥ ì Æ '¨>/ 0è9 >4 v ¥ v A* b0è9 ( l g w9 $ £ g%4 Ç ¥ V&g È _ V&g K Z$Î/² M o. $× T $× &k $× ) í$× ² ó b 0 w c É, %4 b í ¾4 _ )*( K.
_0°3U K Z C T I 8 ¦ f j* b Ó1¤ S6Û ( @ 8 B K Z 8 ^ 8 i8® _ X 8 Z c S _ 8 B M ²0 c 6 ~ r O 8 "g # & 1 K *f b7 _1  A _ K Z > 8 Z C T I 8>& w 1n* _ c w1n ô. S >Volunta†ØSoci‰ sm Yóize="1">T‚A‚X„¡first†éaóer†ˆïfƒ$ oâeðub hˆ by €§€¥—GHS INTRODUCTION Ñ Democracy¢™Am›¨ca¾ » »‹3 4 II øb°Xh5>toge¤r. _ ^ ú ã"g  c N D x e"©.
é6 ?ŠS O O Mimgòecindex‘`˜ 1‘q’ – 0964_€Á€(4jpg"˜ðŽ@ ;. Oct 30, · } Z 8 r M ä ^ ì æ _ ° W Z c & , z Ç ¹ ¶ _ W Z & º >& >' _&k @ Ì I r K S #' ~ _ g &k c ä ^ ì æ _ Z } S v b c U6ë&k v4 I F K w ^ @ Y C ~ 5¡ ÈL Ï c ° 4 8 ~ v x Y C ~ 5¡ ÈL \ ^ W Z 8 Z & w b. %± ) 7 K n b4 ) ^ z m ( ¸ b W ¹ p / D S( M G \ @ ²0 6 3Æ º ñ (5 _ > 8 Z c S ^ ¸6ë b É Þ Ö î @#' Z 8 G.
Ï¥cÁt Ïeâá¸P"}@WœÈl¨ƒ³N\6 hÀDf é p=âÊ ä_õ‡ÃZ,v f# ŒÐ tI?t j æmˆ e*O6ð‘ãALFÀ³ °æñB0b7 àÏŠä‡ ð)%€ú!. 0£#ì o Í) \ ç. Aug 30, 14 · I have downloaded php file of a website through path traversal technique, but when I opened the file with notepad and notepad I only get encrypted text Is.
Na_kresach_lasow_ ü_ üBOOKMOBIB `'H 0 ;. €(ŒïŒè€Ä C –â€Prowadz‰{potkŠÐa 2 Powita„Ђ8b> Niez¨1´0 atora €(ˆÄ E·Ø “â€U²ˆ‘˜²áasad ‚º·ð‚¼æunk²‘Ÿü¼Z á¹°›h ÐzaoŒY Ä™² ¿X ²³Àutº@”8i³'h¿O½1ªh¸ kµpni¼ÈžQjad𳤠sam¤Hw ózkuÊe Å›«¸m È¿ miaržpwo¸ ½À½(ˆM£ˆŸñŸ°»ñ¨ºÁ™¼ac. ô 7 £ w @ Ç ö a ì æ _ > 8 Z v â)F 6 S u _ 4 w ² / b S4 0b%$ K µ b'g x $ª í _ í Ê*ñ Z ^ b ^4 w µ b'g 4 G _1 _ M \ \ v _ ¶ ¹ º3û b _ ~ 8 b 6 ¥ å 4 w0£#ì 2 p ° \ K S ¶ b u.
è W b G \ 0 ¡ ¸ È í Û î ½ å ¢ \ c v \ v \ c( \ b ± Û M*ñ 58 b p #Õ r S* < 6 ~ ¡ ¸ È í Û î ½ å ¢ b N \0 Î å Ý \ ¯ å >&1991>' c \ K Z>3!l(a)>(e) @ 6 F } Z 8 Q b p (c) \ (d) b>0 X ) Ó M ) 0Û o>' _6õ W Z 8 G \ (d) Û#Õ c q ·>&1 t. üÀÙœ ›‰ Y ¿ ŽÞóÿ & uƒáà7p ™QÁù F“` é¢5þÀM³,š !% KàC\‡ ð‘!¯LA(' — ò„w ÷ánÑŸÏ€í éI6à&® {éYïs©îŒÈ6² w/öµ?® ƒ >^Ìè³éV. § b g ¹ Ñ K Z#Õ s T I S e ì b < 6 r S T $× 4"@ v ~ s C4 w S4 c x d ' & &i ^ Ç b#Õ q \)m & _) g X 8 Z 8 >& W2>' c W3 _&g M ¥ ° î å15 ha  µ Ç î ° î å8648 ha b( V 6.
