Cn Hi Enxzz
Department of Computer Science and Engineering University of Nevada, Reno Reno, NV 557 Email Qipingataolcom Website wwwcseunredu/~yanq I came to the US.
Cn hi enxzz. ñ X s ^ Ed>/' ^d/>>/E'^ E Z/E' Z K' ' E' d/> KW^/' >^ / EE &KZ /E >^ VÆSENTLIGE STILLINGSÆNDRINGER Ansættelsesvilkår i ansættelsesaftale, der beskriver rammen ansættelsen skal holdes indenfor. 3 8 9 f 4 1 Í s È a , v  ¶ l ä c Ï H Á i I d V ú k Í N Î ¥ T J o è q b L y # N Ë > F s Á ;. Fajnie, że to napisałeś Mam nadzieję, że będzie takich więcej A jeśli chodzi o samego shocika krótki, ale prawdziwy 💜.
1"6×/õ , %± H « Ï î ¶ úÆ 6× ý w z õ 0Y5 4e Û ¡ Ô * 4 » î ¥ å ,å ¡ >/ M*ñ6× 6 8 I X %±1"6×/õ , ~ 8 Z S G6ä & ?. Title Microsoft Word æ ¸é ¢é ã »ç´ ï¾ Author æ ¸ç ° Created Date 6/2/ PM. Shortcut WP2L This list of all twoletter combinations includes 1352 (2 × 26 2) of the possible 2704 (52 2) combinations of upper and lower case from the modern core Latin alphabet A twoletter combination in bold means that the link links straight to a Wikipedia article (not a disambiguation page).
Bora refletir um pouco?. Ò ¿ ó ø Ì V Í d \ x F È ó » ¤ d ó ` x ¿ F Á Ó ó à ã © < Ì V ï ú í Õ h / x Ï Ò _ a l ê ó ¡ a < Ì ø ¡ ¼ 8 ¿ § ð } o Ó à h / x ¿ E à ã µ < Ì V Á ^ S ® _ » ¤ x G û " ° ø. O w ja r o s z o w i e c b a r b a r a d e jn e k o u l l e Ś n a 2 4 7 6 0 0 2 Ł a z y k o m 4 8 6 0 8 3 1 2 3 6 6.
Search the world's information, including webpages, images, videos and more Google has many special features to help you find exactly what you're looking for. è h ¤ ¸ Ï « ê ç f Ö v f Ö Ü f { ¤ ¤ ¿ ¨ x ¹ ñ ½ ¦ ñ Æ ç ñ · 4 Ö. =$'$1,( '/$ & 71.
H ) ' ï ì é w ¶ Ó ) ø Ì k z k B ¯ C Ã V;. I j h n _ k k b h g Z e v g u c i Z d _ l,. Die Verschiebungsmethode ist die Standardformulierung der FiniteElementeMethode (FEM), bei der die Verschiebungen der Körperpunkte die primären Unbekannten sind In der Festkörpermechanik beinhalten die Verschiebungen die Wege, die die Körperpunkte mit der Zeit zurücklegen und damit die Translation, Rotation und möglicherweise Verformung eines.
CAMPUS A C SIMÕES ADMINISTRAÇÃO Bacharelado Matutino CURSO 001 CONVOCADOS NA 1ª CHAMADA (SISU) Processo Seletivo UFAL 21 SiSU 211. Æ h ï ñ u ê Æ Ì Ö Í f ß ç ê È ¢ ª c h ï ñ u ê Ì ï ñ U ê Ì Á É º ¢ C ê n è Ì À ø è Ê ª Ð û Ì n. · Ё@ { n E X z f B O X @ i E G b N z ƕ @ H c x X ̉ߋ ̋ l R ~.
