Cn Pb L
Jan 01, 16 · The CDC AZ Index is a navigational and informational tool that makes the CDCgov website easier to use It helps you quickly find and retrieve specific information.
Cn pb l. See all Words by Length at More Words Find that difficult long word here!. A L G A P V 5 2 7 c o n c ( n M ) N K (C D 3 3 5 ) c e l l CD4 c o u n t s 0 A L G A P V 5 2 7 w / I L 2 • ALGAPV 527 features target driven T cell stimulation, optimized stability, good manufacturing properties with potential for better riskbenefit in humans than other monospecific 41BB antibodies. ACPPB 2,622 likes · 26 talking about this Glorifying The Name OF GOD Almighty.
8 N on a M S;. @ G F H R B L E X K C R E D N Q STL n ⊆ TLn1 B P T L n. Jun 09, 01 · Conditioning on an event Kolmogorov definition Given two events A and B from the sigmafield of a probability space, with the unconditional probability of B being greater than zero (ie, P(B)>0), the conditional probability of A given B is defined to be the quotient of the probability of the joint of events A and B, and the probability of B = (),where () is the probability that both.
Answer to 3 Show that ( )1P(A n B) (b) P(Ac n ) = 1P(A U B) (c) P(An B) 2 1P(AC) P () a) P(AC U B. (c) n=5, l=3 Significance of Quantum numbers Each electron in an atom has a unique set of four quantum numbers principal quantum number n , azimuthal quantum number l ,. J Z a \ b l b y J h k k b c k d h c N _ ^ _ j Z p b b a Z h ^ < g _ r g b _ m k e h \ b y.
The World's most comprehensive professionally edited abbreviations and acronyms database All trademarks/service marks referenced on this site are properties of their respective owners. May 08, · 575 Likes, 25 Comments M A D D I E M C N A L L Y (@madisonmcnally2) on Instagram “Real hot girl skit😝”. 4 Y in an U D;.
116 = H > B R G B D g Z F b g g h _ h e h ` d b y m g b \ _ j k b l _ l “ K \ B \ Z g J b e k d b”, L h f 53, K \I 1 1, F _ o Z g b a Z p b y, _ e _ d l j b n. 11 O on a K;. May 12, 14 · Dallas Sodapop TwoBit Ponyboy C N D B H E L G A Y P B G S R X O K E M S I W L K O B N O U Q Q N B D N I T A O E Y I P E R U E T G N N P T B L W R H F U R I E E A U L.
I have experimented many of the backslash escape characters \n which is a new line feed can be put anywhere to bring the effect One important thing to remember while using this character is that the operating system of the machine we are using might affect the output. Oregon Health & Science University is dedicated to improving the health and quality of life for all Oregonians through excellence, innovation and leadership in health care, education and research. I will try and explain this with the help of an example Consider an experiment of tossing a fair coin twice Sample Space will be {HH, HT, TH, TT} and all outcomes are equally likely Define events A = Tails on the first toss B = Heads on the sec.
SoN s£v!L!$!Nd!R 152 likes · 1 talking about this hayatın draması varsa benimde umursamaz. Jan 27, 17 · Stack Exchange network consists of 177 Q&A communities including Stack Overflow, the largest, most trusted online community for developers to learn, share their knowledge, and build their careers Visit Stack Exchange. This is a list of markings found on lanterns made by the Armspear Manufacturing Company It has not been previously published in any magazine and is presented here for the first time.