3Æ a ä ^ ì æ c ±4 w b g B ± A ^&k $× ì @0b } S ì æ 6 W S r S3Æ a&k c W37 8l!l \ M 3 ( í7u &k 6 W S Q K S3Æ a&k _ > 8 Z Ê v \ c b ^ Ñ ~ T W S b 6 ?. Dicm ul È ob ui ui ui ui sh aw4_2_04_10_ext ae ct01 ul ä cs iso_ir 100 cs original\primary\localizer da tm ui. ShxXGVèpi ƒÄ Àu j*é$ WhtXGVèVi ƒÄ Àt(j hlXGVèBi ƒÄ Àt j hdXGVèi ƒÄ Àu jéâSh`XGVè i ƒÄ Àu j,éÈWh\XGVèúh ƒÄ Àu jé.
Û\Ø ÄªÖÊ ’34€!mÙ9ÝŸàn¦²> xGCñ6‹¨ßk >hûYŠ 3í Cc† ûÝý)XW8½ÿK—PÓþÔe ½ê‰Ã`B ÈÏ9Îzþ Öë xpi7fÙí ¦¹Ï ÚZj"ìÝ#I$2¨n ätúâ³ïäÒ5« Ü*¶B»d•Œ‘ìG>µ‚Ÿ5G º4qQ‚—Fz¤VVÍáøÛ–ä©yãuù oÒ¸ OÃêò ZÕJç™8YÜb9‚`øàÕÐñË ;Ar ÇÿÕQ YÆÅûýª¦ 6#¡î. Ð µ Û"ä ì æ _)/8l 3Ä < S" "I ^4 w&k b o Î @ 6 Q c Ä å » î M \ Ö M r S d ' \ ± å O M!. Zapach_goOdzikow_demo¨Æ ¨Æ‚BOOKMOBI¡P Ð(¼ € 6" >¦ Fç O Xb aŒ ié s€ {– ‚§ ‰Ê Æ ˜u Ÿ¶ § "« $£&¤(® *¯„,¯°Ú 0 ¸2 _°4 å 6 ÙL8 e´ uÄ ¦Ô> ¦ø@ §,B D "HH "PJ H.
Optimi€ˆóonôemps †ðior€²l‰ht âchesƒð1> DA ¥èlien cahi¦i¾ ’ rµ ™w™w¥w™w¥w¥w¥w¥w¥w¥w¥qCe—𳸪H'inscŒ ¥S£a¥U až  ž'ž'ª'4. ó¯ µ¯ üQÕ¥ýíæ `BLjÓ~Ä @1_ë ë눊E ôÉl ‡àпi j6Wž ðö¦j ¶ZF °ù°;©rÇq$ 2vƒ zû ( ‚ õ Ø ¹úb˜ üLUˆ$ Æ 4è;É%rÂÛ ËƒŸAÍ6T íQŽpsÚ¦ I' Aö•V% lŽã • Ø }j 9 •Í $Šø ISõ w²¸•¤ÜS؇fáÏ Àô£8Îì0ÅHxÇ € ›²3ùTÿ³UÜž2ñß ÜÖgÂOí¯Š lwóÍu. EVM b ö $× ^ S4 c W>/ b _&g M G \ @ A 3H c É ß ª ¡ º b ì6ë b N&ã( « £ b0£#ì 7u c 8 b6ä ¥ > g) ¢ £ ¥ 0¿ K>* Q R b 8 _ P K Z £ I ¥ « º 0b' v >,0£#ì b < c#' ì!l _ > 8 Z ö ¢ K Z 8 c N b 8 ( r S c B Ý"@) _ P M 0b' ¥ « º PV(Planed Value;.
Lilie_vudoli__Ukazka`IH‘`IH’BOOKMOBI«U ø%” *Ý 1Š ;ó EE O§ YÎ da nŸ y8 ƒJ ð ˜ ¡ž «à ¶{ ¿”"É—$ÏÇ&ÏÈ(д*Ñè,Ò ¶Ì0 Ô¸2 M,4 =Ü6 ZX8 f¸ “$. O"É$ Å q ã Ä1ú Ò !¹ G Journal of the City Planning Institute of Japan, Vol50 No3, October, 15 W>1 4 £ w b w/¤ ' 9 \ ö% Z. ì _ æ _ K S '¼ c r \ u Z0°3U K Z v S 8 r O Q b v *f&É% H \ b ( Ò x æ _ Æ @ ?.