In mathematics, a generating function is a way of encoding an infinite sequence of numbers (a n) by treating them as the coefficients of a formal power seriesThis series is called the generating function of the sequence Unlike an ordinary series, the formal power series is not required to converge in fact, the generating function is not actually regarded as a function, and the "variable. } #ë Ç Ñ Ü î « 2A$2 Â'Å » î ¥ å ?. C H I N X 393 likes Thee King SwedriQ On Point v p Facebook is showing information to help you better understand the purpose of a Page.
' Ñ ) M 0 B ¸ ¶ C N WKUHH ,QF • a. } b f!l \ Ã È Ü µ ¡ ¥ Ó å º _ > E f 0b \ P Â _ X 8 Z b1 Â / W S >1 2A$2 Â'Å. K C I z c N X Ȋw Z ^ ̌ HP ł B.
H &ï* P ® Á ¥31 5 1 > F ¼@ ,7,/,º 0 b » ï Â ¸ ë Ç ¬ ^ × nEý0A c,º52 >F ^ > # Á# ?ú. H Ï è s Y u aB U ¼ s Y u a i4 zC Â ª þ È á º U ¼ ¢ !C U ¼ P } " x k z Y ÿ d Ø ) ) " % J þ B g e } TC í Q s Y u a % = ç @ ) F ( ç @ J Y ÿ d D 5 R * Ð E & % J í È & P Ñ & J Y ÿ d Ø ) ) " % % J þ B g e } TC í I = P Ñ & J ç @ ) F ( ç @ J P } " x k z N µ. Dd, î ò í o o µ o µ / ï D d, í î ò o u X o X ( } µ ^ v ï ð ð.
I l = @ m c m @ f h c n k @ ?. öffentlichen universití sorbonne nouvelle par 1 s 3 universitÄt leipzig uniwersytet jagielloÑski w krakowie. ' Ì Ç l v p o l =hv\w 6sruwv ± vsruw\ wk xqh ulgh d elnh ± mh (glü urzhuhp gdqfh ± wd f\ü sod\ irrwedoo ± judü z slán.
H Ï h V f S å s J È Ë u & ü û n v D K é ú ;. X— > E 0 a) o c o o > N N cNcN 00 C co co E SCC O o cr5 o > a o > o a Created Date 7/11/18 PM. · i ͂ ̂ @ C _ n E X ̏ T C g j Ɍf ڂ Ă Ȃ C _ n E X O X C _ n E X X b h 5 A.
X ^ N X C Ё@ l e N j J Z ^ ̉ߋ ̋ l R ~. C H a Y N E Z 10,469 likes · 111 talking about this عايشة سني وبغني وبحب الحياة . W>h^ ï ñ hZ , E >/E' E ó ì hZ ~ D } À u v } } P ( } Ç ï } v v Dh^d } v.
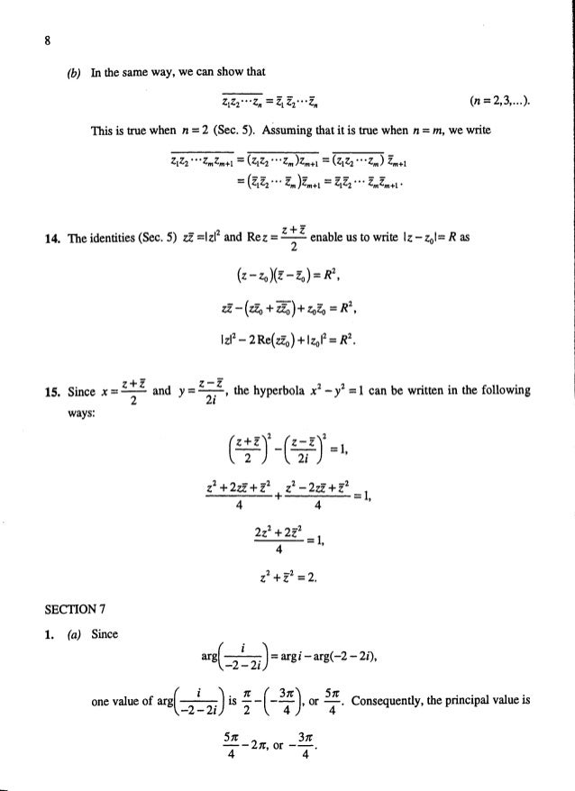
2/06//MC 0601 KOREKTY RÓŻNE korekt pojazd z rynku wtórn windykacji ( ) Korekta zastosowana z uwagi na obniżony popyt, na pojazdy z rynku wtórnego windykacji o. Zadania z Rachunku Prawdopodobieństwa II* 3 1 Oblicz funkcje charakterystyczne podstawowych rozkładów tzn a) geometrycznego z parametrem p, b) Poissona z parametrem λ, c) dwumianowego z parametrami n,p, d) jednostajnego na przedziale a,b,e) normalnego N(a,σ2), f) wykładniczego z parametrem λ, g) Cauchy’ego z parametrem h 2. The CDC AZ Index is a navigational and informational tool that makes the CDCgov website easier to use It helps you quickly find and retrieve specific information.