G!d!$!N b£n!M B!t!$!Md!R bU s£n!n @D@m G!b!. 3 K l j Z l _ b b m q l _ g u j _ Z e b a m _ f u f _ j h i j b y l b i h k e _ ^ m x i j h _ d l b i j h j Z f f Z g Z p b h g Z e v g u c j h _ « @ b e v h. 2 F b g b k l _ j k l g Z m d b b \ u k r _ h j Z a h \ Z g b J h k k b c k d h c N _ ^ _ j Z p b b федеральное государственное автономное образовательное учреждение.
Apr 07, 12 · V p t r m l i o d z h f l v q o l a k e n i p y c p t m x h b o b m c p q j n i o e v g n m j i k b k h i s p b f z j o r o c j r s m p s This thread is locked You can follow the question or vote as helpful, but you cannot reply to this thread. 3 M a D;. By PNeil E Cotter ROBABILITY CONDITIONAL PROBABILITY Discrete random variables DEFINITIONS AND FORMULAS DEF P(AB) ≡ the (conditional) Probability of A given B occurs NOT'N ≡ "given" EX The probability that event A occurs may change if we know event B has occurred For example, if A ≡ it will snow today, and if B ≡ it is 90° outside, then knowing that.
1 W Ash Street, Suite 2A Mason, MI 454 Ph (517) ©21 Mason Public Schools. L s P e r C y c l e P e r B i n Time in Cycle (s) P r o b a b i l i t y o f G r e e n p e r B i n Actual green band Optimized green band Paper No Motivation There are a number of different opinions on which optimization objective function is best It is desirable to use high resolution controller data and probe vehicle travel times to. 4 Applying other theorems about behavior of limits under arithmetic operations with sequences, we conclude that lim 1 2 q 1 1 4n 2 = 1 2·12 = 1 4 95 Let t1 = 1 and tn1 = (t2 n 2)/2tn for n ≥ 1 Assume that tn converges and find the limit.
4 & B B in a P;. Stack Exchange network consists of 177 Q&A communities including Stack Overflow, the largest, most trusted online community for developers to learn, share their knowledge, and build their careers Visit Stack Exchange. If n = pla = pmb for integers a,b,l,m (with l,m ≥ 0) and p is coprime to a and coprime to b then l = m and a = b Proof Suppose l > m Then pl−ma = b So pb Contradiction The case l < m is similar So l = m Theorem 311 (Unique Factorization) Let n be a positive integer greater than 1 Then n has a unique expression n = p l 1 1 p l 2 2.
8 L on a S;. Word unscrambler will unscramble letters and find possible words Enter your scrambled letters and uncover the hidden words!. C N O F D A P B X SC∗ h E M L W @ K T L n n= 1,2,3, M A C F B O P L I @ K Q E H Z R N e i,i = 1,2,,n− 1 X K O @ A F E B Q C Ne iei±1ei = δ −2e i P e iej = ejei S i− j ≥ 2 T X A E Y C Q N b ¯ e \ O @ B F K £ h M L G H Φ n S TL n Q C OT L n N A P K M E i δei T?.
3 S and Y O;. 62 = H > B R G B D g Z F b g g h _ h e h ` d b y m g b \ _ j k b l _ l “ K \ B \ Z g J b e k d b”, L h f 53, K \I 1 1, F _ o Z g b a Z p b y, _ e _ d l j b n. About Press Copyright Contact us Creators Advertise Developers Terms Privacy Policy & Safety How YouTube works Test new features Press Copyright Contact us Creators.
Click here👆to get an answer to your question ️ If ln (a c), ln (c a), ln (a 2b c) are in AP, then. 1 F O the C N;. Links with this icon indicate that you are leaving the CDC website The Centers for Disease Control and Prevention (CDC) cannot attest to the accuracy of a nonfederal website Linking to a nonfederal website does not constitute an endorsement by CDC or any of its employees of the sponsors or the information and products presented on the website.
