Ol Exp
Oct 15, 12 · Sociology Outlook Express Monday, October 22, 12 POWER Chapter five is about power Power is, the ability to bring about an intended outcome, even when opposed by others The chapter touches on power in everyday life, all the forms of power , the way power is enforced, ways in which power is used I feel I can't relate to this chapter.
Ol exp. Dec 11, 12 · Sociology Outlook Express Tuesday, December 11, 12 Class and Global Inequality Chapter 9 This chapter is about the structure of the class system and the role it plays in society and the role the different roles play in society It speaks about Marx's theory of relationships to production;. License eXpress prefills your personal information this saves you time when you renew or use other services within LX Quickly create a list of all the vehicles you own and see at a glance when they're due for renewal If you sell a vehicle, you can report it sold and see when the new owner transfers the title into their name. Cheap Dolls, Buy Quality Toys & Hobbies Directly from China SuppliersLOL SURPRISE!.
Nov 19, 07 · STEPHEN GRANT 450 3 1/4" BPE EXC 18 CLASSIC UNDERLEVER HAMMER EXP EXC BORES 85% FINE SCROLL ENGRAVING EXC WOOD LOAD INFO O&L. The search engine that helps you find exactly what you're looking for Find the most relevant information, video, images, and answers from all across the Web. Each instrument had 6 unique sounds that you can play by pressing buttons so you can create your own rock songs!.
Midwest Motor Express will ship your freight to anywhere in the world Visit our MME Global Lines Web site Forms Page Several handy forms in PDF and Word format, as well as information sheets, NAFTA Certificate, Claim Forms, and more Density Calculator. License eXpress portal License eXpress Account and services A new customer?. And Weber's theory on people's "life chances the.
Sourdough Express, 1800 W 48th Ave, Anchorage, Alaska Telephone , Facsimile Connect with us on Facebook. License eXpress portal You've entered an incorrect username or password Please try again. Oct 06, 03 · OL EXPRESS (the "Business") is a Sole Proprietor, incorporated on 6 October 03 (Monday) in Singapore The address of the Business's registered office is at the REGENTVILLE building The Business current operating status is cancelled and The Business's principal activity is freight forwarding, packing and crating services.
Shop the hottest styles and trends from cool jewellery & hair accessories to gifts & school supplies Free delivery available based on your order spend Shop Claire's today. Outrageous Millennial Girls Remix Super Surprise – The Opening Act and The Super Sonix. PDF Forks technical manual OL SS2 Download PDF Forks technical manual twin tube Download PDF Forks technical manual launch contr2 Download PDF Forks technical manual single PDF HUBS TECHNICAL MANUAL EXP 36T TO 54T Download PDF HUBS TECHNICAL MANUAL 3P TO RATCHET LN Download PDF HUBS TECHNICAL MANUAL FRONT 180, 240 Download PDF.
Rainbow Original Big Eyes Colorful Hair Doll Head Joints Movable Yoga White Body Boots Doll Accessories Enjoy Free Shipping Worldwide!. All site reserved byGlobal Express Worldwide Terms & Conditions Tracking Powered by Busisoft makers of xpresiononlinecom Effective May 21 Covid 19 Emergency Situation Surcharge applicable Current Month Fuel Surcharge 18% applicable. House is the ultimate hangout for LOL Surprise!.
Part A 02 (aq) H2O(l) Express your answer as part of a chemical equation Identify all of the phases in your answer O2 (a) H()H (aq) Previous Answers Correct Part B Predict whether the equilibrium lies to the left or to the right of the equation in previous part O H2O is a stronger acid than OH , so the equilibrium lies to the right. 107 reviews of O & L Professional Detailers ceramic pro "Omar and his father, Luis are the best They have detailed several of my cars They are very professional and use the best products They show up on time and take the time that is needed to do a superior job They do it all The engine, interior and exterior were spotless when they were finished. The nutrient requirements of suspension cultures from soybean root have been investigated, and a simple medium consisting of mineral salts, sucrose, vitamins and 2,4dichlorophenoxyacetic acid (2,4d) has been designedThe cells required thiamine, 2,4d and ammonium in addition to the usual mineral salts and sucroseOptimum concentrations of nitrate and ammonium were 25 and 2.
May 23, 21 · Averitt Express, Inc 1415 Neal St PO Box 3166 Cookeville, TN 1800AVERITT (274) Become a Customer. O&L Law Group, PL Response 05/16/21 Based on the entry of a Judgment, O&L Law Group (hereinafter "OLLG") filed a Motion for Writ of Garnishment and a. House Made from wood, 3 stories, 6 rooms, and a working elevator!.