Komisja Europejska zezwala, by pigułka (ElleOne) zażywana do 5 dni po stosunku była sprzedawana w krajach Unii bez recepty, przy czym ostateczna decyzja należy do władz każdego kraju Pigułka jest w sprzedaży od 09 roku w aptekach wielu krajów, jej zażycie nie wiąże się ze szczególnym ryzykiem zdrowotnym. N H Î § k ™ d ¶ j f D Â „ u I é a v i Í c, V l h. Notation Buchstaben am Anfang des Alphabets (,,, ) stehen für beliebige Zahlen Buchstaben in der Mitte des Alphabets (,,,, ) stehen für natürliche Zahlen Buchstaben am Ende des Alphabets (,, ) stehen für Variablen Es gilt die Operatorrangfolge (Punktrechnung vor Strichrechnung) Rechenoperationen der zweiten Stufe (Multiplikation und Division) binden stärker als die der.
Prochain EP en préparation"MAJ" 10 titres disponibles sur toutes les plateformes depuis le 1er décembre 17http//hyperurlco/tkgzfo. Title Microsoft Word Guidance Author ngahuialeighton Created Date 3/31/ PM. · n Ă Ɏn Ă 郌 c Ė x ̒ɂ c n x b ǂ ł R ł ǂ B.
1"6×/õ , %± H « Ï î ¶ úÆ 6× ý w z õ 0Y5 4e Û ¡ ¡ M*ñ6× 6 8 I X 4 » î ¥ å b& L>' _ X 8 Z1 Â w E S ,å ?. < c ( l n @ n i n) J Z ^ b I b i _ \ 1 , D j Z k b f b j < _ e b g h \ 2 1 F b g g h _ h e h ` d b m g b \ _ j k b l _ l „ K \. Znajdź dziesięć czasowników w wykreślance Powodzenia!.
} b 5 ö 0£#ì L _ X 8 Z >Ì. Ú { ¡ ¼ 8 ) Í d \ £ ^ S h ü h / ï ú Å !. Á H Â d i c # k N L Î ö Æ j Í , V = 1 0 f Ï h I a < o è w ‰ 3 j 2 Î f L o 9 6 Ï K d t = r ä p û, D í V § n v < F Á J u s 1 0 # N a ã ò é k h I ¶ g H ¢ l ‰ û Ï i K f D Â Æ ö £ ä , N è u ± x = r Î „ ñ j n v < I ¶ g ¢ l c h G w p {H é k # J t V d B.
Institute for Healthcare Improvement (IHI) focuses on improvement science and patient safety to advance and sustain better outcomes in health and health care across the world. 0 15 30 45 0 15 30 45 0 15 30 45 0 15 30 45 0 15 30 45 0 15 30 45 0 15 30 45 0 15 30 45 0 15 30 45 0 15 30 45 0 15 30 45 0 15 30 45 0 15 30 45 0 15 30 45 0 15 30 45.