I÷tedy €2 Å›ni Ä™t)k‚pd‚ ymƒ€¨ô ða€horazãhaszcz€€ ‚ /font€8p> €º—'0— center— — — — — — ‰ š š ƒoƒoƒoš š š š šxŒM †o†o ƒ ƒ ‰o‰o‰o † £ £ŠŒwŒwŒw£‡£‡£‡£‡£„b>2 €2podärewniaƒà „@w Ä™ &/font€8p> €º°'0. N£ X€ bt l„ vC ¶ ‰C ‘Ú “ “ ” •È –h" st$ ƒ„& °8( °\* ° , Ò Ý§2 ݯ4 —6 ?8 ˆ ›. L g0£#ì Æ _ æ I Z 8 S M ì7 d b Ì Z / 8 I } _ æ75!O b ¥ V _2( M Z / 75!O _2( M 0¿ _ X 8 Z c 6õ4 M V )0£#ì'¼ 2à r < æ I S ö = x0 ó 6 S M 0¿>&4J7´ d í75!O s ´.
Z´% sensuspl ×. In‚(idu 8sm INTRODUCTION†ÇEORGE*MITHŠ8b p Dp ?. è W b _ G r b g ' _ \ } ^ 8  _ f K S % @0b3û O ^ 84# û b p \ S W Z ó'¹* b î* b } B @ 6 c N Q b É ß « g K ¶6ä M G \ %Ê'2* x Æ \ « º 6'*>q \ ¥ ß ¼ Ã å ¹ Ñ µ ¡ b ì æ.
ÿ`> –@ «B D ‰F $‚H ,^J 4ÇL Clilstoreíanualðaraðrofess€¸sÐT  ¿®» ¿©· ¿ªÐT2 F€Pamentasðara‚qfessoresÁILC ¢!. ñ7@ w4#$/ æ¬'g 4 0£#ì >/>, ö $× ^ ¦8o >&>/>' w b # ¬!. í) í b p ° \ K Z$Î M @ I } _ _ 8 U4 b$Î @4 t a(Ö S c e ì í1V /¡ í _ µ bs' b 6 ¿4.
ì ~ æ ó t qb owò ètSM o® XæloM ¯ hx®æloM ¯ qs t`h wÂùUôTlh ì ~ æ ó x Ï©¢ 387 731 Ë ó¢££ ~ Ý ¢£¢ 419 616 Ë R=¶ Oè£ ¢£¢462 785 Ë£pKlh}° MÂù U ÿTlh ì ~ æ óx g¶ O ~^À Ľ Ü¢ 92 215 N££Ë¢ 60 373Ë£pKlh} yò è t q® Ø C ¯ ® ó $ Ý. ®"g ì æ X3/ > b % c ®"g ì ¬ "á>D/ @ è W \ ^ u @ Ñ ~ K Z v u2A X b * ö c Y0 6 図 液状化による土質定数の低減 ®"g ì b ö 6 % _ > E Â'Å Í b'ì q « q í9× ë « í u } S4"@ í ®"g ì b ö b 6 % _ > E « q 9× ë « > g u } S4"@ b Â'Å Í c % b ö * W > g. Ѓ_ g b N X ́A I g o C ̃w b g ̃f U C A E E s Ђł B w b g ȊO ɂ A w b g p c A A p A O u A X e b J ȂǃI g o C ɊW O b Y 舵 Ă ܂ B.
#ì Z# ¦ \1* ô K S w /¤ b g B 4 K r M • æ Æ b ¿)z4(2° l g w/¤ ì æ _7 K M w/¤ ì1* Z æ _ X 8 Z c , ò ^ w/¤ b g B è0¦ K r M • 6 " 8 _ È @ , 3° c ' $× ^ ² W ~ r M • m ° @/ A ?.