There are 3 companies that go by the name of OL Express Inc in Des Moines IA, Des Planes IL, Mpls MN, and Palm Springs FL. OLX has 1000's ads available in India of goods for sale from cars, furniture, electronics to jobs and services listings Buy or sell something today!. Limited Time Sale Easy Return.
See the complete list of 21 CMT Music Awards nominees, and vote for your favorites Don’t miss the big show on Wednesday, June 9 on CMT. Cheap Action Figures, Buy Quality Toys & Hobbies Directly from China SuppliersLOL Surprise!. Address WITHERSPOON ROSE CULTURE 4800 Garrett Rd Durham NC WITHERSPOON ROSE CULTURE 4800 Garrett Rd Durham NC.
Jul 08, 14 · Owned by the Ohlthaver & List Group, which was founded in 1919, O&L Leisure Hotels & Lodges is a proudly Namibian hospitality companyO&L Leisure is committed to offering our guests a unique, genuine senseofplace experience It’s our warm, downtoearth nature, and love for our country, that turns staying at our resorts into an unparalleled experience. Create an account or log in to Instagram A simple, fun & creative way to capture, edit & share photos, videos & messages with friends & family. Extra doesn't even begin to describe this VIBE!.
Trendyol Express Kurumsal Websitesi TAŞIYICI OLMAK İSTİYORUM trendyolcom üzerinden satılan ürünlerin müşterilerimize teslimatının yapıldığı iş modelidir. Unbox 85 surprises to move the included, exclusive family into the LOL Surprise!. The outside patio includes a real pool for cold water, hot tub for warm water and a sandbox for LOL.
The official website of KRUOL Mentality EST 12 CALIF Streetwear to inspire the world and break the cycle of social expectations Be unapologetically who you are and stay true to self Having a KRUOL Mentality is an attitude, a way of life, and a loud. Cabe destacar que Express VPN esta en el Top de los 5 Mejores VPN del Mundo. Dolls are The Opening Act, and all come with their own rock concert accessories UNBOX 2 ROCK BANDS with LOL Surprise!.
Turn up the volume because the OMG Dolls are extra HOT on this track!. Jan 17, 19 · Larian’s company is the architect of LOL Surprise!, a line of dolls with a clever conceit The product, which retails for about $10 to $, is encased in a. Exp is a fixed point of derivative as a functional If a variable's growth or decay rate is proportional to its size—as is the case in unlimited population growth (see Malthusian catastrophe), continuously compounded interest, or radioactive decay—then the variable can be written as a constant times an exponential function of time.
Get, renew, replace, or update a WA state driver license or ID card, purchase your driving record, and learn about license suspensions and driving safety. Nov 02, · lOL Surprise Amazing surprise is the ultimate unboxing experience, where fans can unbox 14 exclusive dolls, including 2 LOL Surprise OMG Fashion dolls In a fabulous downtown cityscape, follow the numbered maze of boxes to unbox so many surprises, including dolls, pets, fashions, and accessories. Limited Time Sale Easy Return.
Olexpress, San Luis Potosí 563 likes · 37 were here Olexpress es una empresa dedicada a ofrecer soluciones logísticas en almacenamiento, distribución y servicios complementarios. Direct link to this balanced equation Instructions on balancing chemical equations Enter an equation of a chemical reaction and. View Megan Graves, MAOL’S profile on LinkedIn, the world’s largest professional community Megan has 4 jobs listed on their profile See the complete profile on LinkedIn and discover Megan.
OMG Remix Lonestar Fashion Doll 25 Surprises with Music Enjoy Free Shipping Worldwide!. Nov 10, 04 · On Christmas Eve, a young boy embarks on a magical adventure to the North Pole on the Polar Express, while learning about friendship, bravery, and the spirit of Christmas. Don’t miss a video BBs!.
We wish you a happy and prosperous New Year!. Welcome to Gol Express Documents an expert producer of quality fake ID cards and documents At Golex Press Documents, we are one of the best fake Id cards makers online We also offer original quality fake passports, stamps, Visa, driver’s license, and certificates, and are the sole legal unique producer of highquality fake documents. US Customs Records Notifications available for Jol Fainberg Comimpexpcafe E, a supplier based in Brazil See exports to V8coffee Corp.
Dolls It's moving day!. Search Query Go Apply Undergraduate;. Jun 28, 19 · LOL Surprise!.
L O L E I A Lemon and Lime Spritz in St Tropez Scrunchie Bottoms $6500. H 2 O(l) 2 Units molar mass g/mol, weight g Please tell about this free chemistry software to your friends!. Custom made Pacific Inspired Elei clothing, home ware & products Custom made to the customers choice of colour, elei print, style & fabric of any of our products Perfect Pacific Island flair to your home, wardrobe and perfect for any occassion.

