
H Y P O Th E Tic A L O V E Rla P O F Th E C O N T In U A O F H Y P O T Download Scientific Diagram

Pdf Reactive Transport Codes For Subsurface Environmental Simulation

R H 0 S E I D G G 0 W E I D E B T
Cntg Te S のギャラリー
Y3 Qvkemniljjm

Almanach De Gotha Ss2 600 Annuaire Diplomatique Ig No I A S Co 5 Sj S G O Co O Co Co Gt Ijt T Ooooico Aiwn T Oo Erre H In Cm 00
1 Vytah

6ki6 A 3d Footprint Complex
Solved Ifa V O G U R T And U A B C D E F G H Chegg Com

R H 0 S E I D G G 0 W E I D E B T

The Labour Gazette June 1901 June 1902 0 A N A C M A C A A C 0 A Sqi 001 Jqd T Gt Ta T Cc A S O T A C 00 A Z X A C

Solvability For P Laplacian Boundary Value Problem At Resonance On The Half Line Topic Of Research Paper In Mathematics Download Scholarly Article Pdf And Read For Free On Cyberleninka Open Science Hub

A Planet Moves Around The Su See How To Solve It At Qanda

The Trypanosoma Cruzi Mucin Family Is Transcribed From Hundreds Of Genes Having Hypervariable Regions Sciencedirect

Morphological Diversity Of Tanaecium A K Flowers A T Bilabiatum B T Download Scientific Diagram

C Identify These Sentences An See How To Solve It At Qanda

Phonics Home Learning Activity Booklet Level 2 S A T P I N M D G O

Norton 360 Key

Positioning Hi Quality Papa John Select Target Position

Chord Actors Don Broco Tab Song Lyric Sheet Guitar Ukulele Chords Vip

6ki6 A 3d Footprint Complex

4 3 1 Stretched Acrylic Abbott Aerospace Canada Ltd

Primary Structure Of Psg1 With Indication Of Domain Organization And Download Scientific Diagram

St Nicholas Book Of Plays And Operettas

Pdf Terrestrial Versus Marine Diversity Of Ecosytems And The Winner Is The Marine Realm
S E C R E T G A M I N G Youtube

Chord Last Phideaux Tab Song Lyric Sheet Guitar Ukulele Chords Vip

Solved Compute Laplace Transforms Practice Computing Lap Chegg Com

K I N D E R U N D J U G E N D R Z T L I C H E R D I E N S T H O C H T A U N U S K R E I S

Pdf Carbon Capture And Storage Update

Cowersnail From The Creators Of Sambacry Securelist

Abls6m Series Datasheet By Abracon Llc Digi Key Electronics

Imaging Electron Density Fluctuations By Multidimensional X Ray Photon Coincidence Diffraction Pnas

Almanach De Gotha H O C005 Orhirico Lftiot Ri Rh Es S 5 C R O Lt N I 623 Lt 5s T M Oc O00 00 O L O L Tt
Tes Second Team Jungler Scolded Teddy You Can T Win Netizens Picked Him Up And Taunted Koreans More Than Once Daydaynews

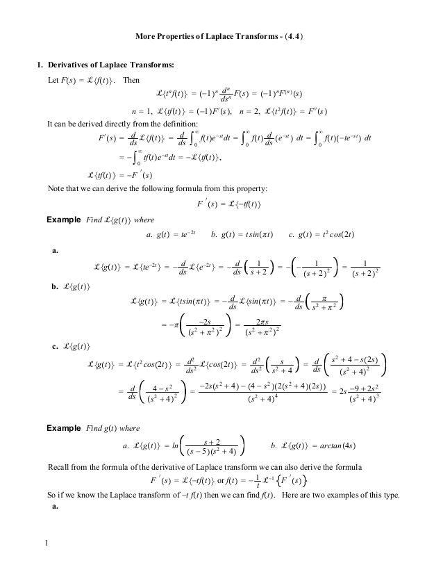
1

The Hostircal Story Of Y Descubre Como Resolverlo En Qanda

Bert Hubert Strangely Enough This Rule Also Holds Per Strand So Even If You Take Away The Redundancy There Are 99 Equal Numbers Of A T And C G On Each