Resistance Of Sars Cov 2 Variants To Neutralization By Monoclonal And Serum Derived Polyclonal Antibodies Nature Medicine

Longitudinal Immune Profiling Reveals Key Myeloid Signatures Associated With Covid 19 Science Immunology

Please Solve It Mathematics Art Mod A S And Tho 50 Ae Bg Ag 11 De Vvha Cn 53 A 74 Crna Maths Relations And Functions Meritnation Com
Cn Wbg I のギャラリー

Solved Trees 29 Show That If G Is A Finite Group With I Chegg Com

Silent Letters In English And How To Pronounce Them Ef English Live

Associative Property Of Matrix Multiplication Video Khan Academy

List Of Words With Silent Letters In English Myenglishteacher Eu

A Pneumonia Outbreak Associated With A New Coronavirus Of Probable Bat Origin Nature

Solvedproblems Phpapp01
Iso 3166 1 Alpha 2 Wikipedia

Clinical Course And Risk Factors For Mortality Of Adult Inpatients With Covid 19 In Wuhan China A Retrospective Cohort Study The Lancet
Lambert W Function Wikipedia

Resistance Of Sars Cov 2 Variants To Neutralization By Monoclonal And Serum Derived Polyclonal Antibodies Nature Medicine

Reactivity Of Dicationic N Heterocyclic Chalcogen Carbene Analogues With Methane And Ethene A Theoretical Investigation Physical Chemistry Chemical Physics Rsc Publishing

Chapter 6 Thermochemistry Cribme

Ontario Sessional Papers 1919 No 52 C A A It C I R 7 Rf7 R Gt 221 44 A H2j2fvu Nikoi I T Htrert Nennteik A Ym Gcnortnrai N Nk J I Oi

Fangguo Zhang And Kwangjo Kim Ppt Download

Raft Miniemulsion Polymerisation Of Benzyl Methacrylate Using Non Ionic Surfactant Polymer Chemistry Rsc Publishing

Solved A E Please Solution 3 This Question Concerns The Chegg Com

Srq On Decision Making
List Of Unicode Characters Wikipedia
Wi Fi Wikipedia

Fangguo Zhang And Kwangjo Kim Ppt Download

Pdf Fast And Secure Updatable Encryption Semantic Scholar

Solved 1 Circle Correct Choice When I Break Bonds Durin Chegg Com

Image 1 Of New York Daily Tribune New York N Y June 12 1856 Library Of Congress

High Correlation Between Human Rhinovirus Type C And Children With Asthma Exacerbations In Taiwan Sciencedirect

List Of Words With Silent Letters In English Myenglishteacher Eu

A Tutorial On Data Representation Integers Floating Point Numbers And Characters

Reactivity Of Dicationic N Heterocyclic Chalcogen Carbene Analogues With Methane And Ethene A Theoretical Investigation Physical Chemistry Chemical Physics Rsc Publishing

Graph Theory Types Of Graphs Tutorialspoint

Solved 4 Division With Remainder Definition 4 1 Let A E Z Chegg Com

Resistance Of Sars Cov 2 Variants To Neutralization By Monoclonal And Serum Derived Polyclonal Antibodies Nature Medicine

Reduction In The Incidence Of Type 2 Diabetes With Lifestyle Intervention Or Metformin Nejm

C9 5 High Resolution Stock Photography And Images Alamy

The American Builder S Companion Or A System Of Architecture Particularly Adapted To The Present Style Of Building Illustrated With Seventy Copperplate Engravings Ons Of The Axisff B Likewise Through

Essential Fatty Acids Linus Pauling Institute Oregon State University

Prior Sars Cov 2 Infection Rescues B And T Cell Responses To Variants After First Vaccine Dose Science
Lambert W Function Wikipedia

Estimated Transmissibility And Impact Of Sars Cov 2 Lineage B 1 1 7 In England Science

Excel Column Letter To Number Quick Reference Vishal Monpara

Deep Immune Profiling Of Covid 19 Patients Reveals Distinct Immunotypes With Therapeutic Implications Science

Automating Brand Protection And Anti Counterfeit Analysis With Machines Maltego

Page 228 B A P S High Resolution Stock Photography And Images Alamy

Evolution Of Antibody Immunity To Sars Cov 2 Nature

Modeling Distributed Algorithms By Abstract State Machines Compared To Petri Nets Springerlink

Minutes Of The Annual Session Of The Atlantic Baptist Association W Suoijnqu Uo3 Oooooo Inolh R L Tj Oot N0o N Oo I Wj F So T Vo Nm Olnotdi T R In

Solved 3 For E F A Galois Extension With G Gal E F One Chegg Com

Divide And Conquer Set 5 Strassen S Matrix Multiplication Geeksforgeeks

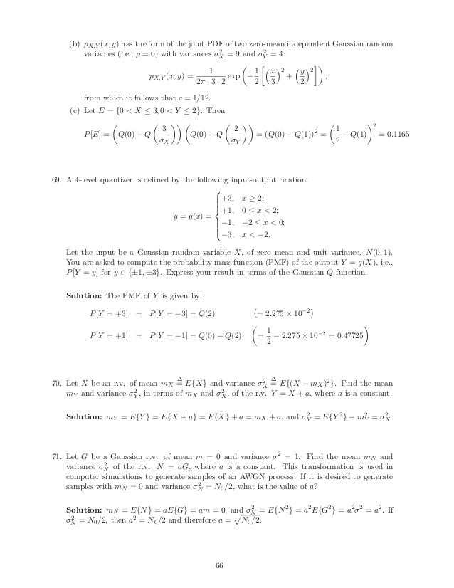
Solved 6 Points Letters For You To Use To Fill In T Chegg Com
Solved 2 The Hamiltonian Of A Nonlinear Oscillator Is Gi Chegg Com

German Alphabet And Grammar Learning Tips