Pokemon Sword Shield Crown Tundra Dlc How To Find Easy Exp Candy Xl L Fast Xp Guide Gameranx
Exponential Function Wikipedia

Grinding Like In The Good Ol Days Toramonline
Ol Exp のギャラリー

Neue In Box Omron jk Tr12 C jk Tr12 D jk Tr12 L Exp Building Automation Aliexpress

L Oreal Men Exp Deo R O Frsh Ex Amazon De Beauty

Solved Taitial Concentrations Mol L Exp 1 Exp 2 Exp Chegg Com

Auf Dem Regionalflughafen Rothenburg Ol Bei Gorlitz Erster Airbus A 3 Zur Zerlegung Gelandet Stock Photo Alamy

This War Of Mine Base Game Or With Tales From The Ruined City Exp O 30 00

Exp Lotion Von Chordz Bei Amazon Music Amazon De

Espa Ol Imgbb

Exp 4 A Conductivity Of Aqueous Solutions Purpose

Sawake Exp Gdc Beast Laptop Externe Independent Amazon De Computer Zubehor
Extra Math G12 Ls Gs Diff Eqns Exp Functions Facebook

Status Report 07 16 15

How To Farm Exp Candy Crown Tundra Updated Pokemon Sword And Shield Game8

T Rex 215 99 03 F150 Exp Bil O L Maxxedperformance Com

Powerblock Sport 90 Exp Kurzhantel Set Gunstig Kaufen Im Cardiofitness Shop

Doterra Selleriesamen Ol 15ml Neu Und Versiegelt Exp Date 24 07 Ebay

Ugg Online Shop Warfighter Ww Ii Exp 55 Raate Road Brettspiele Cosims Und Wargames

Prime 4w Trolley L Exp Black

Powerblock Sport 90 Exp Stage 1 2 22 5 Kg

The Geometry Of A 3d Array Manifold Which Consists Of Points Of Column Download Scientific Diagram

Issuu ᐈ Introduction To The Theory Of L Functions Ebook Pdf

Respirator Gvs Elipse P3 Spr501 Size M L Expiry 04 25 Eur 49 51 Picclick Fr

Instructor ron Roth Ppt Download

Cree Xp L Hi Neutral White 5000k Led Emitter

Mmmmm That Good Ol Exp Tally Feeling Ffxv

Ramsey Interferometry With Trapped Motional Quantum States Communications Physics

13 Consider N Observations With Inspection Dat Chegg Com

Software Reuse And Standardization For Smes The Cim Exp Perspective Standardview
Plos One Does Learning History Shape The Associability Of Outcomes Further Tests Of The Outcome Predictability Effect

On Twist Springback Of A Curved Channel With Pre Strain Effect Sciencedirect

Jk Sportvertrieb Profi Shop Powerblock Sport Exp Stage 1 Dumbbells Zum Top Preis

Effects Of Lead On Cholinergic Sn56 Neuroblastoma Cells Pdf Txt

Powerblock Sport 90 Exp Stage 1 2 22 5 Kg
Plot Of The Deviations Of The Second Virial Db B Exp B Anc Download Scientific Diagram

Find Pdf Of Sum Of N Indp Exp Rvs W O Using Mgfs Mathematics Stack Exchange

L0445 Mem W Earle S Salts W O L Glutamine W 25 Mm Hepes Mem W Earle S Salts Biowest
Plos One Different Involvement Of Medial Prefrontal Cortex And Dorso Lateral Striatum In Automatic And Controlled Processing Of A Future Conditioned Stimulus

X0556 Mem Vitamins 100x W O L Glutamine Bme Mem Concentrate Amino Acids Vitamins Neaa Biowest

Jk Sportvertrieb Profi Shop Powerblock Sport Exp Stage 1 Dumbbells Zum Top Preis

Variation De La Longueur Relative Exp Rimentale L J H 1 Exp En Download Scientific Diagram
Solved 1 A Let I Exp Na Exp Na Sin Exp X Dx Chegg Com

Issuu ᐈ Introduction To The Theory Of L Functions Ebook Pdf

Legend Exp Viscount

Rpmi 1640 Dutch Modification W O L Glutamine W 1g L Sodium Bicarbonate W mm Hepes Serox Gmbh

Pin On Los Feliz Colonial

Natural History Antarctic Discovery Exp Freshwater Alrfcfi Pi Ii H F 1 1 A J E Toi T I Kui Bale Fit Danieluson L R In P O O Antarctic Discovery Exp Freshwater Algse Pi Iii H F Drl

Archived Post Sparse Methods For Machine Learning Theory And Algorithms 1 By Jae Duk Seo Medium

