Cnpe Fxg Z
· Let , → be a continuous function on the closed interval ,, and differentiable on the open interval (,), where < Then there exists some in (,) such that ′ = () The mean value theorem is a generalization of Rolle's theorem, which assumes () = (), so that the righthand side above is zero The mean value theorem is still valid in a slightly more general setting.
Cnpe fxg z. 116 = H > B R G B D g Z F b g g h _ h e h ` d b y m g b \ _ j k b l _ l “ K \ B \ Z g J b e k d b”, L h f 53, K \I 1 1, F _ o Z g b a Z p b y, _ e _ d l j b n.

C An Open Access Journal From Mdpi

Possible Conformations For The E Top And Z Con Fi Gurations Download Scientific Diagram
Solved B A Suppose That A La And B N For Some A B Chegg Com
Cnpe Fxg Z のギャラリー

Modelling Human Blastocysts By Reprogramming Fibroblasts Into Iblastoids Nature

Metodo Cuatro Pasos Y El Aprendizaje De La Derivada Por Definicion

Asymmetric Elastoplasticity Of Stacked Graphene Assembly Actualizes Programmable Untethered Soft Robotics Nature Communications
Npe Carnival Argus Observer

Metodo Cuatro Pasos Y El Aprendizaje De La Derivada Por Definicion
Npe Carnival Argus Observer
Century 21 Sand County Services Patrick Duffy Burnett County Sentinel

Metodo Cuatro Pasos Y El Aprendizaje De La Derivada Por Definicion

Aspartate Asparagine B Hydroxylase A High Throughput Mass Spectrometric Assay For Discovery Of Small Molecule Inhibitors Scientific Reports

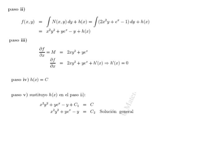
Ejercicios Resueltos Edo Exactas

Commensal Viruses Maintain Intestinal Intraepithelial Lymphocytes Via Noncanonical Rig I Signaling Nature Immunology

Learning Lucancc Pe Department Lucancc1 Fitness Challenge This Week Try This Short Fun Challenge To Incorporate Some Exercise Into Your Daily Schedule Lookafteryourwellbeing Covid 19 Pedepartment Stayactive

Metodo Cuatro Pasos Y El Aprendizaje De La Derivada Por Definicion

Solved 9 8 Pts Suppose That F G H R3 R Are Cfunc Chegg Com
Education Exchange The Westerly Sun

Bibliotheca Botanica Plants T T 45 A Krvlowi 46 Bortasiaiia 47 R7p Ia 48lasa Rpa It Siloris 4i Ii Alsatica Spct A Osprolcoii D Ciirvalae I4 Salviap A Ir Liiciirinii Sect V Osproleoii E Ai Ciiatae U

Composite Fast Scintillators Based On High Z Fluorescent Metal Organic Framework Nanocrystals Nature Photonics

Let X1 Be I I D Bernoulli Random Variables W Chegg Com
Aranmore Catholic College The Tokyo Olympics Might Be On The Back Burner But If It Wasn T What Event Would You Definitely Watch This Week S Theme Asks You To Spell Out Your Favourite

Home Decor A B C D E F G H I J K L M N O P Q R S T U V W X Y Z Galvanized Letter Home Garden Leyendas Gob Pe

Extremely High Thermal Conductivity Of Aligned Carbon Nanotube Polyethylene Composites Scientific Reports
Mathematical Optimization Wikipedia

Eau Guidelines Prostate Cancer Uroweb

Funcion Trigonometrica Superprof
March 30th Pe Activities Amazonia Elementary
Gamma Function Wikipedia
Gamma Function Wikipedia

Ejercicios De La Esperanza Matematica Superprof

Page 168 A A A A A A A A A A A A A A A A µa A A A Fa A A A A A High Resolution Stock Photography And Images Alamy
F1 500n Fx 140n Angle Of Y And F 32 Degree Chegg Com

C An Open Access Journal From Mdpi
Gamma Function Wikipedia

Funciones Periodicas Superprof

Esc Guidance For The Diagnosis And Management Of Cv Disease During The Covid 19 Pandemic
Azalea Orthopedics Sports Medicine Posts Facebook

Cleavage Of Carbon Carbon Bonds By Radical Reactions Chemical Society Reviews Rsc Publishing Doi 10 1039 C8csf

Metodo Cuatro Pasos Y El Aprendizaje De La Derivada Por Definicion

Possible Conformations For The E Top And Z Con Fi Gurations Download Scientific Diagram

Name Correction By Numerology Can Give You The Lucky Number And Adjust Your Name And Correct It Accordingly Every Pe Numerology Numerology Numbers Numerologist

Spanish Alphabet Spanishdict
Ejercicios Resueltos Edo Exactas

M309 Geometrie Projective Calameo Downloader

Rcsb Pdb 5pen Pandda Analysis Group Deposition Crystal Structure Of Baz2b After Initial Refinement With No Ligand Modelled Structure 116

Ceramic Abstracts 1959 Journal Of The American Ceramic Society Wiley Online Library
Npe Carnival Argus Observer

Metodo Cuatro Pasos Y El Aprendizaje De La Derivada Por Definicion

Immunological Memory To Sars Cov 2 Assessed For Up To 8 Months After Infection Science
Land Copernicus

Esc Guidance For The Diagnosis And Management Of Cv Disease During The Covid 19 Pandemic

A Neutralizing Human Antibody Binds To The N Terminal Domain Of The Spike Protein Of Sars Cov 2 Science

Esc Guidance For The Diagnosis And Management Of Cv Disease During The Covid 19 Pandemic

Physical Education Resources Edufunduk

Solved Question 2 For Each Of The Following Functions D Chegg Com

Ejercicios De La Esperanza Matematica Superprof

C An Open Access Journal From Mdpi

Rational Design Of Phosphorescent Iridium Iii Complexes For Emission Color Tunability And Their Applications In Oleds Sciencedirect

Ejercicios Resueltos Edo Exactas

Solved Problem 2 Let G Be A Group For Each X E G Chegg Com

Solved 1 Consider The Function Given Below F X Y X Chegg Com

Composite Fast Scintillators Based On High Z Fluorescent Metal Organic Framework Nanocrystals Nature Photonics

Effect Of Hydroxychloroquine With Or Without Azithromycin On The Mortality Of Coronavirus Disease 19 Covid 19 Patients A Systematic Review And Meta Analysis Clinical Microbiology And Infection

Esc Guidance For The Diagnosis And Management Of Cv Disease During The Covid 19 Pandemic
Gamma Function Wikipedia

Pe Geashill National School