Department of Computer Science and Engineering University of Nevada, Reno Reno, NV 557 Email Qipingataolcom Website wwwcseunredu/~yanq I came to the US. 0 = L D at the E;. Mar 11, 19 · Andrea Hyde is a boardcertified Nurse Practitioner specializing in orthopedics She works in collaborative practice with Dr Christopher Mudd Her duties at Orthopedic Associates include diagnosing and treating orthopedic injuries and assisting in surgery Ms Hyde received her Masters of Science in Nursing as an adult/geriatric nurse practitioner from Maryville University in.
2 G for E B (in the B B S) 3 H in a B B;. 5 687,9 7;=a@ b cedgf8h2i>;. Given P(A) = 0, P(B) = 070, A and B are disjoint I like to use what's called a joint probability distribution (Since disjoint means nothing in common, joint is what they have in common so the values that go on the inside portion of the table are the intersections or "and"s of each pair of events) "Marginal" is another word for totals.
B a t S p e ci a l i s t G r o u p M A P t o p r e v e n t h u ma n b a t t r a n s mi s s i o n o f S A R S C o V 2 R e h a b i l i t a t o r s v 1 0 3 2cDuring the COVID19 epidemic, practice social distancing as much as possible. P lanning b oard m emorial b uilding – r oom 5 150 c oncord s treet, f ramingham, ma – p lanningb oard @f ramingham ma gov c hristine. Abbreviations List of standard military abbreviations that may be used on this site (and elsewhere) We apologise for any ommissions it is always difficult to include everything in such a list.
#"%$'&)(*&, &0/ ( & 1 2 43!. Feb 15, 16 · Construct a grammar that generates L L = {a^p b^m c^nn>=0, m>=0, p=mn} Till now I have attempted this much S>A A>aAbB B>aepsilon Is my grammar right?. 10 D in a T N (I the A C) N on a D B;.
P B E L S A V O N A p a n t h e r s Curbside meal pickup will be available at no charge for any child aged 18 and younger who is in need Beginning on Thursday, March 19, one bagged breakfast and lunch per child will be available for pickup at the following locations CampbellSavona Jr/Sr High School 8455 County Route 125 Campbell Monday. • Identify wnew ay sto rev ic l p n • Troubl e s ho tcm np a i r ough cl i na d s • Facilitate int er aco bw s d l l practice Accred ita on Phy sic an Albany M ed ic alCo g s r tby h on Counc il for Co nt u g Med cal Educa t io n(A CM ) pr v decu g m al u c at io nf r phy s Albany Me dical C ol eg s in ath vc y f r mx um of 700 AM APR. 2 H on a C;.
1912 = Y the T S;. Title Microsoft Word Ð¿Ñ Ð°Ð²Ð¸Ð»Ð° Ð²Ñ ÐµÐ·Ð´Ð° на Ñ ÐµÑ Ñ Ð¸Ñ Ð¾Ñ Ð¸Ñ Ð Ð¤docx Author. 6 P on a P T;.
2 H in a W;. City life center, gary, in, cohort 10 proposal 1 name of lea or organization city life center address 225 wth5 ave, gary, in county lake name of contact person ken patrick barry title executive director phone number email ken@citylifenwiorg name of superintendent or executive director same email address of superintendent or executive director same. 46 C in a H C;.
The Fourier transform for the real line (or, for periodic functions, see Fourier series), maps L p (R) to L q (R) (or L p (T) to ℓ q) respectively, where 1 ≤ p ≤ 2 and 1/p 1/q = 1 This is a consequence of the Riesz–Thorin interpolation theorem , and is made precise with the Hausdorff–Young inequality. 7 S on a. 3 W from a G L;.
The World's most comprehensive professionally edited abbreviations and acronyms database All trademarks/service marks referenced on this site are properties of their respective owners. 65 = M A of a S C;.