Usage Xtb Doc 6 2 Documentation

Xpansion Keys Exp 801 For Mfc 02 Mfc 03 Ko Propo

Deuter Superbike Exp Rucksack Black 18 L

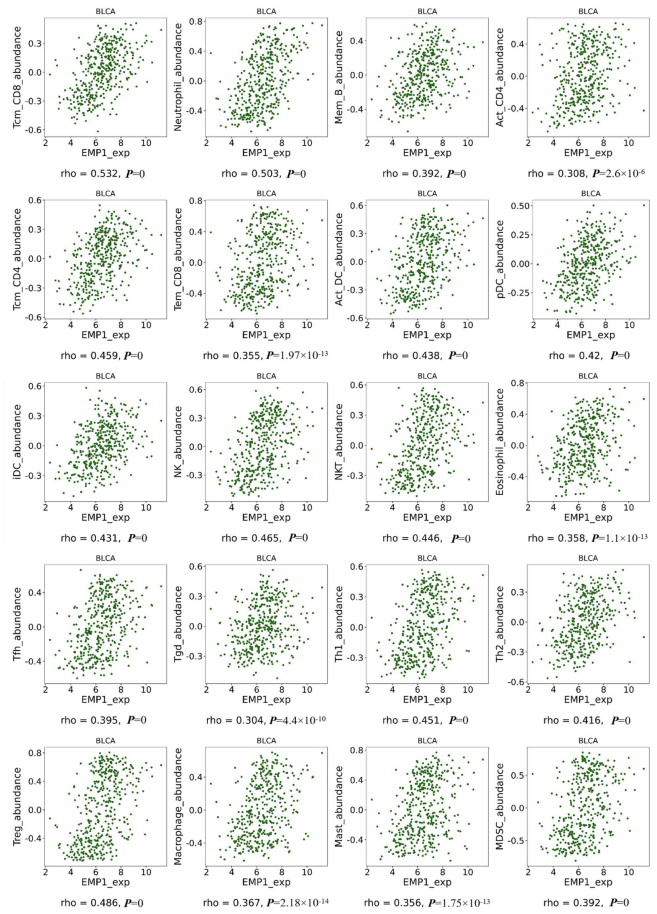
High Expression Of Emp1 Predicts A Poor Prognosis And Correlates With Immune Infiltrates In Bladder Urothelial Carcinoma

Graalonline Ol West Mining Update With Exp Youtube

Alpha Ol 107fa Sac305

Advanced Course Of Mechanical Vibration

Ur Exp High Resolution Stock Photography And Images Alamy

How To Level Up Fast Best Exp Farming Pokemon Sword Shield Gamewith

Exponential Function Calculator E X Calculation Online Exp X

How To Farm Exp Candy Crown Tundra Updated Pokemon Sword And Shield Game8

A Very Brief Overview Of Pascal L A
Osa Nonlinear Polarization And Ionization In O2 Metastable Electronic State Model

Umudum Ol Exp Icim Gibi Karanlik Olsun Istedim Hayalleri Flickr

Table 1 From O Ct 2 00 5 The B 61 Based Robust Nuclear Earth Penetrator Clever Retrofit Or Headway Towards Fourth Generation Nuclear Weapons Semantic Scholar

O L Exp Gajd Ochen Nagibuchij Tank Youtube

Exp Etsy

Am Pre Ma Na Esen A Tak Nce T Kafu O Jaf L Exp Ffna
Osa Ripple Formation On Nickel Irradiated With Radially Polarized Femtosecond Beams
Exponential Function Wikipedia

Symmetra Rm 4kva Exp To 6kva N 1 Ol Dell Usa

Wurth Ol Rauch Stoppen Preventer 300 Ml Original Produkt Exp Datum 01 25 Engine Care Aliexpress

Exp 画廊riding Ol Donyo Riding Giraffe Lan Ape Great Plains Conservation Riding Safari 照片从guy 照片图像图像

France Et Mexique Histoire De L Exp Dition Des Fran Ais Au Mexique Paperback O Ebay

Powerblock Pro Exp Set 5 50 Pbproset1 Bodytrading Deutschland

Gat Sport L Arginine Amino Acid 180 Tablets Exp 7 31 O Ebay

Jk Sportvertrieb Profi Shop Powerblock Sport Exp Stage 1 Dumbbells Zum Top Preis
Osa Influence Of Photographic Film On Wavefront Reconstruction Ii Cylindrical Wavefronts

A Comparison Of Raw Exp In Dogs With Laryngeal Paralysis To Normal Download Scientific Diagram

D Addario Exp45 Exp Beschichtete Normale Klassische Gitarrensaiten Amazon De Musikinstrumente

Pokemon Sword Shield Crown Tundra Dlc How To Find Easy Exp Candy Xl L Fast Xp Guide Gameranx

Diffusion Transformation Model In Ta15 Titanium Alloy The Case Of Nonlinear Cooling Sciencedirect
Osa Photocounting Distributions For Exponentially Decaying Sources
The Experimental Break Up Height L Exp Of V 350 Silicone Oil Films Is Download Scientific Diagram

Experimental Design Exp 1 Subjects Viewed Numbers N Letters L Download Scientific Diagram