Differential Equations Ppt Download

Solved B Let A T U T 3 U T 5 And H T E 3t Chegg Com

Definition 7 1 1 Laplace Transform Let F Be A Function Defined For T Z 0 Then The Homeworklib

Chord Loco Enrique Iglesias Tab Song Lyric Sheet Guitar Ukulele Chords Vip

Feruloyl Esterases From Schizophyllum Commune To Treat Food Industry Side Streams Sciencedirect

O C N P C

Chord Let It Burn Blackberry Smoke Tab Song Lyric Sheet Guitar Ukulele Chords Vip

Alphabet Dictation English Esl Worksheets For Distance Learning And Physical Classrooms
Amazing Savings On Elya Women S Polished Initial Pendant I Also In H Z E T V R N S J L W A B C X D P M G

1fok A 3d Footprint Complex

2 Phraseologia Ifl 0prac E 2 N6cr T F 0ii Omomsf 3 Coi Iicft Unnt Q Crl Gt L E T T I C A T4g Icl Er A5carau T Pdf Free Download

8 16 18

The Abney Level Handbook

Introduction To Synthetic Aperture Radar Sar Ppt Download

T Cell Populations In 2d2 Mog Specific Tcr Transgenic Mice Thymocytes Download Scientific Diagram

R H 0 S E I D G G 0 W E I D E B T

Army List W L O A M J R A C Li N Wt Off R N Asst Paymr R N R 8 R V T C T E C V C

Solved Let F S 1 S S2 2s 3 Find F T L 1 Chegg Com

Viruses Free Full Text Characterization Of Novel Rhabdoviruses In Chinese Bats Html

1gt0 D 3d Footprint Complex

Zscoie De Bar1o5 Siguien Descubre Como Resolverlo En Qanda

1 Choose The Following S Descubre Como Resolverlo En Qanda
Solved Let U Q R S T U V W X Y Z A Q S U W Chegg Com

Documents Mx Eduv

7 6 Predefined Streams Programming And Data Structures Book

6ki6 A 3d Footprint Complex

Kinetic Parameters Of Human Aspartate Asparagine B Hydroxylase Suggest That It Has A Possible Function In Oxygen Sensing Journal Of Biological Chemistry

Board Of Civil Engineering Certificate

Chord Cold Brains Beck Tab Song Lyric Sheet Guitar Ukulele Chords Vip

Solved Show All Work For Problems 0 Solve The Following Chegg Com

R H 0 S E I D G G 0 W E I D E B T

4 Verb To Be Taller Virtual

A Promising Tool To Achieve Chemical Accuracy For Density Functional Theory Calculations On Y No Homolysis Bond Dissociation Energies Topic Of Research Paper In Chemical Sciences Download Scholarly Article Pdf And Read

Sr Bii An Isoform Of The Scavenger Receptor Bi Containing An Alternate Cytoplasmic Tail Mediates Lipid Transfer Between High Density Lipoprotein And Cells Journal Of Biological Chemistry

Solved Laplace Transforms C 1 T Get N 1 2 Chegg Com

Differential Equations Ppt Download

About Iphonetrabaohanh

Chord Ghost Town Adam Lambert Tab Song Lyric Sheet Guitar Ukulele Chords Vip

Test Bank For Customer Service Career Success Through Customer Loyalty 6th Edition By Timm By Boylerich Issuu

Yamaha 350 Xt C N S T U W A B D E F G H J K L Esjot Gmbh

R H 0 S E I D G G 0 W E I D E B T

R H 0 S E I D G G 0 W E I D E B T

The Independent Journal Of Teaching And Learning Vol 13 1 18 By The Independent Journal Of Teaching And Learning Issuu

The Nature Of G E Y S 3c 4e In O Me N Gch 2 C 6 H 4 Ey Me N G Me 2 N And Mee E O S Se And Te

Ontario Sessional Papers 17 98 No 1 3 61 Victoria Sessional Papers No 2 A 18 S H Do L H O O O H O I I 2 O O 9 O O O O O

4fm9 A 3d Footprint Complex

1fok A 3d Footprint Complex

Critical Amino Acid Residues Determine The Binding Affinity And The Ca2 Release Efficacy Of Maurocalcine In Skeletal Muscle Cells Journal Of Biological Chemistry