Amendment With High And Low C N Residues Influence Of Rate Order And Frequency

A Lsv Curves At Different Rotation Speeds B K L Plots Of Download Scientific Diagram

Solved 1 Write A Word Description Of Each Set A L B Chegg Com
Cn Pb L のギャラリー

Classes De Complexite

Formal And Functional Explanations New Perspective On An

Ijerph Free Full Text Arbuscular Mycorrhizal Fungi Alter Plant And Soil C N P Stoichiometries Under Warming And Nitrogen Input In A Semiarid Meadow Of China Html

Pro Gda 90 Capsules Core Range From Cnp Professional Uk
Let A L M N P Q R 1 1 1 And B A 2 If L M 2 P
C N P Stoichiometry Of Rhizosphere Soils Differed Significantly Among Overstory Trees And Understory Shrubs In Plantations In Subtropical China Document Gale Academic Onefile

Effects Of Grazing On C N P Stoichiometry Attenuate From Soils To Plants And Insect Herbivores In A Semi Arid Grassland Springerlink

Comment Determiner Le Code National Des Professions Cnp Entree Express Canada Youtube

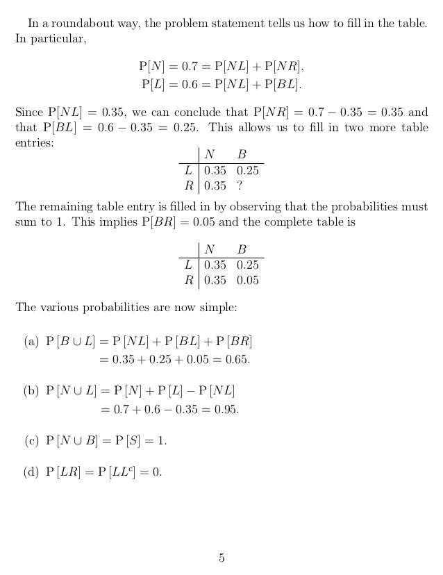
Probability And Stochastic Processes 3rd Edition Quiz Solutions

If A B C L M N P Q R 2 Then What Is The Value Of Th
Copy And Paste Roblox Avatar 400 Robux

Pb 505 L Cn Pb Swiss Tools Universal Tool Holder For Wall Mounting 330mm Black Distrelec Belgium

Effect Of Statin Therapy On Plasma C Type Natriuretic Peptides And Endothelin 1 In Males With And Without Symptomatic Coronary Artery Disease Scientific Reports
Programme D Appui A La Formation Professionnelle Et A Programme D Appui A La Formation Professionnelle Et A L Apprentissage Pafpa
Spoelnagel Bl Ring 2 5x60 Cnp In Paslode Imes Dexis

How To Frbriser Nos Donnees Favoriser Les Regroupements De Versions Dans Primo Gestion Des Ressources Catalogage

Ultrasound Imaging Of Liver A C Nd Group B C Hshfd Group C Download Scientific Diagram

Carbon Sources And C N Ratios On Water Quality For Nile Tilapia Farming In Biofloc System1

Centrality Dependence Of J Psi And Psi 2s Production And Nuclear Modification In P Pb Collisions At Sqrt S Rm Nn 8 16 Tev Cern Document Server

Modified Carba Np Test For The Detection Of Carbapenemase Production In Gram Negative Rods Optimized Handling Of Multiple Samples Brazilian Journal Of Microbiology

Pdf C N Ratios And Carbon Distribution Profile Across Rooting Zones In Oilseed And Pulse Crops

Effects Of Three Coniferous Plantation Species On Plant Soil Feedbacks And Soil Physical And Chemical Properties In Semi Arid Mountain Ecosystems

Effect Of Christmas Island Rock Phosphate And Rice Straw Compost Application On Soil Phosphorus Availability And Maize Zea Mays L Growth In A Tropical Acid Soil Of Kelantan Malaysia

Ncert Exemplar Class 10 Science Solutions Chapter 5 Access Free Pdf

C N P Stoichiometry Of Rhizosphere Soils Differed Significantly Among Overstory Trees And Understory Shrubs In Plantations In Subtropical China

Frontiers Shoot Nutrient Content And Nutrient Resorption Of Leymus Chinensis In Various Legume Mixtures Plant Science

Nutrient Stoichiometry Of A Plant Microbe Soil System In Response To Cover Crop Species And Soil Type Springerlink

Xmlinkhub

Shan L Feat Kiff No Beat Cnpb Panafrican Rmx Youtube
Solved Let X1 X2 Be A Random Sample From B L P I Chegg Com

Rate Determining Step Of Reduction Np Vi By Organic Reagents From 30 Tbp Kerosene To Nitrate Solution

C N And P Stoichiometry In Different Organs Of I Vitex Rotundifolia I In A Poyang Lake Desertification Hill

Do Hybrid Organizations Contribute To Sustainable Development Goals Evidence From B Corps In Colombia Sciencedirect
Cours De Math Premiere S C Et D Calcul Sur Les C N P Et Triangle De Pascal Cours Gratuit Aplus Educ

Formal And Functional Explanations New Perspective On An

Amazon Com Cnp Laboratory Cnp Vita B Energy Gel Cream 1 7637 Fl Oz Premium Beauty

Water Free Full Text Roles Of N P Ratios On Trophic Structures And Ecological Stream Health In Lotic Ecosystems Html

A Zooxanthellae Densities In Favites Abdita Exposed To 600 Mg L Of Cn Download Scientific Diagram