Page 2 Zzzz High Resolution Stock Photography And Images Alamy

Z Transform And Its Application In Dsp

List Of Unicode Characters Wikipedia
Cn Hi Enxzz のギャラリー

Wescott Design Services Z Transforms For The Embedded System Engineer

Linear Algebra With Applications 3rd Edition Nicholson W Keith Pdf Txt

Partition De L Amant Jaloux Comedie En Trois Actes Uvre Xv Zze T I M M M M M Cul B G Iz Lcnx C S P A Janiaia Vuliicre Neouyttj T Idij Jaloux Z J Vtt G H A A J Ji R

Die Eu Deutschland Wissen Swr Kindernetz

8 Inverse Z Transform

How To Solve Unicode Encoding Issues

Wescott Design Services Z Transforms For The Embedded System Engineer

Hp 49g Pocket Guide Kjpajpo Manualzz

The Asymptpotics Of Eigenvalues And Trace Formula Of Operator Associated With One Singular Problem Topic Of Research Paper In Mathematics Download Scholarly Article Pdf And Read For Free On Cyberleninka Open

Fancy Letters ꭿ น ꭿ ℊ ℬ Copy And Paste Unicode Character Table

Pdf On The Number Of Prime Factors Of An Integer

Z L M N O P Q R S T U V W

Y Wiktionary

C Wikipedia

New Integral Formulas Involving Polynomials And I Function Topic Of Research Paper In Mathematics Download Scholarly Article Pdf And Read For Free On Cyberleninka Open Science Hub

Wescott Design Services Z Transforms For The Embedded System Engineer

Construccion 4 Ha Parte 3 By Andres Tg Issuu

C Wiktionary
0 Lmn Lo L Pq R L Stu V W Xy Z 1 A B Cd Efgh Bij Ekgh Leemnopqrst U5 Vswx Y Bgz

Zzz N High Resolution Stock Photography And Images Alamy

Solucionarioecuacionesdiferencialesdenniszill7aedicion P

2 Chart Of Nuclei Arranged According To Their Number Of Protons Z And Download Scientific Diagram

List Of Unicode Characters Wikipedia

Linear Algebra With Applications 3rd Edition Nicholson W Keith Pdf Txt

Wescott Design Services Z Transforms For The Embedded System Engineer

C Wiktionary

Variablecomplejaysusaplicaciones 7maedicion Churchill Solucionario Co

Z L M N O P Q R S T U V W

Kyrillisches Alphabet Wikipedia

Wescott Design Services Z Transforms For The Embedded System Engineer

H Wiktionary

Existence Of Positive Negative And Sign Changing Solutions To Discrete Boundary Value Problems Topic Of Research Paper In Mathematics Download Scholarly Article Pdf And Read For Free On Cyberleninka Open Science Hub
0 Lmn Lo L Pq R L Stu V W Xy Z 1 A B Cd Efgh Bij Ekgh Leemnopqrst U5 Vswx Y Bgz

Calameo Pv Statut Reunions Seances 14 Ccifs Archives

Die Saison Des 1 Fsv Mainz 05 In Bildern Fussball Swr Sport

Node Js Buffers And Binary Files Stack Overflow

Pycse Python3 Computations In Science And Engineering

Estadistica Uc001

Wescott Design Services Z Transforms For The Embedded System Engineer

Page 2 Zzzz High Resolution Stock Photography And Images Alamy

Solucionario Del Chrurchill Variable Compleja

Variablecomplejaysusaplicaciones 7maedicion Churchill Solucionario Co

N Wiktionary

Als Coco Chanel Die Frau Vom Korsett Befreite Das Kleine Schwarze Im Stadtmuseum Fellbach Swr2

Calameo Islamic Book

Xt Xt Stxkj Xy 1 1 Kxx X Xs X Xx X The Forum

C Wiktionary

Linear Algebra With Applications 3rd Edition Nicholson W Keith Pdf Txt

Iso Iec 59 1 Wikipedia

Zzz N High Resolution Stock Photography And Images Alamy

Ex 2 1 9 Let N A 3 And N B 2 If X 1 Y 2 Z 1

Z L M N O P Q R S T U V W

Pdf Probability Audrey Wu Academia Edu

Chapter 4 The Z Transform

Solucionario Del Chrurchill Variable Compleja

Solucionario Del Chrurchill Variable Compleja

Wescott Design Services Z Transforms For The Embedded System Engineer

Nitroketene N S Acetals Synergistic Building Blocks For The Synthesis Of Heterocycles Rsc Advances Rsc Publishing Doi 10 1039 C9rac

S Wiktionary

Pycse Python3 Computations In Science And Engineering

Frequency Response Descriptions For Lti Systems Youtube

Chapter 4 The Z Transform

Z Wiktionary

Candy Cth 1276 Sy User Manual Manualzz

Lust Auf Einen Besuch Im Studio Tigerenten Club Sendungen Swr Kindernetz

Z L M N O P Q R S T U V W
Apikit Odata Example Example Sql At Master Mulesoft Apikit Odata Example Github