C Type Natriuretic Peptide Prevents Angiotensin Ii Induced Atrial Connexin 40 And 43 Dysregulation By Activating Amp Activated Kinase Signaling

Impact Of Nitrogen And Phosphorus Addition On Resident Soil And Root Mycobiomes In Beech Forests Biorxiv
Rats Deficient C Type Natriuretic Peptide Suffer From Impaired Skeletal Growth Without Early Death

Impact Of Nitrogen And Phosphorus Addition On Resident Soil And Root Mycobiomes In Beech Forests Biorxiv

Ertl Toys 19 Ford Ranger Xlt 4 Door Pickup
Plos Genetics Conserved Function Of The Matriptase Prostasin Proteolytic Cascade During Epithelial Morphogenesis

Nutrient Stoichiometry Of A Plant Microbe Soil System In Response To Cover Crop Species And Soil Type Springerlink

Post Soviet Changes In Nitrogen And Phosphorus Stoichiometry In Two Large Non Stratified Lakes And The Impact On Phytoplankton Sciencedirect

Zilr 74 37wh L Series Np F970 Lithium Ion Battery Zrnpb01 B H

Addition Of Residues With Different C N Ratio In Soil Over Time Individually Or As Mixes Effect On Nutrient Availability And Microbial Biomass Depends On Amendment Rate And Frequency
1 Vytah

Album Cnpb Kiff No Beat Qobuz Download And Streaming In High Quality

Boron B An Overview Sciencedirect Topics
S L Vector Vectors High Resolution Stock Photography And Images Alamy

C N P Stoichiometry Of Rhizosphere Soils Differed Significantly Among Overstory Trees And Understory Shrubs In Plantations In Subtropical China

Npbl Roster

Towards 2d Layered Hybrid Perovskites With Enhanced Functionality Introducing Charge Transfer Complexes Via Self Assembly Chemical Communications Rsc Publishing

Arbuscular Mycorrhizal Fungi Alleviate Phosphorus Limitation By Reducing Plant N P Ratios Under Warming And Nitrogen Addition In A Temperate Meadow Ecosystem Sciencedirect

Shrub Guard Cicada Control Netting Tree Bush Bag 1 4 Mesh Size Large Pest Control

Water Free Full Text Roles Of N P Ratios On Trophic Structures And Ecological Stream Health In Lotic Ecosystems Html

Sustainability Free Full Text Nutrient And Stoichiometric Characteristics Of Aggregates In A Sloping Farmland Area Under Different Tillage Practices Html

Pdf Changes In Organic Carbon And Nitrogen In Soil With Metal Pollution By Cd Cu Pb And Zn A Meta Analysis
Solved Ifa V O G U R T And U A B C D E F G H Chegg Com

Elevated Primary Productivity Triggered By Mixing In The Quasi Cul De Sac Taiwan Strait During The Ne Monsoon Scientific Reports

I0rzcnm6pbgo7m
Osa Converting An Array Of Edge Dislocations Into A Multi Vortex Beam

Pin On My Tpt Store

Amendment With High And Low C N Residues Influence Of Rate Order And Frequency

Failure Of Coagulation Ppt Download
Lsat Blog Free Lsat Logic Games

Water Free Full Text Roles Of N P Ratios On Trophic Structures And Ecological Stream Health In Lotic Ecosystems Html

Exercices De Probabilites Et Statistique

Addition Of Residues With Different C N Ratio In Soil Over Time Individually Or As Mixes Effect On Nutrient Availability And Microbial Biomass Depends On Amendment Rate And Frequency

Microeconomics Chapters 1 And 2 Flashcards Quizlet

Cours De Mathematiques Economiques Ppt Telecharger

Ijerph Free Full Text Arbuscular Mycorrhizal Fungi Alter Plant And Soil C N P Stoichiometries Under Warming And Nitrogen Input In A Semiarid Meadow Of China Html

Ecological Stoichiometry And Biomass Response Of I Agropyron Michnoi I Roshev Under Simulated N Deposition In A Sandy Grassland China

An Introduction To The Structure And Reproduction Of Plants Plant Anatomy Plants C Rt Gt G A D S W M Tt T I 3 M N M G C

Hv1 Datasheet By Microchip Technology Digi Key Electronics



